1 Introduction
One can identify the equivariant cohomology rings for the spaces of symmetric and skew-symmetric complex matrices with multivariate polynomial rings. Under this identification, we show that the classes of certain natural subvarieties of (skew-)symmetric matrices are given by the involution Schubert polynomials introduced by Wyser and Yong in [Reference Wyser and Yong45]. These classes of varieties generalize various others studied in the settings of degeneracy loci and combinatorial commutative algebra, for instance the (skew-)symmetric determinantal varieties studied by Harris and Tu [Reference Harris and Tu16].
Involution Schubert polynomials have a combinatorial formula for their monomial expansion [Reference Hamaker, Marberg and Pawlowski13]. As a consequence of our geometric results, they must also expand as sums of products of binomials
$x_i + x_j$
. We give a combinatorial description of these expansions, which is a new analogue of the classic Billey–Jockusch–Stanley expansion for ordinary Schubert polynomials [Reference Billey, Jockusch and Stanley3]. This description is far more compact than the monomial expansion. Our formulas involve novel objects that we call involution pipe dreams. Involution pipe dreams appear to be the fundamental objects necessary to replicate Knutson and Miller’s program [Reference Knutson and Miller23] to understand our varieties from a commutative algebra perspective.
1.1 Three flavors of matrix Schubert varieties
Fix a positive integer n. Let
$\mathsf {GL}_n$
denote the general linear group of complex
$n\times n$
invertible matrices, and write
$\mathsf {B}$
and
$\mathsf {B}^+$
for the Borel subgroups of lower- and upper-triangular matrices in
$\mathsf {GL}_n$
. Our work aims to extend what is known about the geometry of the
$\mathsf {B}$
-orbits on matrix space to symmetric and skew-symmetric matrix spaces.
We begin with some classical background. Consider the type A flag variety
$\textsf {Fl}_{n} = \mathsf {B} \backslash \mathsf {GL}_n$
. The subgroup
$\mathsf {B}^+$
acts on
$\textsf {Fl}_{n} $
with finitely many orbits, which are naturally indexed by permutations w in the symmetric group
$S_n$
of permutations of
$\{1,2,\dots ,n\}$
. These orbits afford a CW decomposition of
$\textsf {Fl}_{n}$
, so the cohomology classes of their closures
$X_w$
, the Schubert varieties, form a basis for the integral singular cohomology ring
$H^*(\textsf {Fl}_{n})$
. Borel’s isomorphism explicitly identifies
$H^*(\textsf {Fl}_{n})$
with a quotient of the polynomial ring
$\mathbb {Z}[x_1,\dots ,x_n]$
, and the Schubert polynomials
$\mathfrak {S}_w \in \mathbb {Z}[x_1,\dots ,x_n]$
are (nonunique) representatives for the Schubert classes
$[X_w] \in H^*(\textsf {Fl}_{n})$
.
The maximal torus
$\mathsf {T}$
of diagonal matrices in
$\mathsf {GL}_n$
also acts on
$\textsf {Fl}_{n}$
, so we can instead consider the equivariant cohomology ring
$H^*_{\mathsf {T}}(\textsf {Fl}_{n})$
. Via an extension of Borel’s isomorphism, this ring is isomorphic to a quotient of
$\mathbb {Z}[x_1, \ldots , x_n, y_1, \ldots , y_n]$
. Lascoux and Schützenberger [Reference Lascoux and Schützenberger27] introduced the double Schubert polynomials
$\mathfrak {S}_w(x,y)$
to represent the equivariant classes
$[X_w]_{\mathsf {T}}\in H^*_{\mathsf {T}}(\textsf {Fl}_{n})$
. These representatives are distinguished in the following sense.
Let
$\textsf {Mat}_n$
be the set of
$n\times n$
complex matrices and write
$\iota :\mathsf {GL}_n \hookrightarrow \textsf {Mat}_n$
for the obvious inclusion. The product group
$ \mathsf {T} \times \mathsf {T}$
acts on
$A\in \textsf {Mat}_n$
by
$(t_1, t_2) \cdot A = t_1 A t_2^{-1}$
. The matrix Schubert variety of a permutation
$w \in S_n$
is
$MX_w = \overline {\iota (X_w)}$
. Since
$M_n$
is
$\mathsf {T} \times \mathsf {T}$
-equivariantly contractible,
$H^*_{\mathsf {T} \times \mathsf {T}}(\textsf {Mat}_n) \cong H^*_{\mathsf {T} \times \mathsf {T}}(\text {point}) \cong \mathbb {Z}[x_1,\dots ,x_n,y_1,\dots ,y_n]$
. The launching point for Knutson and Miller’s program is the following theorem:
Theorem 1.1 [Reference Knutson and Miller23]
For all
$w \in S_n$
, we have
$\mathfrak {S}_w(x,y) = [MX_w] \in H^*_{\mathsf {T} \times \mathsf {T}}(\textsf {Mat}_n)$
.
As mentioned in the historical notes at the end of [Reference Miller and Sturmfels36, Chapter 15], Theorem 1.1 is equivalent to Fulton’s characterization of each
$\mathfrak {S}_w(x,y)$
as the class of a certain degeneracy locus for vector bundle morphisms [Reference Fulton11].
Our results are related to the geometry of certain spherical varieties studied by Richardson and Springer in [Reference Richardson and Springer40]. Specifically, define the orthogonal group
$\mathsf {O}_n$
as the subgroup of
$\mathsf {GL}_n$
preserving a fixed nondegenerate symmetric bilinear form on
$\mathbb {C}^n$
, and when n is even define the symplectic group
$\mathsf {Sp}_n$
as the subgroup of
$\mathsf {GL}_n$
preserving a fixed nondegenerate skew-symmetric bilinear form.
We consider the actions of
$\mathsf {O}_n$
and
$\mathsf {Sp}_n$
(when n is even) on
$\mathsf {Fl}_{n}$
. The associated orbit closures
$\hat X_y$
and
$\hat X^{\mathsf {{FPF}}}_z$
are indexed by arbitrary involutions y and fixed-point-free involutions z in
$S_n$
. Let
$\kappa (y)$
denote the number of two-cycles in an involution
$y=y^{-1} \in S_n$
. Wyser and Yong [Reference Wyser and Yong45] constructed certain polynomials
$\hat {\mathfrak {S}}_y, \hat {\mathfrak {S}}^{\mathsf {{FPF}}}_z \in \mathbb {Z}[x_1,\dots ,x_n]$
and showed that the classes
$[\hat X_y]$
and
$[\hat X^{\mathsf {{FPF}}}_z]$
are represented in
$H^*(\mathsf {Fl}_{n})$
by
$2^{\kappa (y)}\hat {\mathfrak {S}}_y$
and
$\hat {\mathfrak {S}}^{\mathsf {{FPF}}}_z$
. We refer to
$\hat {\mathfrak {S}}_y$
and
$\hat {\mathfrak {S}}^{\mathsf {{FPF}}}_z$
as involution Schubert polynomials; for their precise definitions, see Section 2.1.
Write
$\mathsf {SMat}_n$
and
$\mathsf {SSMat}_n$
for the sets of symmetric and skew-symmetric
$n\times n$
complex matrices. Let
$t \in \mathsf {T}$
act on these spaces by
$t\cdot A = tAt$
. One can identify the
$\mathsf {T}$
-equivariant cohomology rings of both spaces with
$\mathbb {Z}[x_1, \ldots , x_n]$
; see the discussion in Section 2.2. For each involution
$y \in S_n$
, let
$M\hat X_y = MX_y \cap \mathsf {SMat}_n$
. Similarly, for each fixed-point-free involution
$z \in S_n$
, let
$M\hat X^{\mathsf {{FPF}}}_z = MX_z \cap \mathsf {SSMat}_n$
. Our first main result is a (skew-)symmetric analogue of Theorem 1.1:
Theorem 1.2 For all involutions y and fixed-point-free involution z in
$S_n$
, we have
$ 2^{\kappa (y)}\hat {\mathfrak {S}}_y = [M\hat X_y] \in H_{\mathsf {T}}^*(\mathsf {SMat}_n) $
and
$ \hat {\mathfrak {S}}^{\mathsf {{FPF}}}_z = [M\hat X^{\mathsf {{FPF}}}_z] \in H_{\mathsf {T}}^*(\mathsf {SSMat}_n). $
Thus, involution Schubert polynomials are also equivariant cohomology representatives for symmetric and skew-symmetric matrix varieties.
Our proof of this theorem appears in Section 2.3. An extension of Theorem 1.2 to complex K-theory appears in [Reference Marberg and Pawlowski31]. Theorem 1.2 was first announced in a conference proceedings before the appearance of the preprint version of [Reference Marberg and Pawlowski31], which precedes the preprint version of this article. The proof of Theorem 1.2 is a special case of results of [Reference Marberg and Pawlowski31].
Remark Another family of varieties in
$\mathsf {SMat}_n$
indexed by permutations in
$S_n$
has been studied by Fink et al. [Reference Fink, Rajchgot and Sullivant6]. However, their varieties are cut out by northeast rank conditions, while
$M\hat X_y$
and
$M\hat X^{\mathsf {{FPF}}}_z$
are cut out by northwest rank conditions (see (2.3) and (2.4) in Section 2.3). The varieties in [Reference Fink, Rajchgot and Sullivant6] are closely related to type C Schubert calculus and generally do not coincide with our
$M\hat X_y$
varieties.
1.2 Three flavors of pipe dreams
If Z is a closed subvariety of
$\mathsf {SMat}_n$
or
$\mathsf {SSMat}_n$
, then its
$\mathsf {T}$
-equivariant cohomology class is a positive integer combination of products of binomials
$x_i + x_j$
(see Corollary 2.10). Our second main result gives a combinatorial description of such an expansion for
$\hat {\mathfrak {S}}_y$
and
$\hat {\mathfrak {S}}^{\mathsf {{FPF}}}_z$
.
Let
$[n] = \{1, 2, \ldots , n\}$
and
. Consider a subset
. One associates to D a wiring diagram by replacing the cells
by tiles of two types, given either by a crossing of two paths (drawn as a
tile) if
$(i,j) \in D$
or by two paths bending away from each other (drawn as a
tile) if
$(i,j) \notin D$
. Connecting the endpoints of adjacent tiles yields a union of n continuously differentiable paths, which we refer to as “pipes.” For example:

Definition 1.3 A subset
is a reduced pipe dream if no two pipes in the associated wiring diagram cross more than once.
This condition holds in the example (1.1). Pipe dreams as described here were introduced by Bergeron and Billey [Reference Bergeron and Billey1], inspired by related diagrams of Fomin and Kirillov [Reference Fomin and Kirillov9]. Bergeron and Billey originally referred to pipe dreams as reduced-word compatible sequence graphs or rc-graphs for short.
A reduced pipe dream D determines a permutation
$w \in S_n$
in the following way. Label the left endpoints of the pipes in D’s wiring diagram by
$1, 2, \ldots , n$
from top to bottom, and the top endpoints by
$1, 2, \ldots , n$
from left to right. Then the associated permutation
$w \in S_n$
is the element such that the pipe with left endpoint i has top endpoint
$w(i)$
. For instance, the permutation of
$D=\{(1,3),(2,1)\}$
is
$w = 1423 \in S_4$
. Let
$\mathcal {PD}(w)$
denote the set of all reduced pipe dreams associated to
$w \in S_n$
.
Pipe dreams are of interest for their role in formulas for
$\mathfrak {S}_w$
and
$\mathfrak {S}_w(x,y)$
. Lascoux and Schützenberger’s original definition of these Schubert polynomials in [Reference Lascoux and Schützenberger28] is recursive in terms of divided difference operators. However, by results of Fomin and Stanley [Reference Fomin and Stanley10, Section 4] we also have

The first identity is the Billey–Jockusch–Stanley formula for Schubert polynomials [Reference Billey, Jockusch and Stanley3].
There are analogues of this formula for the involution Schubert polynomials
$\hat {\mathfrak {S}}_y$
and
$\hat {\mathfrak {S}}^{\mathsf {{FPF}}}_z$
, which involve the following new classes of pipe dreams. A reduced pipe dream
is symmetric if
$(i,j) \in D$
implies
$(j,i) \in D$
, and almost-symmetric if both of the following properties hold:
-
• If
$(i, j) \in D$ where
$i< j$ then
$(j,i) \in D$ .
-
• If
$(j, i) \in D$ where
$i< j$ but
$(i, j) \notin D$ , then the pipes crossing at
$(j, i)$ in the wiring diagram of D are also the pipes that avoid each other at
$(i, j)$ .
Equivalently, D is almost-symmetric if it is as symmetric as possible while respecting the condition that no two pipes cross twice, and any violation of symmetry forced by this condition takes the form of a crossing
$(j,i)$
below the diagonal rather than at the transposed position
$(i,j)$
.
Let
$\mathcal {I}_n=\{ w \in S_n : w=w^{-1}\}$
and write
$\mathcal {I}^{\mathsf {{FPF}}}_n$
for the subset of fixed-point-free elements of
$\mathcal {I}_n$
. Note that n must be even for
$\mathcal {I}^{\mathsf {{FPF}}}_n$
to be nonempty. Also let

Definition 1.4 The set of involution pipe dreams for
$y \in \mathcal {I}_n$
is

The set of fpf-involution pipe dreams for
$z \in \mathcal {I}^{\mathsf {{FPF}}}_{n}$
is

By convention, (fpf-)involution pipe dreams are always instances of reduced pipe dreams. It would be more precise to call our objects “reduced involution pipe dreams,” but since we will never consider any pipe dreams that are unreduced, we opt for more concise terminology.
We now state our second main result, which will reappear as Theorems 4.25 and 4.36.
Theorem 1.5 If
$y \in \mathcal {I}_n$
and
$z \in \mathcal {I}^{\mathsf {{FPF}}}_n$
then

where
$\delta _{ij}$
denotes the usual Kronecker delta function.
Example 1.6 The involution
$y = 1432 = (2,4) \in \mathcal {I}_4$
has five reduced pipe dreams:

Only the last two of these are almost-symmetric, so
$|\mathcal {ID}(y)| = 2$
and Theorem 1.5 reduces to the formula
$\hat {\mathfrak {S}}_{y} = (x_2+x_1)(x_3+x_1) + (x_2+x_1)(x_2 + x_2)/2 = (x_2 + x_1)(x_3 + x_1 +x_2)$
. The monomial expansion has six terms, as opposed to two. In general, the expansion in Theorem 1.5 uses roughly a factor of
$2^{\deg \hat {\mathfrak {S}}_y}$
fewer terms.
Remark There is an alternate path toward establishing the fact that the class of a matrix Schubert variety is represented by the weighted sum of reduced pipe dreams. The defining ideal of
$MX_w$
has a simple set of generators due to Fulton [Reference Fulton11]. Knutson and Miller showed that Fulton’s generators form a Gröbner basis with respect to any anti-diagonal term order [Reference Knutson and Miller23]. The Gröbner degeneration of this ideal decomposes into a union of coordinate subspaces indexed by reduced pipe dreams. Our hope is that a similar program can be implemented in the (skew-)symmetric setting, which would give a geometric proof of Theorem 1.5. We discuss this in greater detail in Section 6.2.
In addition to Theorem 1.5, we also prove a number of results about the properties of involution pipe dreams. An outline of the rest of this article is as follows.
Section 2 contains some preliminaries on involution Schubert polynomials along with a proof of Theorem 1.2. In Section 3, we give several equivalent characterizations of
$\mathcal {ID}(y)$
and
$\mathcal {FD}(z)$
in terms of reduced words for permutations. Section 4 contains our proof of Theorem 1.5, which uses ideas from recent work of Knutson [Reference Knutson22] along with certain transition equations for
$\hat {\mathfrak {S}}_y$
and
$\hat {\mathfrak {S}}^{\mathsf {{FPF}}}_z$
given in [Reference Hamaker, Marberg and Pawlowski14]. In Section 5, we show that both families of involution pipe dreams are obtained from distinguished “bottom” elements by repeatedly applying certain simple transformations. These transformations are extensions of the ladder moves for pipe dreams described by Bergeron and Billey in [Reference Bergeron and Billey1]. In Section 6, finally, we describe several related open problems and conjectures.
2 Schubert polynomials and matrix varieties
Everywhere in this paper, n denotes a fixed positive integer. For convenience, we realize the symmetric group
$S_n$
as the group of permutations of
$\mathbb {Z}_{>0} = \{1,2,3,\dots \}$
fixing all
$i>n$
, so that there is an automatic inclusion
$S_n \subset S_{n+1}$
. In this section, we present some relevant background on involution Schubert polynomials and equivariant cohomology, and then prove Theorem 1.2.
2.1 Involution Schubert polynomials
To start, we provide a succinct definition of
$\hat {\mathfrak {S}}_y$
and
$\hat {\mathfrak {S}}^{\mathsf {{FPF}}}_z$
in terms of the ordinary Schubert polynomials
$\mathfrak {S}_w$
given by (1.2). Let
$s_i = (i,i+1) \in S_n$
for each
$i \in [n-1]$
. A reduced word for
$w \in S_n$
is a minimal-length sequence
$a_1a_2 \cdots a_l$
such that
$w=s_{a_1}s_{a_2} \cdots s_{a_l}$
. Let
$\mathcal {R}(w)$
denote the set of reduced words for w. The length
$\ell (w)$
of
$w \in S_n$
is the length of any word in
$\mathcal {R}(w)$
. One has
$\ell (ws_i)=\ell (w)+1>\ell (w)$
if and only if
$w(i)< w(i+1)$
.
Proposition 2.1 [Reference Humphreys20, Theorem 7.1]
There is a unique associative operation
$\circ : S_n \times S _n \to S_n$
, called the Demazure product, with
$s_i \circ s_i = s_i$
for all
$i \in [n-1]$
and
$v\circ w = vw$
for all
$v,w \in S_n$
with
$\ell (vw) = \ell (v)+\ell (w)$
.
An involution word for
$y \in \mathcal {I}_n = \{ w \in S_n : w=w^{-1}\}$
is a minimal-length word
$a_1a_2 \cdots a_l$
with

Note that we could replace
$s_{a_1}\circ 1 \circ s_{a_1}$
in this expression by
$s_{a_1} = s_{a_1}\circ s_{a_1}= s_{a_1}\circ 1 \circ s_{a_1}$
. An atom for
$y \in \mathcal {I}_n$
is a minimal-length permutation
$w \in S_n$
with
$ y = w^{-1} \circ w. $
Let
$\hat {\mathcal {R}}(y)$
be the set of involution words for
$y \in \mathcal {I}_n$
and let
$\mathcal {A}(y)$
be the set of atoms for y. The associativity of the Demazure product implies that
$ \hat {\mathcal {R}}(y) = \bigsqcup _{w \in \mathcal {A}(y)} \mathcal {R}(w) $
.
Example 2.2 If
$y = 1432 $
then
$\hat {\mathcal {R}}(y) = \{ 23, 32\}$
and
$\mathcal {A}(y) = \{1342, 1423\}$
.
One can show that
$ \mathcal {I}_n = \{ w^{-1} \circ w : w \in S_n \} $
, so
$\hat {\mathcal {R}}(y)$
and
$\mathcal {A}(y)$
are nonempty for all
$y \in \mathcal {I}_n$
. Involution words are a special case of a more general construction of Richardson and Springer [Reference Richardson and Springer40], and have been studied by various authors [Reference Can, Joyce and Wyser5, Reference Hansson and Hultman15, Reference Hu and Zhang17, Reference Hultman18]. Our notation follows [Reference Hamaker, Marberg and Pawlowski12, Reference Hamaker, Marberg and Pawlowski13].
Definition 2.3 The involution Schubert polynomial of
$y \in \mathcal {I}_n$
is
$ \hat {\mathfrak {S}}_y = \sum _{w \in \mathcal {A}(y)} \mathfrak {S}_w. $
Wyser and Yong [Reference Wyser and Yong45] originally defined these polynomials recursively using divided difference operators; work of Brion [Reference Brion4] implies that our definition agrees with theirs. For a detailed explanation of the equivalence among these definitions, see [Reference Hamaker, Marberg and Pawlowski13].
Example 2.4 If
$z = 1432 \in \mathcal {I}_4$
then
$\mathcal {A}(z) = \{1342, 1423\}$
and

Assume n is even, so
$\mathcal {I}^{\mathsf {{FPF}}}_n = \{ z \in \mathcal {I}_n: i \neq z(i)\text { for all}\ i \in [n]\}$
is nonempty, and let

An fpf-involution word for
$z \in \mathcal {I}^{\mathsf {{FPF}}}_{n}$
is a minimal-length word
$a_1a_2 \cdots a_l$
with

This formulation avoids the Demazure product, but there is an equivalent definition that more closely parallels (2.1). Namely, by [Reference Hamaker, Marberg and Pawlowski12, Corollary 2.6], an fpf-involution word for
$z \in \mathcal {I}^{\mathsf {{FPF}}}_{n}$
is also a minimal-length word
$a_1a_2 \cdots a_l$
with

An fpf-atom for
$z \in \mathcal {I}^{\mathsf {{FPF}}}_n$
is a minimal length permutation
$w \in S_n$
with
$z = w^{-1} 1^{\mathsf {{FPF}}}_n w.$
Let
$\mathcal {A}^{\mathsf {{FPF}}}(z)$
be the set of fpf-atoms for z, and let
$ \hat {\mathcal {R}}^{\mathsf {{FPF}}}(z) $
be the set of fpf-involution words for z. The basic properties of reduced words imply that

Example 2.5 If
$z = 4321 $
then
$\hat {\mathcal {R}}^{\mathsf {{FPF}}}(z) = \{ 23, 21\}$
and
$\mathcal {A}^{\mathsf {{FPF}}}(z) = \{1342, 3124\}$
.
Note that
$a_1a_2\cdots a_l $
belongs to
$\hat {\mathcal {R}}^{\mathsf {{FPF}}}(z)$
if and only if
$135\cdots (n-1)a_1a_2\cdots a_l $
belongs to
$\hat {\mathcal {R}}(z)$
. If
$z \in \mathcal {I}^{\mathsf {{FPF}}}_n$
then
$\hat {\mathcal {R}}^{\mathsf {{FPF}}}(z) = \hat {\mathcal {R}}^{\mathsf {{FPF}}}(zs_{n+1}) $
and
$ \mathcal {A}^{\mathsf {{FPF}}}(z) = \mathcal {A}^{\mathsf {{FPF}}}(zs_{n+1}).$
Fpf-involution words are special cases of reduced words for quasiparabolic sets [Reference Rains and Vazirani39]. Since
$\mathcal {I}^{\mathsf {{FPF}}}_n$
is a single
$S_n$
-conjugacy class, each
$z \in \mathcal {I}^{\mathsf {{FPF}}}_n$
has at least one fpf-involution word and fpf-atom.
Definition 2.6 The fpf-involution Schubert polynomial of
$z \in \mathcal {I}^{\mathsf {{FPF}}}_n$
is

These polynomials were also introduced in [Reference Wyser and Yong45]. If
$z \in \mathcal {I}^{\mathsf {{FPF}}}_n$
then
$\hat {\mathfrak {S}}^{\mathsf {{FPF}}}_{z} =\hat {\mathfrak {S}}^{\mathsf {{FPF}}}_{zs_{n+1}}$
.
Example 2.7 If
$z = 532614 \in \mathcal {I}^{\mathsf {{FPF}}}_6$
then
$\mathcal {A}^{\mathsf {{FPF}}}(z) = \{13452, 31254\}$
and
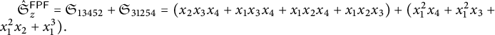
$ \hat {\mathfrak {S}}^{\mathsf {{FPF}}}_{z} = \mathfrak {S}_{13452} + \mathfrak {S}_{31254} = (x_2 x_3 x_4 + x_1 x_3 x_4 + x_1 x_2 x_4 + x_1 x_2 x_3) + (x_1^2 x_4 + x_1^2 x_3 + x_1^2 x_2 + x_1^3). $
2.2 Torus-equivariant cohomology
Suppose V is a finite-dimensional rational representation of a torus
$\mathsf {T} \simeq (\mathbb {C}^\times )^n$
. A character
$\lambda \in \operatorname {Hom}(\mathsf {T}, \mathbb {C}^\times )$
is a weight of V if the weight space
$V_\lambda = \{v \in V : tv = \lambda (t)v\ \text {for all}\ t \in \mathsf {T}\}$
is nonzero. Any nonzero
$v \in V_{\lambda }$
is a weight vector, and V has a basis of weight vectors. Let
$\operatorname {\mathrm {wt}}(V)$
denote the set of weights of V. After fixing an isomorphism
$\mathsf {T} \simeq (\mathbb {C}^\times )^n$
, we identify the character
$(t_1, \ldots , t_n) \mapsto t_1^{a_1} \cdots t_n^{a_n}$
with the linear polynomial
$a_1 x_1 + \cdots + a_n x_n \in \mathbb {Z}[x_1, \ldots , x_n]$
.
The equivariant cohomology ring
$H_{\mathsf {T}}(V)$
is isomorphic to
$\mathbb {Z}[x_1, \ldots , x_n]$
, an identification we make without comment from now on. Each
$\mathsf {T}$
-invariant subscheme
$X \subseteq V$
has an associated class
$[X] \in H_{\mathsf {T}}(V)$
, which we describe following [Reference Miller and Sturmfels36, Chapter 8].
First, if X is a linear subspace then we define
$[X] = \prod _{\lambda \in \operatorname {\mathrm {wt}}(X)} \lambda $
, where we identify each character
$\lambda $
with a linear polynomial as above. More generally, fix a basis of weight vectors of V, and let
$z_1, \ldots , z_n \in V^*$
be the dual basis; this determines an isomorphism
$\mathbb {C}[V] = \operatorname {Sym}(V^*) \simeq \mathbb {C}[z_1, \ldots , z_n]$
.
Choose a term order on monomials in
$z_1, \ldots , z_n$
, and let
$\operatorname {\mathrm {\mathsf {init}}}(I)$
denote the ideal generated by the leading terms of all members of a given set
$I \subseteq \mathbb {C}[V]$
. Given that
$\operatorname {\mathrm {\mathsf {init}}}(I)$
is a monomial ideal, one can show that each of its associated primes
$\mathfrak {p}$
is also a monomial ideal, and hence of the form
$\langle z_{i_1}, \ldots , z_{i_r} \rangle $
. The corresponding subscheme
$Z(\mathfrak {p})$
is a
$\mathsf {T}$
-invariant linear subspace of V. Now define

where
$I(X)$
is the ideal of X and
$\mathfrak {p}$
runs over the associated primes of
$\operatorname {\mathrm {\mathsf {init}}} I(X)$
.
2.3 Classes of involution matrix Schubert varieties
The matrix Schubert varieties in Theorem 1.1 can be described in terms of rank conditions, namely:

where
$\mathsf {Mat}_n$
is the variety of
$n\times n$
matrices,
$A_{[i][j]}$
denotes the upper-left
$i \times j$
corner of
$A \in \mathsf {Mat}_n$
, and we identify
$w \in S_n$
with the
$n\times n$
permutation matrix having
$1$
’s in positions
$(i,w(i))$
.
The varieties
$M\hat X_y$
and
$M\hat X^{\mathsf {{FPF}}}_z$
from Theorem 1.2 can be reformulated in a similar way. Specifically, we define the involution matrix Schubert variety of
$y \in \mathcal {I}_n$
by

where
$\mathsf {SMat}_n$
is the subvariety of symmetric matrices in
$\mathsf {Mat}_n$
. When n is even, we define the fpf-involution matrix Schubert variety of
$z \in \mathcal {I}^{\mathsf {{FPF}}}_n$
by

where
$\mathsf {SSMat}_n$
is the subvariety of skew-symmetric matrices in
$\mathsf {Mat}_n$
.
Example 2.8 Suppose
$y = 132 =\left [\begin {smallmatrix} 1 & 0 & 0 \\ 0 & 0 & 1 \\ 0 & 1 & 0 \end {smallmatrix}\right ]\in \mathcal {I}_3$
. Setting
$R_{ij} = \operatorname {\mathrm {rank}} y_{[i][j]}$
, we have
$R = \left [\begin {smallmatrix} 1 & 1 & 1 \\ 1 & 1 & 2\\ 1 & 2 & 3 \end {smallmatrix}\right ]$
. The conditions
$\operatorname {\mathrm {rank}} A_{[i][j]} \leq R_{ij}$
for
$i,j \in [3]$
defining
$M\hat X_y$
are all implied by the single condition
$\operatorname {\mathrm {rank}} A_{[2][2]} \leq R_{22} = 1$
. Thus,

Let
$\mathsf {T} \subseteq \mathsf {GL}_n$
be the usual torus of invertible diagonal matrices. Recall that
$\kappa (y) = |\{ i : y(i) < i\}|$
for
$y \in \mathcal {I}_n$
, and that
$ \mathsf {T}$
acts on matrices in
$ \mathsf {Mat}_n$
by
$t\cdot A = tA$
and on symmetric matrices in
$ \mathsf {SMat}_n$
by
$t \cdot A = tAt$
. We can now prove Theorem 1.2, which states that if
$y \in \mathcal {I}_n$
and
$z \in \mathcal {I}^{\mathsf {{FPF}}}_n$
then
$2^{\kappa (y)}\hat {\mathfrak {S}}_y = [M\hat X_y] \in H_{\mathsf {T}}^*(\mathsf {SMat}_n)$
while
$\hat {\mathfrak {S}}^{\mathsf {{FPF}}}_z = [M\hat X^{\mathsf {{FPF}}}_z] \in H_{\mathsf {T}}^*(\mathsf {SSMat}_n)$
.
Remark It is possible, though a little cumbersome, to derive Theorem 1.2 from [Reference Marberg and Pawlowski31, Theorem 2.17 and Lemma 3.1], which provide a similar statement in complex K-theory. We originally announced Theorem 1.2 in an extended abstract for this paper which preceded the appearance of [Reference Marberg and Pawlowski31]. However, as the argument below is similar to the proofs of the results in [Reference Marberg and Pawlowski31], we will be somewhat curt here in our presentation of the details.
For
$w = w_1 \dots w_n \in S_n$
, let
$w \times 1^k = w_1 \dots w_n\ n{+}1 \dots n{+}k \in S_{n+k}$
. Similarly, for n even define
$w \times (21)^k = w \times 1^{2k} \cdot (1^{\mathsf {{FPF}}}_n \cdot 1^{\mathsf {{FPF}}}_{n+2k})$
. Our proof of Theorem 1.2 relies on the following characterizations of
$\hat {\mathfrak {S}}_y$
and
$\hat {\mathfrak {S}}^{\mathsf {{FPF}}}_z$
:
Theorem 2.9 [Reference Wyser and Yong45, Theorem 2]
If
$y \in \mathcal {I}_n$
and
$z \in \mathcal {I}^{\mathsf {{FPF}}}_n$
, then
$2^{\kappa (y)}\hat {\mathfrak {S}}_y$
and
$\hat {\mathfrak {S}}^{\mathsf {{FPF}}}_z$
are the unique representatives for
$[\hat X_y]$
and
$[\hat X^{\mathsf {{FPF}}}_z]$
with
$2^{\kappa (y)}\hat {\mathfrak {S}}_y = 2^{\kappa (y)}\hat {\mathfrak {S}}_{y\times 1^k}$
and
$\hat {\mathfrak {S}}^{\mathsf {{FPF}}}_z = \hat {\mathfrak {S}}^{\mathsf {{FPF}}}_{z \times (21)^k}$
for all
$k \geq 1$
.
Proof of Theorem 1.2 If X and Y are complex varieties with
$\mathsf {T}$
-actions, and
$f : X \to Y$
is a
$\mathsf {T}$
-equivariant morphism, then there is a pullback homomorphism
$f^* : H_{\mathsf {T}}^*(Y) \to H_{\mathsf {T}}^*(X)$
. If f is a flat morphism (e.g., an inclusion of an open subset, a projection of a fiber bundle, or a composition of flat morphisms), then
$f^*([Z]) = [f^{-1}(Z)]$
for any subscheme
$Z \subseteq Y$
.
Because
$\mathsf {T}$
acts freely on
$\mathsf {GL}_n$
and since
$\mathsf {T}\backslash \mathsf {GL}_n \twoheadrightarrow \mathsf {B} \backslash \mathsf {GL}_n \simeq \mathsf {Fl}_{n}$
is a homotopy equivalence (see, e.g., [Reference McGovern35, Section 8.1]), one has
$H_{\mathsf {T}}^*(\mathsf {GL}_n) \simeq H^*(\mathsf {T} \backslash \mathsf {GL}_n) \simeq H^*(\mathsf {Fl}_{n})$
. If
$Z \subseteq \mathsf {GL}_n$
is a
$\mathsf {B}$
-invariant subvariety, then
$[Z] \in H_{\mathsf {T}}^*(\mathsf {GL}_n)$
corresponds to the class of
$\mathsf {B}\backslash Z = \{\mathsf {B} g : g \in Z\}$
in
$H^*(\mathsf {Fl}_{n})$
. Fix
$y \in \mathcal {I}_n$
and define
$\sigma : \mathsf {GL}_n \to \mathsf {SMat}_n$
by
$\sigma (g) = gg^T$
. Let
$\iota : \mathsf {GL}_n \hookrightarrow M_n$
be the obvious inclusion and consider the diagram

Realize
$\mathsf {O}_n$
as the group
$\{g \in \mathsf {GL}_n : gg^T = 1\}$
. The map
$\sigma $
is flat because it is the composition
$\mathsf {GL}_n \twoheadrightarrow \mathsf {GL}_n/\mathsf {O}_n \hookrightarrow \mathsf {SMat}_n$
, where the second map sends
$g\mathsf {O}_n \mapsto gg^T$
and may be identified with the open inclusion
$\mathsf {GL}_n \cap \mathsf {SMat}_n \hookrightarrow \mathsf {SMat}_n$
. For fixed
$i \in [n]$
, one checks using the prescription of Section 2.2 that
$2x_i$
represents both the class of
$Z = \{A \in \mathsf {SMat}_n : A_{ii} = 0\}$
in
$H_{\mathsf {T}}^*(\mathsf {SMat}_n)$
and the class of
$Z' = \{A \in M_n : (AA^T)_{ii} = 0\}$
in
$H_{\mathsf {T}}^*(M_n)$
. Since
$\sigma ^*[Z] = [\sigma ^{-1}(Z)] = [\iota ^{-1}(Z')] = \iota ^*[Z']$
, this calculation implies that (2.5) commutes.
Now set
$ \hat X_y = \mathsf {B} \backslash \sigma ^{-1}(M\hat X_y) = \{\mathsf {B} g \in \mathsf {Fl}_{n} : \operatorname {\mathrm {rank}} (gg^T)_{[i][j]} \leq \operatorname {\mathrm {rank}} y_{[i][j]} \text { for}\ i,j \in [n]\},$
so that the path through the upper-left corner of (2.5) sends the polynomial
$[M\hat X_y]$
to
$[\hat X_y]$
. The variety
$\hat X_y$
is the closure of an
$\mathsf {O}_n$
-orbit on
$\mathsf {Fl}_{n}$
[Reference Wyser44, Section 2.1.2]. The path through the lower-right corner of (2.5) is simply the classical Borel map
$\mathbb {Z}[x_1, \ldots , x_n] \to H^*(\mathsf {Fl}_{n})$
. We claim
$[M\hat X_{y \times 1^m}]$
is constant for fixed y and varying m. Since
$[M\hat X_{y}]$
is a representative for
$[\hat X_y]$
, the result then follows by Theorem 2.9.
For
$y \neq 1 \in S_n$
, define
$\operatorname {maxdes}(y) = \max \{i \in \mathbb {Z}_{\geq 0} : y(i)> y(i+1)\}$
. Replacing
$[n]$
in the definition (2.3) by
$[\operatorname {maxdes}(y)]$
yields exactly the same variety
$M\hat X_y$
. Since
$\operatorname {maxdes}(y \times 1^m)$
is independent of m, as is
$\operatorname {\mathrm {rank}}(y \times 1^m)_{[i][j]}$
for
$i, j \in [\operatorname {maxdes}(y)]$
, it follows that the ideals of
$M\hat X_{y \times 1^m}$
for fixed y and varying m have a common generating set. It is clear from §2.2 that this means that the polynomial
$[M\hat X_{y \times 1^m}]$
is independent of m.
The proof for the skew-symmetric case is the same, replacing
$\mathsf {O}_n$
by
$\mathsf {Sp}_n$
and the map
$\sigma : g \mapsto gg^T$
by
$g \mapsto g\Omega g^T$
, where
$\Omega \in \mathsf {GL}_n$
is the nondegenerate skew-symmetric form preserved by
$\mathsf {Sp}_n$
.
Corollary 2.10 The polynomial
$2^{\kappa (y)}\hat {\mathfrak {S}}_y$
(respectively,
$\hat {\mathfrak {S}}^{\mathsf {{FPF}}}_z$
) is a positive integer linear combination of products of terms
$x_i+x_j$
for
$1 \leq i \leq j \leq n$
(respectively,
$1 \leq i < j \leq n$
).
Proof The weights of
$\mathsf {T}$
acting on
$\mathsf {SMat}_n$
are
$x_i+x_j$
for
$1 \leq i \leq j \leq n$
, while the weights of
$\mathsf {SSMat}_n$
are the same with the added restriction
$i < j$
. The expression (2.2) makes clear that the classes
$[M\hat X_y]$
and
$[M\hat X^{\mathsf {{FPF}}}_z]$
are positive integer linear combinations of products of these weights.▪
Remark Let
$\mathsf {S}$
be a maximal torus in
$\mathsf {O}_n$
. Let
$\mathsf {T} \times \mathsf {S}$
act on
$\mathsf {GL}_n$
by
$(t,s) \cdot g = tgs^{-1}$
and on
$\mathsf {SMat}_n$
by
$(t,s) \cdot A = tAt$
. The map
$\sigma : \mathsf {GL}_n \to \mathsf {SMat}_n$
,
$g \mapsto gg^T$
considered above is then
$\mathsf {T} \times \mathsf {S}$
-equivariant. Since the second factor of
$\mathsf {T} \times \mathsf {S}$
acts trivially on
$\mathsf {SMat}_n$
, the polynomial
$2^{\kappa (y)}\hat {\mathfrak {S}}_y$
still represents the class
$[M\hat X_y] \in H_{\mathsf {T} \times \mathsf {S}}(\mathsf {SMat}_n)$
. It follows as in the proof of Theorem 1.2 that
$2^{\kappa (y)}\hat {\mathfrak {S}}_y$
also represents the class
$[\hat X_y]_{\mathsf {S}} \in H_{\mathsf {S}}(\mathsf {Fl}_{n})$
. The latter fact was proven by Wyser and Yong [Reference Wyser and Yong45], but our approach gives an explanation for the surprising existence of a representative for
$[\hat X_y]_{\mathsf {S}}$
not involving the
$\mathsf {S}$
-weights. Similar remarks apply in the skew-symmetric case.
3 Characterizing pipe dreams
The rest of this article is focused on the combinatorial properties of involution pipe dreams and their role in the formulas in Theorem 1.5 that manifest Corollary 2.10. In the introduction, we defined (fpf-)involution pipe dreams via simple symmetry conditions. In this section, we give an equivalent characterization in terms of “compatible sequences” related to involution words.
3.1 Reading words
For
$p \in \mathbb {Z}$
, the
$p{th}$
antidiagonal in
$\mathbb {Z}_{>0} \times \mathbb {Z}_{>0}$
is the set

The
$p{th}$
diagonal in
$\mathbb {Z}_{>0} \times \mathbb {Z}_{>0}$
is the set

Labeling the elements of
$\{1,2,3\}\times \{1,2,3\}$
by their antidiagonal and diagonal gives

respectively. Let
$\mathsf {adiag}: \mathbb {Z}_{>0}\times \mathbb {Z}_{>0} \to \mathbb {Z}_{>0}$
be the map sending
$(i,j) \mapsto i+j-1$
.
Definition 3.1 The standard reading word of
$D\subseteq [n]\times [n]$
is the sequence

where
$\alpha _1,\alpha _2,\dots ,\alpha _{|D|}$
are the positions of D read row-by-row from right to left, starting with the top row.
If one also records the row indices of the positions
$\alpha _i$
as a second word, then the resulting words uniquely determine D and are the same data as a compatible sequence for
$\mathsf {word}(D)$
(see [Reference Billey, Jockusch and Stanley3, (1)]).
Example 3.2 The subset
$D= \{ (1,3),(1,2),(2,3),(2,2),(3,2)\}$
has
$\mathsf {word}(D) = 32434$
.
We introduce a more general class of reading words. Suppose
$\omega : [n] \times [n] \to [n^2]$
is a bijection. For a subset
$D \subseteq [n] \times [n]$
with
$\omega (D) = \{ i_1 < i_2< \dots < i_{m}\}$
, let

The standard reading word of
$D\subseteq [n]\times [n]$
corresponds to
$\omega : (i,j) \mapsto ni - j + 1$
.
Example 3.3 If
$n=2$
and
$\omega $
is such that
$ \left [ \begin {array}{@{}rr@{}} \omega (1,1) & \omega (1,2) \\ \omega (2,1) & \omega (2,2) \end {array}\right ] = \left [ \begin {array}{@{}cc@{}} 3 & 1 \\ 4 & 2 \end {array} \right ] $
then we would have
$\mathsf {word}([n]\times [n],\omega ) = 2312$
, while if
$D = \{(1,1),(2,2)\}$
then
$\mathsf {word} (D,\omega ) = 31$
.
For us, a linear extension of a finite poset
$(P,\preceq )$
with size
$m=|P|$
is a bijection
$\omega : P \to [m]$
such that
$\omega (s) < \omega (t)$
whenever
$s \prec t$
in P.
Definition 3.4 A reading order on
$[n]\times [n]$
is a linear extension of the partial order
$\leq _{\mathsf {NE}}$
on
$[n] \times [n]$
that has
$(i,j) \leq _{\mathsf {NE}} (i',j')$
if and only if both
$i \leq i'$
and
$j \geq j'$
. If
$\omega $
is a reading order, then we refer to
$\mathsf {word}(D,\omega )$
as a reading word of
$D\subseteq [n]\times [n]$
.
The Coxeter commutation class of a finite sequence of integers is its equivalence class under the relation that lets adjacent letters commute if their positive difference is at least two. For example,
$\{1324, 3124,1342,3142, 3412\}$
is a single Coxeter commutation class. Fix a set
$D \subseteq [n] \times [n]$
.
Lemma 3.5 All reading words of D are in the same Coxeter commutation class.
This result can be derived using Viennot’s theory of heaps of pieces; see [Reference Viennot43, Lemma 3.3].
Proof Let
$s_p \in S_{n^2}$
be the simple transposition interchanging p and
$p+1$
, and choose a reading order
$\omega $
on
$[n]\times [n]$
. The sequence
$\mathsf {word}(D, s_p \omega )$
is equal to
$\mathsf {word}(D, \omega )$
when
$\{p,p+1\}\not \subset \omega (D)$
, and otherwise is obtained by interchanging two adjacent letters in
$\mathsf {word}(D,\omega )$
. In the latter case, if
$\omega ^{-1}(p) = (i,j)$
and
$\omega ^{-1}(p+1) = (i',j')$
are not in adjacent antidiagonals, then
$\mathsf {word}(D,\omega )$
and
$\mathsf {word}(D, s_p \omega )$
are in the same Coxeter commutation class.
Now suppose
$\upsilon $
is a second reading order on
$[n]\times [n]$
. We claim that one can pass from
$\omega $
to
$\upsilon $
by composing
$\omega $
with a sequence of simple transpositions obeying the condition just described. To check this, we induct on the number of inversions in the permutation
$\upsilon \omega ^{-1} \in S_{n^2}$
. If
$\upsilon \omega ^{-1}$
is not the identity, then there exists p with
$\upsilon (\omega ^{-1}(p))> \upsilon (\omega ^{-1}(p+1))$
. Since
$\upsilon $
and
$\omega $
are both linear extensions of
$\leq _{\mathsf {NE}}$
, we can have neither
$\omega ^{-1}(p) \leq _{\mathsf {NE}} \omega ^{-1}(p+1)$
nor
$\omega ^{-1}(p+1) \leq _{\mathsf {NE}} \omega ^{-1}(p)$
, so the cells
$\omega ^{-1}(p)$
and
$\omega ^{-1}(p+1)$
are not in adjacent antidiagonals. Therefore
$\mathsf {word}(D,\omega )$
and
$\mathsf {word}(D, s_p \omega )$
are in the same Coxeter commutation class, which by induction also includes
$\mathsf {word}(D,\upsilon )$
.▪
Each diagonal is an antichain for
$\leq _{\mathsf {NE}}$
, so if
$\omega $
first lists the elements on diagonal
$-(n-1)$
in any order, then lists the elements on diagonal
$-(n-2)$
, and so on, then
$\omega $
is a reading order.
Definition 3.6 The unimodal-diagonal reading order on
$[n]\times [n]$
is the reading order that lists the elements of the pth diagonal from bottom to top if
$p < 0$
, and from top to bottom if
$p \geq 0$
. The unimodal-diagonal reading word of
$D\subseteq [n]\times [n]$
, denoted
$\mathsf {udiag}(D)$
, is the associated reading word.
The unimodal-diagonal reading order on
$\{1,2,3,4\} \times \{1,2,3,4\}$
has values

and if
$D = \{1,2,3,4\} \times \{1,2,3,4\}$
then
$\mathsf {udiag}(D) = 4536421357246354$
.
3.2 Pipe dreams
Recall the definitions of the sets of reduced words
$\mathcal {R}(w)$
, involution words
$\hat {\mathcal {R}}(y)$
, and fpf-involution words
$\hat {\mathcal {R}}^{\mathsf {{FPF}}}(z)$
for
$w \in S_n$
,
$y \in \mathcal {I}_n$
, and
$z \in \mathcal {I}^{\mathsf {{FPF}}}_n$
from Section 2.1. For the standard reading word, the following theorem is well-known from [Reference Bergeron and Billey1]. The main new results of this section are versions of this theorem for involution pipe dreams and fpf-involution pipe dreams.
Theorem 3.7 A subset
$D \subseteq [n]\times [n]$
is a reduced pipe dream for
$w \in S_n$
if and only if some (equivalently, every) reading word of D is a reduced word for w.
Proof Fix
$D \subseteq [n]\times [n]$
and
$w \in S_n$
. The set
$\mathcal {R}(w)$
is a union of Coxeter commutation classes, so
$\mathsf {word}(D)\in \mathcal {R}(w)$
if and only every reading word of D belongs to
$\mathcal {R}(w)$
by Lemma 3.5. Saying that D is a reduced pipe dream for w if and only if
$\mathsf {word}(D) \in \mathcal {R}(w)$
is Bergeron and Billey’s original definition of an rc-graph in [Reference Bergeron and Billey1, Section 3], and it is clear from the basic properties of permutation wiring diagrams that this is equivalent to the definition of a reduced pipe dream in the introduction.▪
Corollary 3.8 [Reference Bergeron and Billey1, Lemma 3.2]
If D is a reduced pipe dream for
$w \in S_n$
then
$D^T$
is a reduced pipe dream for
$w^{-1}$
.
Recall that the set
$\mathcal {ID}(z)$
of involution pipe dreams for
$z \in \mathcal {I}_n$
consists of all intersections
where D is a reduced pipe dream for z that is almost-symmetric and
.
Theorem 3.9 Suppose
$z \in \mathcal {I}_n$
and
$D \subseteq [n]\times [n]$
. The following are equivalent:
-
(a) Some reading word of D is an involution word for z.
-
(b) Every reading word of D is an involution word for z.
-
(c) The set D is a reduced pipe dream for some atom of z.
Moreover, if
then
$D\in \mathcal {ID}(z)$
if and only if these equivalent conditions hold.
Remark Although this theorem implies that
$\mathcal {ID}(z) \subseteq \bigsqcup _{w \in \mathcal {A}(z)} \mathcal {PD}(w)$
, it is possible for an atom
$w \in \mathcal {A}(z)$
to have no reduced pipe dreams contained in
, in which case
$\mathcal {ID}(z)$
and
$\mathcal {PD}(w)$
are disjoint. See Example 3.10 for an illustration of this.
Proof Recall that
$\hat {\mathcal {R}}(z)$
is the disjoint union of the sets
$\mathcal {R}(w)$
, running over all atoms
$w \in \mathcal {A}(z)$
. The equivalences (a)
$\Leftrightarrow $
(b)
$\Leftrightarrow $
(c) are clear from Lemma 3.5 and Theorem 3.7. Assume
. To prove the final assertion, it suffices to show that
$D\in \mathcal {ID}(z)$
if and only if the unimodal-diagonal reading word of D from Definition 3.6 is an involution word of z.
Suppose
$|D| = m$
and
$\mathsf {udiag}(D) = a_1a_2\cdots a_m$
. We construct a sequence
$w_0,w_1,w_2,\dots ,w_m$
of involutions as follows: start by setting
$w_0 = 1$
, and for each
$i \in [m]$
define
$ w_i = s_{a_i} w_{i-1} s_{a_i}$
if we have
$w_{i-1} s_{a_i} \neq s_{a_i} w_{i-1}$
, or else set
$w_i = w_{i-1} s_{a_i} = s_{a_i} w_{i-1}$
. For example, if
$m=5$
and
$a_1a_2a_3a_4a_5 =13235$
then this sequence has

Let
$b_l \cdots b_2 b_1$
be the subword of
$a_m \cdots a_2 a_1$
which contains
$a_i$
if and only if
$w_i = s_{a_i} w_{i-1} s_{a_i}$
. In our example with
$m=5$
and
$a_1a_2a_3a_4a_5= 13235$
, we have
$l=2$
and
$ b_2 b_1 = a_4a_3= 32$
. Let
$(p_1,q_1)$
,
$(p_2,q_2)$
, …,
$(p_m,q_m)$
be the cells in D listed in the unimodal-diagonal reading order and define
$E = D\sqcup \{ (q_i,p_i) : w_i = s_{a_i} w_{i-1} s_{a_i}\}.$
If
$\mathsf {udiag}(D) = 13235$
then we could have

By construction
$\mathsf {udiag}(E) = b_l \cdots b_2 b_1 a_1a_2\cdots a_m$
is a reduced word for z. It follows that E is almost-symmetric since each
$b_i$
has a corresponding
$a_j$
and the associated cells are transposes of each other.
The exchange principle (see, e.g., [Reference Hultman18, Lemma 3.4]) implies that if
$w \in \mathcal {I}_n$
,
$i \in [n-1]$
, and
$w(i)< w(i+1)$
, then either
$s_i ws_i =w\neq ws_i =s_i w = s_i \circ w \circ s_i$
or
$ s_iw s_i = s_i \circ w \circ s_i \neq w$
. From this, it is straightforward to show that
$\mathsf {udiag}(D) \in \hat {\mathcal {R}}(z) $
if and only if
$\mathsf {udiag}(E) \in \mathcal {R}(z)$
; this also follows from the results in [Reference Hamaker, Marberg and Pawlowski12, Section 2]. Given the previous paragraph, we conclude that
$\mathsf {udiag}(D)\in \mathcal {R}(z)$
if and only if
is an involution pipe dream for z.▪
Example 3.10 Let
$z = 1432 = \in \mathcal {I}_4$
. Since
$ z = s_3 \circ s_2 \circ 1 \circ s_2 \circ s_3 = s_2 \circ s_3 \circ 1 \circ s_3 \circ s_2,$
we have
$ 23 \in \hat {\mathcal {R}}(z)$
and
$ 32\in \hat {\mathcal {R}}(z)$
. These are the standard reading words of the involution pipe dreams
$\{(2,1),(3,1)\}$
and
$\{(2,1),(2,2)\}$
, which may be drawn as

The only involution pipe dream for
$y = 321 \in \mathcal {I}_3$
is
$\{(1,1),(2,1)\}$
which has standard reading word
$12$
. Although
$\hat {\mathcal {R}}(y) =\{12,21\}$
, there is no involution pipe dream with standard reading word
$21$
.
We turn to the fixed-point-free case.
Lemma 3.11 Assume n is even. Suppose
$z \in \mathcal {I}_n$
is an involution with a symmetric reduced pipe dream
$D=D^T$
. Then
$z \in \mathcal {I}^{\mathsf {{FPF}}}_n$
if and only if
$\{(i,i) : i \in [n/2]\}\subseteq D$
.
Proof In fact, a stronger statement holds: for symmetric D and
$i \in [n/2]$
, the pipes in cell
$(i,i)$
of the wiring diagram of D are labeled by fixed points of z if and only if
$(i,i) \notin D$
. Let a and b be the labels for the pipes entering
$(i,i)$
from the left and below, respectively. Since D is symmetric, if
$(i,i) \in D$
then
$z(a) = b$
(hence
$z(b) = a$
), and if
$(i,i) \notin D$
then
$z(a) = a$
and
$z(b) = b$
.▪
Recall that the set
$\mathcal {FD}(z)$
of fpf-involution pipe dreams for
$z \in \mathcal {I}^{\mathsf {{FPF}}}_n$
consists of all intersections
where D is a reduced pipe dream for z that is symmetric and
.
Theorem 3.12 Suppose n is even,
$z \in \mathcal {I}^{\mathsf {{FPF}}}_n$
, and
$D \subseteq [n]\times [n]$
. The following are equivalent:
-
(a) Some reading word of D is an fpf-involution word for z.
-
(b) Every reading word of D is an fpf-involution word for z.
-
(c) The set D is a reduced pipe dream for some fpf-atom of z.
Moreover, if
then
$D\in \mathcal {FD}(z)$
if and only if these equivalent conditions hold.
Proof Recall that
$\hat {\mathcal {R}}^{\mathsf {{FPF}}}(z)$
is the disjoint union of the sets
$\mathcal {R}(w)$
, running over all fpf-atoms
$w \in \mathcal {A}^{\mathsf {{FPF}}}(z)$
. Properties (a), (b), and (c) are again equivalent by Lemma 3.5 and Theorem 3.7. Assume
. To prove the final assertion, it suffices to check that D is an fpf-involution pipe dream for z if and only if
$\mathsf {udiag}(D) \in \hat {\mathcal {R}}^{\mathsf {{FPF}}}(z)$
.
To this end, first suppose
where
$E=E^T \in \mathcal {PD}(z)$
. Then E is also almost-symmetric, so Theorem 3.9 implies that
. This combined with Lemma 3.11 implies that
, so
$\mathsf {udiag}(D) \in \hat {\mathcal {R}}^{\mathsf {{FPF}}}(z)$
.
Conversely, suppose every reading word of D is an fpf-involution word for z, so that
$\mathsf {udiag}(D) \in \hat {\mathcal {R}}^{\mathsf {{FPF}}}(z)$
. The set
$D' = D \sqcup \{(i,i) : i \in [n-1]\}$
then has
$\mathsf {udiag}(D') \in \hat {\mathcal {R}}(z)$
, so there exists an almost-symmetric
$D'' \in \mathcal {PD}(z)$
with
by Theorem 3.9. By construction
, and since
$|D''| = \ell (z) = 2|D| + n/2$
it follows that
$D''$
is actually symmetric. Therefore,
$D\in \mathcal {FD}(z)$
.▪
Example 3.13 Let
$z =216543 \in \mathcal {I}^{\mathsf {{FPF}}}_6$
. Then
$\ell (z) = 7$
and

so
$3413543$
and
$5413545$
are reduced words for z. These words are the unimodal-diagonal reading words of the symmetric reduced pipe dreams

so
$\{(3,1),(3,2)\}$
and
$\{(4,1),(5,1)\}$
are fpf-involution pipe dreams for z, and their standard reading words
$43$
and
$45$
are fpf-involution words for z.
4 Pipe dreams and Schubert polynomials
In this section, we derive the pipe dream formulas for involution Schubert polynomials given in Theorem 1.5. Our arguments are inspired by a new proof due to Knutson [Reference Knutson22] of the classical pipe dream formula (1.2). Knutson’s approach is inductive. The key step in his argument is to show that the right side of (1.2) satisfies certain recurrences that also apply to double Schubert polynomials [Reference Kohnert and Veigneau25, Section 4].
Similar recurrences for
$\hat {\mathfrak {S}}_y$
and
$\hat {\mathfrak {S}}^{\mathsf {{FPF}}}_z$
appear in [Reference Hamaker, Marberg and Pawlowski14]. Adapting Knutson’s strategy to our setting requires us to show that the right hand expressions in Theorem 1.5 satisfy the same family of identities. This is accomplished in Theorems 4.23 and 4.34. Proving these results involves a detailed analysis of the maximal (shifted) Ferrers diagram contained in a reduced pipe dream, which we refer to as the (shifted) dominant component. We gradually develop the technical properties of these components over the course of this section.
4.1 Dominant components of permutations
The results in this subsection are all straightforward consequences of known results, with the possible exception of Lemma 4.2; see in particular [Reference Knutson22, Section 3]. However, we are unaware of an explicit description of Definition 4.1 in the literature. Since this definition is central to our construction, we give a self-contained treatment of its properties.
A lower set in a poset
$(P,<)$
is a subset
$L \subset P$
such that if
$x \in P$
,
$y \in L$
, and
$x < y$
, then
$x \in L$
. Let
$\leq _{\mathsf {NW}}$
be the partial order on
$\mathbb {Z}_{>0} \times \mathbb {Z}_{>0}$
with
$(i,j) \leq _{\mathsf {NW}} (i',j')$
if
$i \leq i'$
and
$j \leq j'$
, i.e., if
$(i,j)$
is northwest of
$(i',j')$
in matrix coordinates.
Definition 4.1 The dominant component
$\operatorname {dom}(D)$
of a set
$D \subseteq \mathbb {Z}_{>0}\times \mathbb {Z}_{>0}$
is the maximal lower set in
$(\mathbb {Z}_{>0}\times \mathbb {Z}_{>0},\leq _{\mathsf {NW}})$
contained in D.
Equivalently, the set
$\operatorname {dom}(D)$
consists of all
$(i,j) \in D$
such that if
$(i',j') \in \mathbb {Z}_{>0}\times \mathbb {Z}_{>0}$
and
$(i',j') \leq _{\mathsf {NW}} (i,j)$
then
$(i',j') \in D$
. If D is finite, then its dominant component
$\operatorname {dom}(D)$
is the Ferrers diagram
$ \mathsf {D}_\lambda = \{(i,j) : 1 \leq i \leq \ell (\lambda ),\ 1 \leq j \leq \lambda _i\} $
of some partition
$\lambda $
. An outer corner of D is a pair
$(i,j) \in (\mathbb {Z}_{>0} \times \mathbb {Z}_{>0}) \setminus D$
such that
$\operatorname {dom}(D) \sqcup \{(i,j)\}$
is again a Ferrers diagram of some partition. For example,
$(1,2)$
and
$(2,1)$
are the outer corners of
$D = \{(1,1),(1,3)\}$
, since
$\operatorname {dom}(D) = \{(1,1)\}$
.
For distinct
$i,j \in [n]$
, let
$t_{ij} \in S_n$
be the transposition interchanging i and j.
Lemma 4.2 Suppose
$w \in S_n$
and
$(i,j)$
is an outer corner of some
$D \in \mathcal {PD}(w)$
. Then
$w(i) = j$
and
$D\sqcup \{(i,j)\}$
is a reduced pipe dream (for a longer permutation).
Proof By hypothesis, D contains every cell above
$(i,j)$
in the jth column and every cell to the left of
$(i,j)$
in the ith row. This means that in the wiring diagram associated to D, the pipe leaving the top of position
$(i,j)$
must continue straight up and terminate in column j on the top side of D, and after leaving the left of position
$(i,j)$
, the same pipe must continue straight left and terminate in row i on the left side of D. Thus
$w(i) = j$
as claimed. Suppose the other pipe at position
$(i,j)$
starts at p on the left and ends at
$q=w(p)$
on the top. As this pipe leaves
$(i,j)$
rightwards and downwards, we have
$p> i$
and
$q>j$
, and the pipe only intersects
$[i] \times [j]$
at
$(i,j)$
, where it avoids the other pipe. Therefore, we have
$D\sqcup \{(i,j)\} \in \mathcal {PD}(w')$
for
$w' :=wt_{ip} = t_{jq}w\in S_n$
, and it holds that
$\ell (w) < \ell (w')$
as
$i< p$
and
$w(i)< w(p)$
.▪
Example 4.3 Suppose
$w=426135 \in S_6$
. If
$(i,j) = (2,2)$
and

then in the notation of the proof, we have
$p = 3$
,
$q=6$
, and
$w' = 462135$
.
The Rothe diagram of
$w \in S_n$
is

It is often useful to observe that the set
$D(w)$
is the complement in
$[n]\times [n]$
of the union of the hooks
$\{ (x,w(i)) : i < x \leq n\} \sqcup \{ (i,w(i))\} \sqcup \{ (i,y) : w(i) < y \leq n\}$
for
$i \in [n]$
. It is not hard to show that one always has
$|D(w)| = \ell (w)$
.
Definition 4.4 The dominant component of a permutation
$w \in S_n$
is
$\operatorname {dom}(w) = \operatorname {dom}(D(w)).$
We say that permutation
$w \in S_n$
is dominant if
$\operatorname {dom}(w) \in \mathcal {PD}(w)$
.
It is more common to define w to be dominant if
$D(w)$
is the Ferrers diagram of a partition, or equivalently if w is
$132$
-avoiding. The following lemma shows that our definition is equivalent.
Lemma 4.5 A permutation
$w \in S_n$
is dominant if and only if it holds that
$\mathcal {PD}(w) = \{ \operatorname {dom}(w)\}$
, in which case
$\operatorname {dom}(w) = D(w)$
.
Proof If
$w \in S_n$
is dominant then
$\mathcal {PD}(w) = \{ \operatorname {dom}(w)\}= \{ D(w) \}$
since all reduced pipe dreams for w have size
$\ell (w) = |D(w)|$
and contain
$\operatorname {dom}(w) \subseteq D(w)$
.▪
Corollary 4.6 Let
$w \in S_n$
. Then
$\operatorname {dom}(w^{-1}) = \operatorname {dom}(w)^T$
. If
$w $
is dominant, then
$\operatorname {dom}(w) = \operatorname {dom}(w)^T$
if and only if
$w=w^{-1}$
.
Proof The first claim holds since
$D(w^{-1}) = D(w)^T$
. If w is dominant and
$\operatorname {dom}(w) = \operatorname {dom}(w)^T$
, then
$\operatorname {dom}(w) = D(w)$
by Lemma 4.5 so
$D(w) = D(w)^T = D(w^{-1})$
and therefore
$w=w^{-1}$
.▪
We write
$\mu \subseteq \lambda $
for partitions
$\mu $
and
$\lambda $
to indicate that
$\mathsf {D}_\mu \subseteq \mathsf {D}_\lambda $
.
Proposition 4.7 If
$\lambda $
is a partition with
$\lambda \subseteq (n-1,\dots ,3, 2,1)$
then there exists a unique dominant permutation
$w \in S_n$
with
$\operatorname {dom}(w) = \mathsf {D}_\lambda $
.
Proof This holds by induction as adding an outer corner to the reduced pipe dream of a dominant permutation yields a reduced pipe dream of a dominant permutation.▪
Write
$\leq $
for the Bruhat order on
$S_n$
. Since
$v \leq w$
if and only if some (equivalently, every) reduced word for w has a subword that is a reduced word for v [Reference Humphreys20, Section 5.10], Theorem 3.7 implies:
Lemma 4.8 If
$v,w \in S_n$
then
$v \leq w$
if and only if some (equivalently, every) reduced pipe dream for w has a subset that is a reduced pipe dream for v.
Corollary 4.9 Let
$v,w \in S_n$
with v dominant. Then
$v\leq w$
if and only if
$\operatorname {dom}(v) \subseteq D$
for some (equivalently, every)
$D \in \mathcal {PD}(w)$
.
Proof This holds since a dominant permutation has only one reduced pipe dream.▪
For each
$i \in [n]$
let
$c_i(w) = |\{ j : (i,j) \in D(w)\}|.$
The code of
$w \in S_n$
is the integer sequence
$ c(w) = (c_1(w), \ldots , c_n(w))$
. The bottom pipe dream of
$w \in S_n$
is the set

obtained by left-justifying
$D(w)$
. It is not obvious that
$D_{\text {bot}}(w) \in \mathcal {PD}(w)$
, but this holds by results in [Reference Bergeron and Billey1]; see also Theorem 5.2 below.
Example 4.10 If
$w = 35142 \in S_5$
, then
$D(w)$
is the set of
$+$
’s below:

so we have
$c(w) = (2,3,0,1,0)$
and

Proposition 4.11 If
$w \in S_n$
and
$D \in \mathcal {PD}(w)$
then
$\operatorname {dom}(D) = \operatorname {dom}(w)$
.
Proof For each
$D \in \mathcal {PD}(w)$
there exists a dominant permutation
$v \in S_n$
with
$\operatorname {dom}(v) = \operatorname {dom}(D)$
and
$v \leq w$
, in which case
$\operatorname {dom}(D) \subseteq \operatorname {dom}(E)$
for all
$E \in \mathcal {PD}(w)$
by Corollary 4.9. This can only hold if
$\operatorname {dom}(D) = \operatorname {dom}(E)$
for all
$E \in \mathcal {PD}(w)$
.
To finish the proof, it suffices to show that
$\operatorname {dom}(w) = \operatorname {dom}(D_{\text {bot}}(w))$
. It is clear by definition that
$\operatorname {dom}(w) \subseteq \operatorname {dom}(D_{\text {bot}}(w))$
. Conversely, each outer corner of
$\operatorname {dom}(w)$
has the form
$(i,w(i))$
for some
$i \in [n]$
but no such cell is in
$\operatorname {dom}(D_{\text {bot}}(w))$
, so we cannot have
$\operatorname {dom}(w) \subsetneq \operatorname {dom}(D_{\text {bot}}(w))$
.▪
Below, we define an outer corner of
$w \in S_n$
to be an outer corner of
$\operatorname {dom}(w)$
.
4.2 Involution pipe dream formulas
Recall that
$\mathcal {I}_n = \{ w \in S_n : w=w^{-1}\}$
and
.
Definition 4.12 The shifted dominant component of
$z \in \mathcal {I}_n$
is the set
Fix
$z \in \mathcal {I}_n$
. By Proposition 4.11,
for all
$D \in \mathcal {PD}(z)$
. The shifted Ferrers diagram of a strict partition
$\lambda = (\lambda _1>\lambda _2 > \dots > \lambda _k >0)$
is the set

which is formed from
$\mathsf {D}_\lambda $
by moving the boxes in row i to the right by
$i-1$
columns. Since
$\operatorname {dom}(z)$
is a Ferrers diagram, the set
$\operatorname {shdom}(z)$
is the transpose of the shifted Ferrers diagram of some strict partition. A pair
$(j,i) \in \mathbb {Z}_{>0}\times \mathbb {Z}_{>0}$
with
$i\leq j$
is an outer corner of z if and only if the transpose of
$\operatorname {shdom}(z) \cup \{(j,i)\}$
is a shifted Ferrers diagram, in which case
$z(j) = i$
.
Lemma 4.13 If
$z \in \mathcal {I}_n$
then
$\operatorname {dom}(z) = \operatorname {shdom}(z) \cup \operatorname {shdom}(z)^T$
.
Proof This holds since
$z=z^{-1}$
implies that
$\operatorname {dom}(z) = \operatorname {dom}(z)^T$
.▪
Corollary 4.14 If
$z \in \mathcal {I}_n$
then
$\operatorname {shdom}(z)$
is the union of all lower sets of
that are contained in some (equivalently, every)
$D \in \mathcal {ID}(z)$
.
The natural definition of “involution” dominance turns out to be equivalent to the usual notion:
Proposition 4.15 Let
$z \in \mathcal {I}_n$
. The following are equivalent:
-
(a) The permutation z is dominant.
-
(b) It holds that
$\mathcal {PD}(z) = \{ \operatorname {dom}(z)\}$ .
-
(c) It holds that
$\mathcal {ID}(z) = \{\operatorname {shdom}(z)\}$ .
Proof We have (a)
$\Leftrightarrow $
(b) by Lemma 4.5 and (b)
$\Leftrightarrow $
(c) by Lemma 4.13.▪
Proposition 4.16 If
$\lambda $
is a strict partition with
$\lambda \subseteq (n-1,n-3,n-5,\dots )$
then there exists a unique dominant involution
$z \in \mathcal {I}_n$
with
$\operatorname {shdom}(z)^T = \mathsf {SD}_\lambda $
.
Proof We have
$\mathsf {D}_\mu = \mathsf {SD}_\lambda \cup ( \mathsf {SD}_\lambda )^T$
for some
$\mu $
. Let
$z \in S_n$
be dominant with
$\operatorname {dom}(z) = \mathsf {D}_\mu $
. Then
$z \in \mathcal {I}_n$
by Corollary 4.6 and
. Uniqueness holds by Lemma 4.13.▪
If
$y,z \in \mathcal {I}_n$
, then
$y \leq z$
in Bruhat order if and only if some (equivalently, every) involution word for z contains a subword that is an involution word for y (see either [Reference Richardson and Springer40, Corollary 8.10] with [Reference Richardson and Springer41], or [Reference Hultman19, Theorem 2.8]). The following is an immediate corollary of this property and Theorem 3.9.
Lemma 4.17 Let
$y,z \in \mathcal {I}_n$
. Then
$y \leq z$
if and only if some (equivalently, every) involution pipe dream for z has a subset that is an involution pipe dream for y.
Corollary 4.18 Let
$y,z \in \mathcal {I}_n$
with y dominant. Then
$y\leq z$
if and only if
$\operatorname {shdom}(y) \subseteq D$
for some (equivalently, every)
$D \in \mathcal {ID}(z)$
.
Proof This is clear since if
$y \in \mathcal {I}_n$
is dominant then
$|\mathcal {ID}(y)|=1$
.▪
We will need the following technical property of the Demazure product from [Reference Knutson and Miller24].
Lemma 4.19 [Reference Knutson and Miller24, Lemma 3.4(1)]
If
$b_1b_2\cdots b_q$
is a subword of
$a_1a_2\cdots a_p$
where each
$a_i \in [n-1]$
, then
$ s_{b_1} \circ s_{b_2}\circ \dots \circ s_{b_q} \leq s_{a_1} \circ s_{a_2}\circ \dots \circ s_{a_p} \in S_n. $
Corollary 4.20 If
$v',w',v,w \in S_n$
, and
$v \leq w$
, and
$v'\leq w'$
then
$v' \circ v \leq w' \circ w$
.
Proof This is clear from Lemma 4.19 given the subword property of
$\leq $
.▪
Corollary 4.21 If
$v,w \in S_n$
and
$v \leq w$
then
$v^{-1}\circ v \leq w^{-1} \circ w$
.
Proof Apply Corollary 4.20 with
$v' = v^{-1}$
and
$w'=w^{-1}$
.▪
Recall
$t_{ij} \in S_n$
is a transposition for distinct
$i,j \in [n]$
. It is well-known and not hard to check that if
$w \in S_n$
then
$\ell (w t_{ij}) = \ell (w) +1$
if and only if
$w(i)< w(j)$
and no
$i< e< j$
has
$w(i) < w(e) < w(j)$
.
Given
$y \in \mathcal {I}_n$
and
$1\leq i < j \leq n$
, let
$\mathcal {A}_{ij}(y)= \{ w t_{ij} : w \in \mathcal {A}(y)\text {, }\ell (wt_{ij})=\ell (w)+1\}.$
Each covering relation in
$(S_n,\leq )$
arises as the image of right multiplication by some transposition
$t_{ij}$
. The following theorem characterizes certain operators
$\tau _{ij}$
which play an analogous role for
$(\mathcal {I}_n,\leq )$
.
Theorem 4.22 (See [Reference Hamaker, Marberg and Pawlowski14, Section 3])
For each pair of integers
$1\leq i < j \leq n$
, there are unique maps
$\tau _{ij} : \mathcal {I}_n \to \mathcal {I}_n$
with the following properties:
-
(a) If
$y \in \mathcal {I}_n$ and
$\mathcal {A}_{ij}(y)\cap \mathcal {A}(z)\neq \varnothing $ for some
$z \in \mathcal {I}_n$ then
$\tau _{ij}(y)= z$ .
-
(b) If
$y \in \mathcal {I}_n$ and
$\mathcal {A}_{ij}(y)\cap \mathcal {A}(z)=\varnothing $ for all
$z \in \mathcal {I}_n$ then
$\tau _{ij}(y)= y$ .
Moreover, if
$y \in \mathcal {I}_n$
and
$y \neq \tau _{ij}(y)=z$
, then
$y(i) \neq z(i)$
and
$y(j)\neq z(j)$
.
This result has an extension for affine symmetric groups; see [Reference Marberg30, Reference Marberg and Zhang34].
Remark The operators
$\tau _{ij}$
, which first appeared in [Reference Incitti21], can be given a more explicit definition; see [Reference Hamaker, Marberg and Pawlowski14, Table 1]. However, our present applications only require the properties in the theorem.
For
$y \in \mathcal {I}_n$
, let
$\hat \ell (y)$
denote the common value of
$\ell (w)$
for any
$w \in \mathcal {A}(y)$
. This is also the size of any
$D \in \mathcal {ID}(y)$
. By Lemma 4.17, if
$y,z \in \mathcal {I}_n$
and
$y< z$
then
$\hat \ell (y) < \hat \ell (z)$
. Let

for
$y \in \mathcal {I}_n$
and
$j \in [n]$
. Since
$S_n \subset S_{n+1}$
and
$\mathcal {I}_n \subset \mathcal {I}_{n+1}$
, this set is well-defined.
Theorem 4.23 Let
$(j,i) $
be an outer corner of
$y \in \mathcal {I}_n$
with
$i\leq j$
.
-
(a) The map
$D \mapsto D \sqcup \{(j,i)\}$ is a bijection
$ \mathcal {ID}(y) \to \bigsqcup _{z \in \Psi (y,j)} \mathcal {ID}(z) $ .
-
(b) If
$i+j \leq n$ then
$\Psi (y,j) \subset \mathcal {I}_n$ .
Proof We have
$y(j) = i$
and
$y(i) = j$
by Lemma 4.2. Suppose
$v \in \mathcal {A}(y)$
and
$D \in \mathcal {PD}(v) \cap \mathcal {ID}(y)$
. By considering the pipes crossing at position
$(j,i)$
in the wiring diagram of D, as in the proof of Lemma 4.2, it follows that
$D\sqcup \{(j,i)\}$
is a reduced pipe dream for a permutation w that belongs to
$\mathcal {A}_{js}(y)$
for some
$j< s \leq n$
. Set
$z = w^{-1}\circ w \in \mathcal {I}_n$
. We wish to show that
$w \in \mathcal {A}(z)$
, since if this holds then
$D\sqcup \{(j,i)\} \in \mathcal {ID}(z)$
and Theorem 4.22 implies that
$z \in \Psi (y,j)$
.
To this end, let
$\tilde y \in \mathcal {I}_n$
be the dominant involution whose unique involution pipe dream is
$\operatorname {shdom}(y) \sqcup \{(j,i)\}$
and let
$\tilde v \in \mathcal {A}(\tilde y)$
be the (unique) atom with
$\mathcal {ID}(\tilde y) \subseteq \mathcal {PD}(\tilde v) $
. Corollaries 4.9 and 4.18 imply that
$\tilde y \nless y$
,
$\tilde v \leq w $
, and
$v< w$
since
$\operatorname {shdom}(\tilde y) \not \subset \operatorname {shdom}(y)$
and
$\operatorname {shdom}(\tilde y) \subseteq D\sqcup \{(j,i)\}$
. Hence, we have
$ \tilde y = {\tilde v}^{-1} \circ \tilde v \leq w^{-1} \circ w=z $
and
$ y = v^{-1} \circ v \leq w^{-1} \circ w=z $
by Corollary 4.21. Putting these relations together gives
$\tilde y \nless y \leq z$
and
$\tilde y \leq z$
, so we must have
$y < z$
and
$\ell (w) = \hat \ell (y)+1 \leq \hat \ell (z)$
, and therefore
$w \in \mathcal {A}(z)$
.
Thus, the map in part (a) at least has the desired codomain and is clearly injective. To show that it is also surjective, suppose
$E \in \mathcal {ID}(z)$
for some
$z \in \Psi (y,j)$
. Lemma 4.17 implies some
$(l,k) \in E$
has
$E \setminus \{(l,k)\} \in \mathcal {ID}(y)$
. Let
$E' \in \mathcal {PD}(z)$
be the almost-symmetric reduced pipe dream with
. If
$(j,i) \neq (l,k)$
then, since
$\operatorname {dom}(y) = \operatorname {shdom}(y) \cup \operatorname {shdom}(y)^T \subset E'$
, it would follow by considering the wiring diagram of
$E'$
that
$z(j) = i = y(j)$
, contradicting the last assertion in Theorem 4.22. Thus
$(j,i) = (l,k)$
so the map in part (a) is surjective. Part (b) holds because an involution belongs to
$\mathcal {I}_n$
if any of its involution pipe dreams is contained in
$\{ (j,i) : i\leq j\text { and }i +j \leq n\}$
.▪
Example 4.24 If
$y = 35142 \in \mathcal {I}_5$
then

so the transpose of
$\operatorname {shdom}(y)$
is the shifted Ferrers diagram of the partition
$\lambda = (2,1)$
, and
$(3,1)$
is an outer corner. One can show that
$\Psi (y,3) = \{53241,45312\}$
. As predicted by Theorem 4.23 with
$(j,i) = (3,1)$
, both elements of
$\Psi (y,3)$
are dominant with

We may finally prove the pipe dream formula in Theorem 1.5 for the polynomials
$\hat {\mathfrak {S}}_y$
.
Theorem 4.25 If
$z \in \mathcal {I}_n$
then
$\hat {\mathfrak {S}}_z = \sum _{D \in \mathcal {ID}(z)} \prod _{(i,j) \in D} 2^{-\delta _{ij}}(x_i+x_j)$
.
Proof We abbreviate by setting
$x_{(i,j)} = 2^{-\delta _{ij}}(x_i+x_j)$
, so that
$x_{(i,j)} = x_i$
if
$i=j$
and otherwise
$x_{(i,j)} = x_i+x_j$
. It follows from [Reference Hamaker, Marberg and Pawlowski14, Theorem 3.30] that if
is an outer corner of
$z \in \mathcal {I}_n$
then

On the other hand, results of Wyser and Yong [Reference Wyser and Yong45] (see [Reference Hamaker, Marberg and Pawlowski13, Theorem 1.3]) show that

Let
$\mathfrak {A}_z = \sum _{D \in \mathcal {ID}(z)} \prod _{(i,j) \in D} x_{(i,j)}$
. We show that
$\hat {\mathfrak {S}}_z = \mathfrak {A}_z$
by downward induction on
$\hat \ell (z)$
. If
$\hat \ell (z) = \max \{\hat \ell (y): y \in \mathcal {I}_n\}$
then
$z=n\cdots 321$
and the desired identity is equivalent to (4.3) since
$n\cdots 321$
is dominant. Otherwise, the transpose of
$\operatorname {shdom}(z)$
is a proper subset of
$\operatorname {shdom}(n\cdots 321)^T=\mathsf {SD}_{(n-1,n-3,n-5,\dots )}$
by Corollary 4.18, so z must have an outer corner
$(j,i)$
with
$i\leq j$
and
$i+j \leq n$
. In this case, we have

by (4.2), induction, and Theorem 4.23. Dividing by
$x_{(i,j)}$
completes the proof.▪
Example 4.26 Continuing Example 4.24, we have

and

so

4.3 Fixed-point-free involution pipe dream formulas
In this section, we assume n is even. Recall that
.
Definition 4.27 The strictly shifted dominant component of
$z \in \mathcal {I}^{\mathsf {{FPF}}}_n$
is the set
which is also equal to
for all
$D \in \mathcal {PD}(z)$
by Proposition 4.11.
Corollary 4.28 If
$z \in \mathcal {I}^{\mathsf {{FPF}}}_n$
then
$\operatorname {shdom}^{\neq }(z)$
is the maximal lower set of the poset
contained in some (equivalently, every)
$D \in \mathcal {FD}(z)$
.
Proof This is clear from Proposition 4.11.▪
For subsets
$D \subseteq \mathbb {Z}\times \mathbb {Z}$
, define
$D^\uparrow = \{ (i-1,j): (i,j) \in D\}$
and
$D^{\uparrow T} = (D^{\uparrow })^T.$
For example, if we have
$z =465132 \in \mathcal {I}^{\mathsf {{FPF}}}_6$
then the Rothe diagram is

with each one indicating a position
$(i,j) \in [n]\times [n]$
with
$z(i) =j$
and each
$+$
indicating a position in
$ D(z)$
. The relevant dominant components are

As we see in this example, if
$z \in \mathcal {I}^{\mathsf {{FPF}}}_n$
is any fixed-point-free involution, then
$(\operatorname {shdom}^{\neq }(z))^{\uparrow T} $
is the shifted Ferrers diagram of some strict partition. Moreover, a pair
is an outer corner of z if and only if
$(\operatorname {shdom}^{\neq }(D) \sqcup \{(j,i)\})^{\uparrow T} $
is again a shifted Ferrers diagram, in which case
$z(j) = i$
by Lemma 4.2. The unique outer corner of
$z = 465132$
in
is
$(4,1)$
.
Definition 4.29 An element
$z \in \mathcal {I}^{\mathsf {{FPF}}}_n$
is fpf-dominant if
$\operatorname {shdom}^{\neq }(z) \in \mathcal {FD}(z)$
.
This condition does not imply that z is dominant in the sense of being
$132$
-avoiding. For example,
$z=s_1s_3\cdots s_{n-1} = 2143\cdots n(n-1) \in \mathcal {I}^{\mathsf {{FPF}}}_n$
is always fpf-dominant as
$\operatorname {shdom}^{\neq }(z) = \varnothing $
.
Lemma 4.30 If
$z \in \mathcal {I}^{\mathsf {{FPF}}}_n$
is fpf-dominant then
$\mathcal {FD}(z) = \{ \operatorname {shdom}^{\neq }(z)\}.$
Proof This holds since
$\operatorname {shdom}^{\neq }(z) \subseteq D$
for all
$D \in \mathcal {FD}(z)$
by Proposition 4.11.▪
Proposition 4.31 If
$\lambda $
is a strict partition with
$\lambda \subseteq (n-2,n-4,\dots ,4,2)$
then there exists a unique fpf-dominant
$z \in \mathcal {I}^{\mathsf {{FPF}}}_n$
with
$(\operatorname {shdom}^{\neq }(z))^{\uparrow T} := \{ (j, i-1) : (i,j) \in \operatorname {shdom}^{\neq }(z)\} = \mathsf {SD}_\lambda $
.
Proof Uniqueness is clear from Lemma 4.30. If
$\lambda \subseteq (n-2,n-4,\dots ,2)$
is empty then take
$z=1^{\mathsf {{FPF}}}_n$
. Otherwise, let
$\mu \subset \lambda $
be a strict partition such that
$ \mathsf {SD}_\lambda = \mathsf {SD}_\mu \sqcup \{(i,j-1)\}$
where
$i< j$
. By induction, there exists an fpf-dominant
$y \in \mathcal {I}^{\mathsf {{FPF}}}_n$
with
$(\operatorname {shdom}^{\neq }(y))^{\uparrow T} = \mathsf {SD}_\mu $
. Let
$D \in \mathcal {PD}(y)$
be symmetric with
. Lemmas 3.11 and 4.2 imply that
$ D \sqcup \{(j,i),(i,j)\}$
is a symmetric reduced pipe dream for some
$z \in \mathcal {I}^{\mathsf {{FPF}}}_n$
, which is the desired element.▪
If
$y,z \in \mathcal {I}^{\mathsf {{FPF}}}_n$
, then
$y \leq z$
in Bruhat order if and only if some (equivalently, every) fpf-involution word for z contains a subword that is an fpf-involution word for y [Reference Hamaker, Marberg and Pawlowski14, Theorem 4.6]. From this and Theorem 3.12 we deduce the following:
Lemma 4.32 Suppose
$y,z \in \mathcal {I}^{\mathsf {{FPF}}}_n$
. Then
$y \leq z$
if and only if some (equivalently, every) fpf-involution pipe dream for z has a subset that is an fpf-involution pipe dream for y.
Corollary 4.33 Let
$y,z \in \mathcal {I}^{\mathsf {{FPF}}}_n$
where y is fpf-dominant. Then
$y\leq z$
if and only if
$\operatorname {shdom}^{\neq }(y) \subseteq D$
for some (equivalently, every)
$D \in \mathcal {FD}(z)$
.
Proof This is clear since if
$y \in \mathcal {I}^{\mathsf {{FPF}}}_n$
is fpf-dominant then
$|\mathcal {FD}(y)|=1$
.▪
For
$y \in \mathcal {I}^{\mathsf {{FPF}}}_n$
and
$j \in [n]$
, define
$ \Psi ^{\mathsf {{FPF}}}(y,j)$
to be the set of fixed-point-free involutions
$z \in \mathcal {I}^{\mathsf {{FPF}}}_{n+2}$
with length
$\ell (z) = \ell (y)+2$
that can be written as
$z = t_{js}\cdot ys_{n+1} \cdot t_{js}$
for an integer s with
$j < s \leq n+2$
. We have an analogue of Theorem 4.23:
Theorem 4.34 Let
$(j,i)$
be an outer corner of
$y \in \mathcal {I}^{\mathsf {{FPF}}}_n$
with
$i< j$
.
-
(a) The map
$D \mapsto D \sqcup \{(j,i)\}$ is a bijection
$ \mathcal {FD}(y) \to \bigsqcup _{z \in \Psi ^{\mathsf {{FPF}}}(y,j)} \mathcal {FD}(z). $
-
(b) If
$i+j \leq n$ then
$ \Psi ^{\mathsf {{FPF}}}(y,j)\subset \left \{ z s_{n+1} : z \in \mathcal {I}^{\mathsf {{FPF}}}_{n}\right \}$ .
Proof Our argument is similar to the proof of Theorem 4.23. Choose
$D \in \mathcal {FD}(y) = \mathcal {FD}(ys_{n+1})$
. Suppose
$D' \in \mathcal {PD}(ys_{n+1})$
is the symmetric reduced pipe dream with
and set
$E = D\sqcup \{(j,i)\}$
and
$E' = D' \sqcup \{(i,j),(j,i)\}$
. It follows from Lemmas 3.11 and 4.2 that
$E'$
is a reduced pipe dream for some element
$z \in \mathcal {I}^{\mathsf {{FPF}}}_{n+2}$
. Since
$E'$
is symmetric, one has
. Finally, by considering the pipes crossing at position
$(j,i)$
in E we deduce that
$z \in \Psi ^{\mathsf {{FPF}}}(y,j)$
.
Thus
$D \mapsto D \sqcup \{(j,i)\}$
is a well-defined map
$\mathcal {FD}(y) \to \bigsqcup _{z\in \Psi ^{\mathsf {{FPF}}}(y,j)} \mathcal {FD}(z)$
. This map is clearly injective. To show that it is also surjective, suppose
$E \in \mathcal {FD}(z)$
for some
$z \in \Psi ^{\mathsf {{FPF}}}(y,j)$
. Lemma 4.32 implies that there exists a position
$(l,k) \in E$
such that
$E \setminus \{(l,k)\} \in \mathcal {FD}(y)$
. If
$(j,i) \neq (l,k)$
then it would follow as in the proof Theorem 4.23 that
$z(j) = y(j)=ys_{n+1}(j)=i$
, which is impossible if
$z = t_{js}\cdot ys_{n+1}\cdot t_{js}$
where
$i =y(j) < j < s \leq n + 2$
. Thus
$(j,i) = (l,k)$
so the map in part (a) is also surjective. Part (b) holds because
$\left \{ zs_{n+1} : z \in \mathcal {I}^{\mathsf {{FPF}}}_{n}\right \}$
contains all involutions in
$\mathcal {I}^{\mathsf {{FPF}}}_{n+2}$
with fpf-involution pipe dreams that are subsets of
$\{ (j,i) : i\leq j, i +j \leq n\}$
.▪
Example 4.35 If
$y = 351624 \in \mathcal {I}^{\mathsf {{FPF}}}_6$
then

so
$\operatorname {shdom}(y)=\{(2,1)\}$
, and
$(3,1)$
is an outer corner. In this case,
$ \Psi ^{\mathsf {{FPF}}}(y,3) = \{532614,456123\}$
. As predicted by the theorem with
$(j,i) = (3,1)$
, both elements of
$ \Psi ^{\mathsf {{FPF}}}(y,3)$
are fpf-dominant since

We may now prove the second half of Theorem 1.5, concerning
$\hat {\mathfrak {S}}^{\mathsf {{FPF}}}_z$
.
Theorem 4.36 If
$z \in \mathcal {I}^{\mathsf {{FPF}}}_n$
then
$\hat {\mathfrak {S}}^{\mathsf {{FPF}}}_z = \sum _{D \in \mathcal {FD}(z)} \prod _{(i,j) \in D} (x_i + x_j)$
.
Proof [Reference Hamaker, Marberg and Pawlowski14, Theorem 4.17] implies that if
is an outer corner of
$z \in \mathcal {I}^{\mathsf {{FPF}}}_n$
then

Moreover, as n is even, [Reference Hamaker, Marberg and Pawlowski13, Theorem 1.3] implies that we have

Let
$\mathfrak {B}_z = \sum _{D \in \mathcal {FD}(z)} \prod _{(i,j) \in D} (x_i+x_j)$
. If
$\ell (z) = \max \left \{\ell (y): y \in \mathcal {I}^{\mathsf {{FPF}}}_n\right \}$
then
$z=n\cdots 321$
and the identity
$\hat {\mathfrak {S}}^{\mathsf {{FPF}}}_z = \mathfrak {B}_z$
is equivalent to (4.5). Otherwise, the transpose of
$\operatorname {shdom}^{\neq }(z)$
shifted up one row is a proper subset of
$\operatorname {shdom}^{\neq }(n\cdots 321)^{\uparrow T}=\mathsf {SD}_{(n-2,n-4,\dots ,4,2)}$
by Corollary 4.33, so z has an outer corner
with
$i+j \leq n$
. In this case,
$(x_i+x_j) \hat {\mathfrak {S}}^{\mathsf {{FPF}}}_z = \sum _{u \in \Psi ^{\mathsf {{FPF}}}(z,j)} \hat {\mathfrak {S}}^{\mathsf {{FPF}}}_u= \sum _{u \in \Psi ^{\mathsf {{FPF}}}(z,j)} \mathfrak {B}_u = (x_i+x_j) \mathfrak {B}_z$
by (4.4), induction, and Theorem 4.34. Dividing by
$x_i+x_j$
completes the proof.▪
Example 4.37 Continuing Example 4.35, we have

and

so

5 Generating pipe dreams
Bergeron and Billey [Reference Bergeron and Billey1] proved that the set
$\mathcal {PD}(w)$
is generated by applying simple transformations to a unique “bottom” pipe dream. Here, we derive versions of this result for the sets of involution pipe dreams
$\mathcal {ID}(y)$
and
$\mathcal {FD}(z)$
. This leads to algorithms for computing the sets
$\mathcal {ID}(y)$
and
$\mathcal {FD}(z)$
that are much more efficient than the naive methods suggested by our original definitions.
5.1 Ladder moves
Let D and E be subsets of
$\mathbb {Z}_{>0}\times \mathbb {Z}_{>0}$
, depicted as positions marked by “
$+$
” in a matrix. If E is obtained from D by replacing a subset of the form

then we say that E is obtained from D by a ladder move and write
$D \lessdot _{\mathcal {PD}} E$
. More formally:
Definition 5.1 We write
$D \lessdot _{\mathcal {PD}} E$
if for some integers
$i< j$
and k the following holds:
-
• One has
$\{i+1,i+2,\dots ,j-1\}\times \{k,k+1\} \subset D$ .
-
• It holds that
$(j,k) \in D$ but
$(i,k),(i,k+1),(j,k+1)\notin D$ .
-
• One has
$E = D\setminus \{(j,k)\} \cup \{(i,k+1)\}$ .
One can have
$i+1=j$
in this definition, in which case the first condition holds vacuously. Let
$<_{\mathcal {PD}}$
be the transitive closure of
$\lessdot _{\mathcal {PD}}$
. This relation is a strict partial order. Let
$\sim _{\mathcal {PD}}$
denote the symmetric closure of the partial order
$\leq _{\mathcal {PD}}$
.
Recall the definition of the bottom pipe dream
$D_{\text {bot}}(w)$
from (4.1).
Theorem 5.2 ([Reference Bergeron and Billey1, Theorem 3.7])
Let
$w \in S_n$
. Then

Thus
$\mathcal {PD}(w)$
is an upper and lower set of
$\leq _{\mathcal {PD}}$
, with unique minimum
$D_{\text {bot}}(w)$
.
Define
$\leq ^{\mathsf {chute}}_{\mathcal {PD}}$
to be the partial order with
$D \leq ^{\mathsf {chute}}_{\mathcal {PD}} E$
if and only if
$E^T \leq _{\mathcal {PD}} D^T$
, and let
$D_{\text {top}}(w) = D_{\text {bot}}(w^{-1})^T$
for
$w \in S_n$
. Then
$\mathcal {PD}(w)= \left \{ E : E \leq ^{\mathsf {chute}}_{\mathcal {PD}} D_{\text {top}}(w) \right \} $
by Corollary 3.8 and Theorem 5.2. Bergeron and Billey [Reference Bergeron and Billey1] refer to the covering relation in
$\leq ^{\mathsf {chute}}_{\mathcal {PD}}$
as a chute move. In the next sections, we will see that there are natural versions of
$\leq _{\mathcal {PD}}$
and
$D_{\text {bot}}(w)$
for (fpf-)involution pipe dreams. There do not seem to be good involution analogues of
$\leq ^{\mathsf {chute}}_{\mathcal {PD}}$
or
$D_{\text {top}}(w)$
, however.
5.2 Involution ladder moves
To prove an analogue of Theorem 5.2 for involution pipe dreams, we need to introduce another partial order
$<_{\mathcal {ID}}$
on subsets of
$\mathbb {Z}_{>0}\times \mathbb {Z}_{>0}$
. Again let D and E be subsets of
$\mathbb {Z}_{>0}\times \mathbb {Z}_{>0}$
. Informally, we define
$<_{\mathcal {ID}}$
to be the transitive closure of
$\lessdot _{\mathcal {PD}}$
and the relation that has
$D \lessdot _{\mathcal {ID}} E$
whenever E is obtained from D by replacing a subset of the form

where the upper parts of the antidiagonals with
$\nearrow $
must be empty. For example,

but

since the relevant antidiagonals in (5.1) are not empty. The precise definition of
$\lessdot _{\mathcal {ID}} $
is:
Definition 5.3 We write
$ D \lessdot _{\mathcal {ID}} E$
if for some integers
$i< j$
and k the following holds:
-
• One has
$\{i+1,i+2,\dots ,j-1\}\times \{k,k+1\} \subset D$ .
-
• It holds that
$(i,k),(j,k) \in D$ but
$(i,k+1),(i,k+2),(j,k+1)\notin D$ .
-
• One has
$E = D\setminus \{(j,k)\} \cup \{(i,k+1)\}$ .
-
• The set D contains no positions strictly northeast of and in the same antidiagonal as
$(i,k-1)$ ,
$(i,k)$ ,
$(i,k+1)$ , or
$(i,k+2)$ .
One may again have
$i+1=j$
, in which case the first condition holds vacuously. We define
$<_{\mathcal {ID}}$
to be the transitive closure of
$\lessdot _{\mathcal {PD}}$
and
$\lessdot _{\mathcal {ID}}$
, and write
$\sim _{\mathcal {ID}}$
for the symmetric closure of
$\leq _{\mathcal {ID}}$
.
Our goal is to show that
$<_{\mathcal {ID}}$
defines a partial order on
$\mathcal {ID}(z)$
; for an example of this poset, see Figure 1. To proceed, we must recall a few nontrivial properties of the set
$\mathcal {A}(z)$
from Section 2.1.

Figure 1: Hasse diagram of
$(\mathcal {ID}(z), <_{\mathcal {ID}})$
for
$z=(3,6)(4,5) \in \mathcal {I}_6$
. The dashed red arrows indicate the covering relations of the form
$D \lessdot _{\mathcal {ID}} E$
.
Lemma 5.4 ([Reference Hamaker, Marberg and Pawlowski12, Lemma 6.3])
Let
$z \in \mathcal {I}_n$
and
$w \in \mathcal {A}(z)$
. Then no subword
$w(a)w(b)w(c)$
of
$w(1)w(2)\cdots w(n)$
for
$1\leq a< b< c\leq n$
has the form
$(i-1)i(i+1)$
for any integer
$1< i< n$
.
Fix
$z \in \mathcal {I}_n$
. The involution code of
$z $
is
$\hat c(z) = (\hat c_1(z),\hat c_2(z),\dots ,\hat c_n(z))$
with
$\hat c_i(z)$
the number of integers
$j>i$
with
$z(i)> z(j)$
and
$i\geq z(j)$
. Note that we always have
$\hat c_i(z) \leq i$
.
Suppose
$a_1< a_2< \dots < a_l$
are the integers
$a\in [n]$
with
$a \leq z(a)$
and set
$b_i = z(a_i)$
. Define
$\alpha _{\min }(z) \in S_n$
to be the permutation whose inverse is given in one-line notation by removing all repeated letters from
$b_1 a_1 b_2 a_2\cdots b_l a_l$
. For example, if
$z = 4231 \in \mathcal {I}_4$
then the latter word is
$412233$
and
$\alpha _{\min }(z) = (4123)^{-1} = 2341 \in S_4$
. Additionally,
$\hat c(z) = c(\alpha _{\min }(z))$
[Reference Hamaker, Marberg and Pawlowski13, Lemma 3.8].
Finally, let
$\prec _{\mathcal {A}}$
be the transitive closure of the relation on
$S_n$
that has
$v \prec _{\mathcal {A}} w$
whenever the inverses of
$v,w \in S_n$
have the same one-line representations outside of three consecutive positions where
$v^{-1} = \cdots cab\cdots $
and
$ w^{-1}=\cdots bca\cdots $
for some integers
$a< b< c$
. The relation
$\prec _{\mathcal {A}}$
is a strict partial order. Let
$\sim _{\mathcal {A}}$
denote the symmetric closure of the partial order
$\preceq _{\mathcal {A}}$
.
Theorem 5.5 ([Reference Hamaker, Marberg and Pawlowski12, Section 6.1])
Let
$z \in \mathcal {I}_n$
. Then

Thus
$\mathcal {A}(z)$
is an upper and lower set of
$\preceq _{\mathcal {A}}$
, with unique minimum
$\alpha _{\min }(z)$
.
For
$z \in \mathcal {I}_n$
let

so that
.
Lemma 5.6 Let
$z \in \mathcal {I}_n$
. Suppose D and E are subsets of
$\mathbb {Z}_{>0}\times \mathbb {Z}_{>0}$
with
$D <_{\mathcal {ID}} E $
. Then
$D \in \mathcal {ID}^+(z)$
if and only if
$E \in \mathcal {ID}^+(z)$
.
Proof If
$D \lessdot _{\mathcal {PD}} E$
then we have
$D \in \mathcal {ID}^+(z)$
if and only if
$E \in \mathcal {ID}^+(z)$
by Theorem 5.2. Assume
$D \lessdot _{\mathcal {ID}}E$
and let
$i< j$
and k be as in Definition 5.3.
Consider the reading order
$\omega $
that lists the positions
$(i,j)\in [n]\times [n]$
such that
$(-j,i)$
increases lexicographically, i.e., the order that goes down column n, then down column
$n-1$
, and so on. In view of Theorem 3.9, we may assume without loss of generality that columns
$1,2,\dots ,k-1$
of D and E are both empty, since omitting these positions has the effect of truncating the same final sequence of letters from
$\mathsf {word}(D,\omega )$
and
$\mathsf {word}(E,\omega )$
.
Suppose
$E \in \mathcal {PD}(w)\subseteq \mathcal {ID}^+(z)$
for some permutation
$w \in \mathcal {A}(z)$
. To show that
$D \in \mathcal {ID}^+(z)$
, it suffices by Theorem 5.5 to check that
$D \in \mathcal {PD}(v)$
for a permutation
$v \prec _{\mathcal {A}} w$
.
Consider the wiring diagram of E and let
$m,m+1$
and
$m+2$
be the top indices of the wires in the antidiagonals containing the cells
$ (i,k), (i,k+1)$
, and
$(i+1,k+1) $
, respectively. Since the northeast parts of these antidiagonals are empty, it follows that as one goes from northeast to southwest, wire m of E enters the top of the
$+$
in cell
$(i,k)$
, wire
$m+1$
enters the top of the
$+$
in cell
$(i,k+1)$
, and wire
$m+2$
enters the right of the
$+$
in cell
$(i,k+1)$
. Tracing these wires through the wiring diagram of E, we see that they exit column k on the left in relative order
$m+2,m,m+1$
. Since we assume columns
$1,2,\dots ,k-1$
are empty, the wires must arrive at the far left in the same relative order. This means that there are numbers
$a< b< c$
such that
$w^{-1}(m)w^{-1}(m+1)w^{-1}(m+2)=bca$
.
Moving the
$+$
in cell
$(i,k+1)$
of E to
$(j,k)$
gives D by assumption. This transformation only alters the trajectories of wires m,
$m+1$
, and
$m+2$
, and causes no pair of wires to cross more than once, so D is a reduced pipe dream for some
$v \in S_n$
. By examining the wiring diagram of D, we see that
$v^{-1}(m)v^{-1}(m+1)v^{-1}(m+2)=cab$
, so
$v \prec _{\mathcal {A}} w$
and
$D \in \mathcal {ID}^+(z)$
as needed. The same considerations show that if
$D \in \mathcal {PD}(v)$
for some
$v \in \mathcal {A}(z)$
then
$E \in \mathcal {PD}(w)$
for a permutation w with
$v \prec _{\mathcal {A}} w$
. In this case, it follows that
$w \in \mathcal {A}(z)$
by Theorem 5.5 so
$E \in \mathcal {ID}^+(z)$
.▪
We define the bottom involution pipe dream of
$z \in \mathcal {I}_n$
to be the set

Since
$\hat c(z) = c(\alpha _{\min }(z))$
, Theorem 3.9 implies that
$\hat D_{\text {bot}}(z) = D_{\text {bot}}(\alpha _{\min }(z))\in \mathcal {ID}(z).$
Theorem 5.7 Let
$z \in \mathcal {I}_n$
. Then

Thus
$\mathcal {ID}^+(z)$
is an upper and lower set of
$\leq _{\mathcal {ID}}$
, with unique minimum
$\hat D_{\text {bot}}(z)$
.
Proof Both sets are contained in
$\mathcal {ID}^+(z)$
by Lemma 5.6. Note that
$\mathcal {ID}^+(z)$
is finite since
$\mathcal {A}(z)$
is finite and each set
$\mathcal {PD}(w)$
is finite. Suppose
$ \hat D_{\text {bot}}(z) \neq E = D_{\text {bot}}(w)$
for some
$w \in \mathcal {A}(z)$
. In view of Theorem 5.2, we need only show that there exists a subset
$D\subset \mathbb {Z}_{>0}\times \mathbb {Z}_{>0}$
with
$D\lessdot _{\mathcal {ID}} E$
.
As we assume
$w \neq \alpha _{\min }(z)$
, it follows from Theorem 5.5 that there exists some
$p \in [n-2]$
with
$w^{-1}(p{+}2) < w^{-1}(p) < w^{-1}(p{+}1)$
. Set
$i = w^{-1}(p{+}2)$
, and choose p to minimize i. We claim that if
$h < i$
then
$w(h) < p$
. To show this, we argue by contradiction. Suppose there exists
$1\leq h < i$
with
$w(h) \geq p$
. Choose h with this property so that
$w(h)$
is as small as possible. Then
$w(h)> p+2 \geq 3$
, and by the minimality of
$w(h)$
, the values
$w(h){-}1$
and
$w(h){-}2$
appear after position h in the word
$w(1)w(2)\cdots w(n)$
. Therefore, by Lemma 5.4, the one-line representation of w must have the form
$\cdots w(h) \cdots w(h){-}2\cdots w(h){-}1\cdots $
. This contradicts the minimality of i, so no such h can exist.
Let
$j> i$
be minimal with
$w(j) < w(i)$
and define
$k = c_i(w) - 1$
. It is evident from the definition of i that such an index j exists and that k is positive. Now consider Definition 5.3 applied to these values of
$i< j$
and k. It follows from the claim in the previous paragraph if
$h< i$
then
$c_h(w) - c_i(w) \leq i-h -3$
. Therefore, we see that the required antidiagonals are empty. The minimality of j implies that
$c_m(w) \geq c_i(w)$
for all
$i < m < j$
, and since we must have
$j \leq w^{-1}(p)$
, it follows that
$c_j(w) < c_i(w) - 1$
. We conclude that replacing position
$(i,k+1)$
in E by
$(j,k)$
produces a subset D with
$D \lessdot _{\mathcal {ID}} E$
, as we needed to show.▪
Theorem 5.8 If
$z \in \mathcal {I}_n$
then

Proof This is clear from Theorem 5.7 since
is a lower set under
$\leq _{\mathcal {ID}}$
.▪
5.3 Fixed-point-free involution ladder moves
In this subsection, we assume n is a positive even integer. Our goal is to replicate the results in Section 5.2 for fixed-point-free involutions. To this end, we introduce a third partial order
$<_{\mathcal {FD}}$
. Again let D and E be subsets of
$\mathbb {Z}_{>0}\times \mathbb {Z}_{>0}$
. We define
$<_{\mathcal {FD}}$
as the transitive closure of
$\lessdot _{\mathcal {PD}}$
and the relation that has
$D \lessdot _{\mathcal {FD}} E$
whenever E is obtained from
$D $
by replacing a subset of the form

Here, all positions containing “
$\;\cdot\; $
” should be empty, including the five antidiagonals extending upwards beyond each
$\nearrow $
. For example,

but

since the relevant antidiagonals in (5.3) are not empty. The precise definition of
$\lessdot _{\mathcal {FD}}$
is:
Definition 5.9 We write
$ D \lessdot _{\mathcal {FD}} E$
if for some integers
$0< i< j$
and
$k\geq 2$
the following holds:
-
• One has
$\{i+1,i+2,\dots ,j-1\}\times \{k,k+1\} \subset D$ .
-
• It holds that
$(i,k),(j,k) \in D$ but
$(i,k-1),(i,k+1),(i,k+2),(j,k+1)\notin D$ .
-
• One has
$E = D\setminus \{(j,k)\} \cup \{(i,k-1)\}$ .
-
• The set D contains no positions strictly northeast of and in the same antidiagonal as
$(i,k-2)$ ,
$(i,k-1)$ ,
$(i,k)$ ,
$(i,k+1)$ , or
$(i,k+2)$ .
When
$i+1=j$
, the first condition holds vacuously; see the lower dashed arrow in Figure 2. Define
$<_{\mathcal {FD}}$
to be the transitive closure of
$\lessdot _{\mathcal {PD}}$
and
$\lessdot _{\mathcal {FD}}$
. Write
$\sim _{\mathcal {FD}}$
for the symmetric closure of
$\leq _{\mathcal {FD}}$
.

Figure 2: Hasse diagram of
$(\mathcal {FD}(z), <_{\mathcal {FD}})$
for
$z=(1,2)(3,7)(4,8)(5,6) \in \mathcal {I}^{\mathsf {{FPF}}}_6$
. The dashed red arrows indicate the covering relations of the form
$D \lessdot _{\mathcal {FD}} E$
.
We will soon show that
$<_{\mathcal {FD}}$
defines a partial order on
$\mathcal {FD}(z)$
, as one can see in the example in Figure 2. For this, we will need a lemma from [Reference Can, Joyce and Wyser5] concerning
$\mathcal {A}^{\mathsf {{FPF}}}(z)$
.
Lemma 5.10 ([Reference Can, Joyce and Wyser5, Corollary 2.16])
Let
$w \in S_{n}$
and
$z \in \mathcal {I}^{\mathsf {{FPF}}}_{n}$
. Then
$w \in \mathcal {A}^{\mathsf {{FPF}}}(z)$
if and only if for all
$a,b,c,d \in [n]$
with
$a< b=z(a)$
and
$c< d=z(c)$
, the following holds:
-
(1) One has
$w(a) = 2i-1$ and
$w(b) = 2i$ for some
$i \in [n/2]$ .
-
(2) If
$a< c$ and
$b < d$ , then
$w(b) < w(c)$ .
The involution code and partial order
$\prec _{\mathcal {A}}$
both have fixed-point-free versions. Fix
$z \in \mathcal {I}^{\mathsf {{FPF}}}_n$
. The fpf-involution code of z is the integer sequence

where
$\hat c^{\mathsf {{FPF}}}_i(z)$
is the number of integers
$j> i$
with
$z(i)> z(j)$
and
$i> z(j)$
. It always holds that
$\hat c^{\mathsf {{FPF}}}_i(z) < i$
. If
$a_1< a_2< \dots < a_{n/2}$
are the numbers
$a\in [n]$
with
$a< z(a)$
and
$b_i = z(a_i)$
, then let

For example, if
$z = 632541 \in \mathcal {I}^{\mathsf {{FPF}}}_6$
then we have
$\alpha ^{\mathsf {{FPF}}}_{\min }(z) = (162345)^{-1} = 134562 \in S_6$
. One can check that
$\hat c^{\mathsf {{FPF}}}(z) = c(\alpha ^{\mathsf {{FPF}}}_{\min }(z))$
[Reference Hamaker, Marberg and Pawlowski13, Lemma 3.8].
Define
$\prec _{\mathcal {A}^{\mathsf {{FPF}}}}$
to be the transitive closure of the relation in
$S_n$
that has
$v \prec _{\mathcal {A}^{\mathsf {{FPF}}}} w$
whenever the inverses of
$v,w \in S_n$
have the same one-line representations outside of four consecutive positions where
$v^{-1} = \cdots adbc \cdots $
and
$w^{-1} = \cdots bcad \cdots $
for some integers
$a< b< c< d$
. This is a strict partial order on
$S_n$
. Let
$\sim _{\mathcal {A}^{\mathsf {{FPF}}}}$
denote the symmetric closure of the partial order
$\preceq _{\mathcal {A}^{\mathsf {{FPF}}}}$
.
Theorem 5.11 ([Reference Hamaker, Marberg and Pawlowski12, Section 6.2])
Let
$z \in \mathcal {I}^{\mathsf {{FPF}}}_n$
. Then

Thus
$\mathcal {A}^{\mathsf {{FPF}}}(z)$
is an upper and lower set of
$\preceq _{\mathcal {A}^{\mathsf {{FPF}}}}$
, with unique minimum
$\alpha ^{\mathsf {{FPF}}}_{\min }(z)$
.
For
$z \in \mathcal {I}^{\mathsf {{FPF}}}_n$
, let
$\mathcal {FD}^+(z) = \bigsqcup _{w\in \mathcal {A}^{\mathsf {{FPF}}}(z)} \mathcal {PD}(w)$
, so
.
Lemma 5.12 Let
$z \in \mathcal {I}^{\mathsf {{FPF}}}_n$
. Suppose D and E are subsets of
$\mathbb {Z}_{>0}\times \mathbb {Z}_{>0}$
with
$D <_{\mathcal {FD}} E $
. Then
$D \in \mathcal {FD}^+(z)$
if and only if
$E \in \mathcal {FD}^+(z)$
.
Proof If
$D \lessdot _{\mathcal {PD}} E$
then the result follows by Theorem 5.2. Assume
$D \lessdot _{\mathcal {FD}}E$
and let
$i< j$
and k be as in Definition 5.9.
As in the proof of Theorem 5.6, consider the reading order
$\omega $
that lists the positions
$(i,j)\in [n]\times [n]$
such that
$(-j,i)$
increases lexicographically. In view of Theorem 3.12, we may assume without loss of generality that columns
$1,2,\dots ,k-2$
, as well as all positions below row i in column
$k-1$
, are empty in both of D and E. This follows since omitting these positions has the effect of truncating the same final sequence of letters from
$\mathsf {word}(D,\omega )$
and
$\mathsf {word}(E,\omega )$
.
Assume
$E \in \mathcal {PD}(v) \subseteq \mathcal {FD}^+(z)$
for some
$w \in \mathcal {A}^{\mathsf {{FPF}}}(z)$
. To show that
$D \in \mathcal {FD}^+(z)$
, we will check that
$D \in \mathcal {PD}(v)$
for some
$v\in S_n$
with
$v \prec _{\mathcal {A}^{\mathsf {{FPF}}}} w$
.
Consider the wiring diagram of E and let m,
$m+1$
,
$m+2$
, and
$m+3$
be the top indices of the wires in the antidiagonals containing the cells
$(i,k-1)$
,
$(i,k)$
,
$(i,k+1)$
, and
$(i,k+2)$
, respectively. Since the northeast parts of these antidiagonals are empty, it follows that as one goes from northeast to southwest, wire m of E enters the top of the
$+$
in cell
$(i,k-1)$
, wire
$m+1$
enters the top of the
$+$
is cell
$(i,k)$
, wire
$m+2$
enters the right of the
$+$
in cell
$(i,k)$
, and wire
$m+3$
enters the top of cell
$(i+1,k+1)$
, which contains a
$+$
if
$i+1< j$
. Tracing these wires through the wiring diagram of E, we see that they exit column
$k-1$
on the left in relative order
$m+2$
, m,
$m+1$
,
$m+3$
. Since we assume that D and E contain no positions in the rectangle weakly southwest of
$(i+1,k-1)$
, the wires must arrive at the far left in the same relative order. This means that
$w^{-1}(m)w^{-1}(m+1) w^{-1}(m+2) w^{-1}(m+3) = bcad$
for some numbers
$a< b< c< d$
.
Moving the
$+$
in cell
$(i,k-1)$
of E to
$(j,k)$
gives D by assumption. This transformation only alters the trajectories of wires m,
$m+1$
,
$m+2$
, and
$m+3$
and causes no pair of wires to cross more than once, so D is a reduced pipe dream for some
$v \in S_n$
. By examining the wiring diagram of D, it is easy to check that
$v^{-1}(m)v^{-1}(m+1) v^{-1}(m+2) v^{-1}(m+3) = adbc$
so
$v \prec _{\mathcal {A}^{\mathsf {{FPF}}}} w$
as needed.
If instead
$D \in \mathcal {PD}(v)\subset \mathcal {FD}^+(z)$
for some
$v \in \mathcal {A}^{\mathsf {{FPF}}}(z)$
, then a similar argument shows that
$E \in \mathcal {PD}(w)$
for some
$w \in S_n$
with
$v \prec _{\mathcal {A}^{\mathsf {{FPF}}}} w$
, which implies that
$E \in \mathcal {FD}^+(z)$
by Theorem 5.11.▪
We define the bottom fpf-involution pipe dream of
$z \in \mathcal {I}^{\mathsf {{FPF}}}_n$
to be the set

As
$\hat c^{\mathsf {{FPF}}}(z) = c(\alpha ^{\mathsf {{FPF}}}_{\min }(z))$
, Theorem 3.12 implies
$ \hat D_{\text {bot}}^{\mathsf {{FPF}}}(z) = D_{\text {bot}}(\alpha ^{\mathsf {{FPF}}}_{\min }(z)) \in \mathcal {FD}(z). $
Theorem 5.13 Let
$z \in \mathcal {I}^{\mathsf {{FPF}}}_n$
. Then

Thus
$\mathcal {FD}^+(z)$
is an upper and lower set of
$\leq _{\mathcal {FD}}$
, with unique minimum
$\hat D_{\text {bot}}^{\mathsf {{FPF}}}(z)$
.
Proof Both sets are contained in
$\mathcal {FD}^+(z)$
by Lemma 5.12, and the set
$\mathcal {FD}^+(z)$
is clearly finite. Suppose
$ \hat D_{\text {bot}}^{\mathsf {{FPF}}}(z) \neq E = D_{\text {bot}}(w)$
for some
$w \in \mathcal {A}^{\mathsf {{FPF}}}(z)$
. As in the proof of Theorem 5.7, it suffices to show that there exists a subset
$D\subset \mathbb {Z}_{>0}\times \mathbb {Z}_{>0}$
with
$D\lessdot _{\mathcal {FD}} E$
.
Since
$w \neq \alpha ^{\mathsf {{FPF}}}_{\min }(z)$
, Lemma 5.10 and Theorem 5.11 imply that there exists an odd integer
$p \in [n - 3]$
such that
$ w^{-1}(p)w^{-1}(p+1)w^{-1}(p+2)w^{-1}(p+3) = bcad$
for some numbers
$a< b< c< d$
. Choose p such that a is as small as possible. We claim that
$a< w^{-1}(q)$
for all q with
$p+3 < q \leq n$
. To show this, let
$a_0=a$
and
$b_0 =d$
and suppose
$a_i $
and
$b_i$
are the integers such that

Part (1) of Lemma 5.10 implies that
$a_i < b_i =z(a_i)$
for all i, so it suffices to show that
$a_0< a_i$
for
$i \in [k]$
. This holds since if
$i \in [k]$
were minimal with
$a_i < a_0$
, then it would follow from part (2) of Lemma 5.10 that
$a_i < a_{i-1} < b_{i-1}< b_i$
, contradicting the minimality of a.
Now, to match Definition 5.9, let
$i = a=w^{-1}(p+2)$
, define
$j> i$
to be minimal with
$w(j) < w(i)$
, and set
$k = c_i(w)$
. It is clear from the definition of i that such an index j exists and that
$k\geq 2$
. The claim in the previous paragraph shows that if
$1\leq h < i$
then h must appear before position p in the one-line representation of
$w^{-1}$
, which means that
$w(h)< p$
and therefore
$c_h(w) - c_i(w) \leq i-h- 4$
. The antidiagonals described in Definition 5.9 are thus empty as needed. Since
$j \leq b= w^{-1}(p)$
, it follows that
$c_j(w) < c_i(w)$
; moreover, if
$i < m < j$
then
$w(m)> w(d) = p+3$
so
$c_m(w) \geq c_i(w) + 1$
. Collecting these observations, we conclude that replacing
$(i,k-1)$
in E with
$(j,k)$
gives a subset D with
$D \lessdot _{\mathcal {ID}} E$
, as we needed to show.▪
Theorem 5.14 If
$z \in \mathcal {I}^{\mathsf {{FPF}}}_n$
then

Proof This is clear from Theorem 5.13 since
is a lower set under
$\leq _{\mathcal {FD}}$
.▪
6 Future directions
In this final section, we discuss some related identities and open problems.
6.1 Enumerating involution pipe dreams
Choose
$w \in S_n$
and let
$p =\ell (w)$
. Macdonald [Reference Macdonald29, (6.11)] proved that the following specialization of a Schubert polynomial gives an exact formula for the number of reduced pipe dreams for w:

Recall that
$\kappa (y)$
is the number of two-cycles in
$y \in \mathcal {I}_n$
. For
$D \in \mathcal {ID}(y)$
, define

where
$d_D $
is the number of diagonal positions in D. For
$\mathcal {X} \subseteq \mathcal {ID}(y)$
, define

Corollary 6.1 Suppose
$y \in \mathcal {I}_n$
,
$z \in \mathcal {I}^{\mathsf {{FPF}}}_{2n}$
, and
$p = \hat \ell (y) =\hat \ell ^{\mathsf {{FPF}}}(z)$
.
-
(a)
$\displaystyle \|\mathcal {ID}(y)\| = 2^{\kappa (y)} \hat {\mathfrak {S}}_y(\tfrac {1}{2},\tfrac {1}{2},\dots ,\tfrac {1}{2}) = \frac {1}{2^pp!}\sum _{(a_1,a_2,\dots ,a_{p}) \in \hat {\mathcal {R}}(y)} 2^{\kappa (y)}a_1 a_2\cdots a_{p}$ .
-
(b)
$\displaystyle |\mathcal {FD}(z)| = \hat {\mathfrak {S}}^{\mathsf {{FPF}}}_z(\tfrac {1}{2},\tfrac {1}{2},\dots ,\tfrac {1}{2}) = \frac {1}{2^pp!}\sum _{(a_1,a_2,\dots ,a_{p}) \in \hat {\mathcal {R}}^{\mathsf {{FPF}}}(z)} a_1 a_2\cdots a_{p}$ .
Proof In both parts, the first equality is immediate from Theorem 1.5 and the second equality is a consequence of (6.1), via Definitions 2.3 and 2.6.▪
Billey et al. gave the first bijective proof of (6.1) (and of a more general q-analogue) in the recent paper [Reference Billey, Holroyd and Young2]. This follow-up problem is natural:
Problem 6.2 Find bijective proofs of the identities in Corollary 6.1.
For some permutations, better formulas than 6.1 are available. A reverse plane partition of shape
$D \subset \mathbb {Z}_{>0}\times \mathbb {Z}_{>0}$
is a map
$T: D \to \mathbb {Z}_{\geq 0}$
such that
$ T(i,j) \leq T(i+1,j)$
and
$T(i,j) \leq T(i,j+1)$
for all relevant
$(i,j) \in D$
. If
$\lambda $
is a partition, then let
$\mathsf {RPP}_\lambda (k)$
be the set of reverse plane partitions of Ferrers shape
$\mathsf {D}_\lambda = \{ (i,j) \in \mathbb {Z}_{>0}\times \mathbb {Z}_{>0} : j \leq \lambda _i\}$
with entries in
$\{0,1,\dots ,k\}$
.
Given
$w \in S_n$
write
$1^k \times w$
for the permutation in
$S_{n+k}$
that fixes
$1,2,\dots ,k$
while mapping
$i+k \mapsto w(i) + k$
for
$i \in [n]$
. Fomin and Kirillov [Reference Fomin and Kirillov8, Theorem 2.1] showed that if
$w \in S_n$
is dominant then
$ |\mathcal {PD}(1^k \times w)| = |\mathsf {RPP}_{\lambda }(k)| $
for the partition
$\lambda $
with
$\operatorname {dom}(w) = \mathsf {D}_\lambda $
. In particular:

Serrano and Stump gave a bijective proof of this identity in [Reference Serrano and Stump42]. There are similar formulas counting (weighted) involution pipe dreams. For example:
Proposition 6.3 Let
$g_n = n{+1} \dots 2n\ 1 \dots n \in \mathcal {I}_{2n}$
. Then

Proof It follows from Theorem 5.5 that
$\mathcal {A}(g_n) = \{w_n \}$
for
$w_n = 246 \cdots (2n) 135 \cdots (2n-1) \in S_{2n}$
, and that
$\mathcal {A}(1^k\times g_n) = \{1^k \times w_n\}$
. Moreover, we have
$\hat D_{\text {bot}}(1^k\times g_n) = \{ (j+k,i) : 1 \leq i \leq j \leq n\}$
. From these facts, we see that
$\mathcal {ID}(1^k \times g_n)$
is connected by ordinary ladder moves that are simple in that they replace a single cell
$(i,j)$
by
$(i-1,j+1)$
.
Now consider all ways of filling the cells
$(i,j)\in \hat D_{\text {bot}}(1^k\times g_n)$
by numbers
$a \in \{0,1,\dots ,\lfloor k/2\rfloor \}$
such that rows are weakly increasing and columns are weakly decreasing. The set of such fillings is obviously in bijection with
$\mathsf {RPP}_{(n,\dots ,3,2,1)}(\lfloor k/2 \rfloor )$
. On the other hand, we can transform such a filling into a subset of
by replacing each cell
$(i,j)$
filled with a by
$(i-a,j+a)$
. It is easy to see that this operation is a bijection from our set of fillings to
$\mathcal {ID}(1^k\times g_n)$
.▪
Computations indicate that if
$k,n \in \mathbb {Z}_{\geq 0}$
and
$\{p,q\}= \{\lfloor n/2 \rfloor , \lceil n/2 \rceil \}$
then

and

The right-hand side of (6.3) is the number of reverse plane partitions with entries at most k of shifted shape
$\mathsf {SD}_\lambda = \{ (i,i+j-1) : (i,j) \in \mathsf {D}_\lambda \}$
for
$\lambda = (p+q-1,p+q-3, p+q-5,\dots )$
[Reference Proctor38]. Similar formulas should hold for
$\|\mathcal {ID}(1^k \times y)\|$
and
$|\mathcal {FD}(1^{\mathsf {{FPF}}}_{2k} \times z)|$
when
$y \in \mathcal {I}_n$
and
$z \in \mathcal {I}^{\mathsf {{FPF}}}_{2n}$
are any (fpf-)dominant involutions. We expect that one can prove such identities algebraically using the Pfaffian formulas for
$\hat {\mathfrak {S}}_y$
and
$\hat {\mathfrak {S}}^{\mathsf {{FPF}}}_z$
in [Reference Pawlowski37, Section 5]. A more interesting open problem is the following:
6.2 Ideals of matrix Schubert varieties
Another open problem is to find a geometric explanation for the formulas in Theorem 1.5. Such an explanation exists in the double Schubert case, as we briefly explain.
Recall that
$A_{[i][j]}$
denotes the upper-left
$i\times j$
submatrix of a matrix A. Let
$\mathcal {Z}$
be the matrix of indeterminates
$(z_{ij})_{i,j \in [n]}$
. For
$w \in S_n$
, let
$I_w \subseteq \mathbb {C}[z_{ij} : i,j \in [n]] = \mathbb {C}[\mathsf {Mat}_n]$
be the ideal generated by all
$(\operatorname {\mathrm {rank}} w_{[i][j]}+1) \times (\operatorname {\mathrm {rank}} w_{[i][j]}+1)$
minors of
$\mathcal {Z}_{[i][j]}$
for
$i,j \in [n]$
. The vanishing locus of
$I_w$
in the space
$\mathsf {Mat}_n$
of
$n\times n$
complex matrices is exactly the matrix Schubert variety
$MX_w$
.
Let
$\operatorname {\mathrm {\mathsf {init}}}(I_w)$
be the initial ideal of leading terms in
$I_w$
with respect to any term order on
$\mathbb {C}[z_{ij}]$
with the property that the leading term of
$\det (A)$
for any submatrix A of
$\mathcal {Z}$
is the product of the antidiagonal entries of A. For instance, lexicographic order with the variable ordering
$z_{1n} < \cdots < z_{11} < z_{2n} < \cdots < z_{21} < \cdots $
has this property.
Theorem 6.5 ([Reference Knutson and Miller23])
For each permutation
$w \in S_n$
, the ideal
$I_w$
is prime, and there is a prime decomposition
$ \operatorname {\mathrm {\mathsf {init}}}(I_w) = \bigcap _{D \in \mathcal {PD}(w)} (z_{ij} : (i,j) \in D) $
.
Given the description of the class
$[MX_w]$
in Section 2.2, this result implies the pipe dream formula (1.2) for
$[MX_w] = \mathfrak {S}_w(x,y)$
.
Now let
$\hat {\mathcal {Z}}$
be the symmetric matrix of indeterminates
$[z_{\max (i,j), \min (i,j)}]_{i,j \in [n]}$
. Define
$\hat I_y \subseteq \mathbb {C}[z_{ij} : 1 \leq j < i \leq n] = \mathbb {C}[\mathsf {SMat}_n]$
for
$y \in \mathcal {I}_n$
to be the ideal generated by all
$(1+\operatorname {\mathrm {rank}} y_{[i][j]}) \times (1+\operatorname {\mathrm {rank}} y_{[i][j]})$
minors of
$\hat {\mathcal {Z}}_{[i][j]}$
for
$i,j \in [n]$
. The vanishing locus of
$\hat I_y$
is
$M\hat X_y$
.
Conjecture 6.6 For
$y \in \mathcal {I}_n$
, the ideal
$\hat I_y$
is prime, and there is a primary decomposition of
$\operatorname {\mathrm {\mathsf {init}}}(\hat I_y)$
whose top-dimensional components are
$\left (z_{ij}^{m_{ij,D}} : (i,j) \in D\right )$
for
$D \in \mathcal {ID}(y)$
, where
$m_{ij,D}=2$
if the pipes crossing at
$(i,j)$
are labeled p and
$z(p)$
for some
$p\in [n]$
, and otherwise
$m_{ij,D}=1$
.
As per Section 2.2, the conjecture would give a direct geometric proof of Theorem 1.5.
Example 6.7 Let
$y = (3,4) \in \mathcal {I}_4$
. Then
$A \in M\hat X_y$
if and only if
$\operatorname {\mathrm {rank}} A_{[i][j]} \leq m_{ij}$
for

These rank conditions all follow from
$\operatorname {\mathrm {rank}} A_{[3][3]} \leq 2$
, so
$\hat I_y$
is generated by
$\det \hat {\mathcal {Z}}_{[3][3]}$
. The ideals in the primary decomposition
$\operatorname {\mathrm {\mathsf {init}}}(\hat I_y) = (z_{31}^2 z_{22}) = (z_{31}^2) \cap (z_{22})$
correspond to the two involution pipe dreams in the set
$ \mathcal {ID}(y) = \{ \{ (3,1)\}, \{(2,2)\}\} $
for
$y=(3,4)$
.
Example 6.8 Let
$y = 14523 = (2,4)(3,5) \in \mathcal {I}_5$
. One computes that

There is a single involution pipe dream for y given by
$\{(2,1),(3,1),(3,2)\}.$
This pipe dream corresponds to the codimension
$3$
component
$(z_{21}^2, z_{31}, z_{32}^2)$
of
$\operatorname {\mathrm {\mathsf {init}}}(\hat I_y)$
, while the codimension
$4$
component
$(z_{21}, z_{22}, z_{31}^2, z_{32})$
does not correspond to a pipe dream of y.
For
$z \in \mathcal {I}^{\mathsf {{FPF}}}_n$
, the ideal generated by the
$(\operatorname {\mathrm {rank}} z_{[i][j]}+1) \times (\operatorname {\mathrm {rank}} z_{[i][j]}+1)$
of a skew-symmetric matrix of indeterminates need not be prime, and we do not have an analogue of Conjecture 6.6.
6.3 Pipe dream formulas for K-theory
A third source of open problems concerns pipe dreams for K-theory. A subset
$D\subseteq [n]\times [n]$
is a K-theoretic pipe dream for
$w \in S_n$
if
$\mathsf {word}(D) = (a_1,a_2,\dots ,a_p)$
satisfies
$ s_{a_1} \circ s_{a_2} \circ \dots \circ s_{a_p} = w $
where
$\circ $
is the Demazure product. Let
$\mathcal {KPD}(w)$
denote the set of K-theoretic pipe dreams of w. Fomin and Kirillov [Reference Fomin and Kirillov7] introduce these objects in order to state this formula for the (generalized) Grothendieck polynomial
$\mathfrak {G}_w$
of
$w\in S_n$
:

This identity is nontrivial to derive from Lascoux and Schützenberger’s original definition of Grothendieck polynomials in terms of isobaric divided difference operators [Reference Lascoux26, Reference Lascoux and Schützenberger28].
Grothendieck polynomials becomes Schubert polynomials on setting
$\beta =0$
. In [Reference Marberg31, Reference Marberg and Pawlowski33], continuing work of Wyser and Yong [Reference Wyser and Yong45], the second two authors studied orthogonal and symplectic Grothendieck polynomials
$\mathfrak {G}^{\mathsf {O}}_y$
and
$\mathfrak {G}^{\mathsf {Sp}}_z$
indexed by
$y \in \mathcal {I}_n$
and
$z \in \mathcal {I}^{\mathsf {{FPF}}}_n$
. These polynomials likewise recover the involution Schubert polynomials
$\hat {\mathfrak {S}}_y$
and
$\hat {\mathfrak {S}}^{\mathsf {{FPF}}}_z$
on setting
$\beta =0$
, and it would be interesting to know if they have analogous pipe dream formulas.
The symplectic case of this question is more tractable. The polynomials
$\mathfrak {G}^{\mathsf {Sp}}_z$
have a formulation in terms of isobaric divided difference operators due to Wyser and Yong [Reference Wyser and Yong45], which suggests a natural K-theoretic variant of the set
$\mathcal {FD}(z)$
. A formula for
$\mathfrak {G}^{\mathsf {Sp}}_z$
involving these objects appears in [Reference Marberg and Pawlowski33, Section 4]. By contrast, no simple algebraic formula is known for the polynomials
$\mathfrak {G}^{\mathsf {O}}_y$
. It is a nontrivial problem even to identify the correct K-theoretic generalization of
$\mathcal {ID}(y)$
.
Problem 6.9 Find a pipe dream formula for the polynomials
$\mathfrak {G}^{\mathsf {O}}_y$
involving an appropriate “K-theoretic” generalization of the sets of involution pipe dreams
$\mathcal {ID}(y)$
.
Acknowledgement
This work was partially supported by Hong Kong RGC Grant ECS 26305218. We thank Allen Knutson for explaining to us his proof of (1.2) prior to the appearance of [Reference Knutson22].