Introduction
Many raptor species migrate by soaring with atmospheric updrafts from thermals or orographic lift (Kerlinger Reference Kerlinger1989, Bildstein Reference Bildstein2006). Therefore, migrating raptors often concentrate along geographical corridors with favourable thermal conditions to minimise energy cost (Mueller and Berger Reference Mueller and Berger1967, Bildstein Reference Bildstein2006), with their timing and number often shaped by the local weather conditions (Richardson Reference Richardson1990). This results in migration bottlenecks that attract a large number of raptors, providing opportunities for long-term studies into population trend, timing of migration, influence of weather, and other aspects of raptor ecology that are otherwise difficult to survey (Bednarz et al. Reference Bednarz, Klem, Goodrich and Senner1990, Farmer et al. Reference Farmer, Hussell and Mizrahi2007, Panuccio et al. Reference Panuccio, Martín, Morganti, Onrubia and Ferrer2017, Vansteelant et al. Reference Vansteelant, Wehrmann, Engelen, Jansen, Verhelst, Benjumea, Cavaillès, Kaasiku, Hoekstra and de Boer2020). However, such behaviour also leads to mass and often illegal trapping and killing of raptors at the migration bottlenecks (van Maanen et al. Reference Van Maanen, Goradze, Gavashelishvili and Goradze2001, Bildstein Reference Bildstein2006, Dalvi et al. Reference Dalvi, Sreenivasan and Price2013, Brochet et al. Reference Brochet, Van Den Bossche, Jbour, Ndang’Ang’A, Jones, Abdou, Al-Hmoud, Asswad, Atienza, Atrash, Barbara, Bensusan, Bino, Celada, Cherkaoui, Costa, Deceuninck, Etayeb, Feltrup-Azafzaf, Figelj, Gustin, Kmecl, Kocevski, Korbeti, Kotrošan, Mula Laguna, Lattuada, Leitaõ, Lopes, López-Jiménez, Lucic, Micol, Moali, Perlman, Piludu, Portolou, Putilin, Quaintenne, Ramadan-Jaradi, Ružic, Sandor, Sarajli, Saveljic, Sheldon, Shialis, Tsiopelas, Vargas, Thompson, Brunner, Grimmett and Butchart2016). Hunting and trapping are among the main threats contributing to worldwide raptor population declines and impose direct impacts on raptor populations from local to global levels (McClure et al. Reference McClure, Westrip, Johnson, Schulwitz, Virani, Davies, Symes, Wheatley, Thorstrom, Amar, Buij, Jones, Williams, Buechley and Butchart2018, Brochet et al. Reference Brochet, Van Den Bossche, Jones, Arnardottir, Damoc, Demko, Driessens, Flensted, Gerber, Ghasabyan, Gradinarov, Hansen, Horváth, Karlonas, Krogulec, Kuzmenko, Lachman, Lehtiniemi, Lorgé, Lötberg, Lusby, Ottens, Paquet, Rukhaia, Schmidt, Shimmings, Stipnieks, Sultanov, Vermouzek, Vintchevski, Volke, Willi and Butchart2019, Madden et al. Reference Madden, Rozhon and Dwyer2019). The high trophic level and low fecundity of raptors make them particularly vulnerable to persecution and could have lasting effects on their supporting ecosystems (Sergio et al. Reference Sergio, Caro, Brown, Clucas, Hunter, Ketchum, McHugh and Hiraldo2008).
Although raptor migration and associated persecution are widely reported in North America and Europe, these topics are still overlooked in Asia, especially in the East-Asian continental flyway that hosts more than one million migrating raptors (Bildstein Reference Bildstein2006, but see Williams et al. Reference Williams, Carey, Duff and Xu1992, DeCandido et al. Reference DeCandido, Nualsri, Allen and Bildstein2004, Germi Reference Germi2005), including many threatened species (McClure et al. Reference McClure, Westrip, Johnson, Schulwitz, Virani, Davies, Symes, Wheatley, Thorstrom, Amar, Buij, Jones, Williams, Buechley and Butchart2018). To reach their wintering grounds in the Indochina Peninsula and further in South-east Asia, migrating raptors funnel through south-west China, confined by the Beibu Gulf to the south-east and high mountain ranges in Yunnan Province and Myanmar to the north-west (Bildstein Reference Bildstein2006, Bildstein and Juhant Reference Bildstein and Juhant2017). Despite being a crucial passage area for raptors, raptor migration studies in this region are scarce; basic knowledge on distribution and ecology of raptors, as well as how weather conditions shape their timing and route are still lacking (Tordoff Reference Tordoff2002, Bildstein and Juhant Reference Bildstein and Juhant2017, McClure et al. Reference McClure, Westrip, Johnson, Schulwitz, Virani, Davies, Symes, Wheatley, Thorstrom, Amar, Buij, Jones, Williams, Buechley and Butchart2018). Meanwhile, consumption of wildlife products is widespread in South and South-east Asia, leading to population collapse in some mammal and bird species (Sodhi et al. Reference Sodhi, Koh, Brook and Ng2004, Dirzo et al. Reference Dirzo, Young, Galetti, Ceballos, Isaac and Collen2014, Kamp et al. Reference Kamp, Oppel, Ananin, Durnev, Gashev, Hölzel, Mishchenko, Pessa, Smirenski, Strelnikov, Timonen, Wolanska and Chan2015, Edenius et al. Reference Edenius, Choi, Heim, Jaakkonen, De Jong, Ozaki and Roberge2017, Gallo-Cajiao et al. Reference Gallo-Cajiao, Morrison, Woodworth, Lees, Naves, Yong, Choi, Mundkur, Bird, Jain, Klokov, Syroechkovskiy, Chowdhury, Fu, Watson and Fuller2020). Raptors in the region are trapped and hunted as bush meat, medicine or used in falconry or simply for sport (McClure et al. Reference McClure, Westrip, Johnson, Schulwitz, Virani, Davies, Symes, Wheatley, Thorstrom, Amar, Buij, Jones, Williams, Buechley and Butchart2018, Madden et al. Reference Madden, Rozhon and Dwyer2019), yet the extent and impact of persecution on raptors at local and regional levels remain unknown.
To fill the critical knowledge gap in raptor migration research and to assess the extent of raptor persecution in South-east Asia, we launched one of the first citizen-science based raptor monitoring projects in mainland China in 2015. The Guantouling mountain ridge is a well-known raptor migration site on the north-eastern coast of Beibu Gulf in south-west China. In 1988, the State Forestry Administration commissioned Guantouling as a National Forest Park. Despite the countrywide hunting ban, hunting events were common inside the park. To monitor raptor migration and combat illegal hunting at Guantouling, we carried out raptor monitoring and anti-poaching campaign in collaboration with Flora & Fauna International China and several local conservation organizations. In this study, we aim to provide a representative sample on the abundance, phenology, and influence of weather on southward raptor migration at Guantouling from 2015 to 2019. Additionally, we aim to describe the temporal pattern of hunting events and determine whether some species are particularly vulnerable to illegal hunting, thereby providing the scientific basis for further law enforcement and conservation efforts.
Methods
Study area
The migration survey was carried out in the Guantouling National Forest Park in Beihai, China (Figure 1). From 2015 to 2016, the counting station was located on the highest platform of the park (Station A: 21°27’10.9”N, 109°2’59.7”E). During military practices, the platform was closed, and counting was conducted at another station (Station B: 21°27’29.7”N, 109°3’9.7”E). From 2017, Station A was permanently closed, and all subsequent counting was conducted at Station B.

Figure 1. Location of counting stations in Guantouling National Forest Park, and its relative location (white bounding box) along the East-Asian continental flyway. The shaded area around the two stations in the inset map is the Guantouling National Forest Park. The solid lines and dark arrows on the main map indicate the general direction of raptor movement along the East-Asian Continental Flyway, adapted from Bildstein (Reference Bildstein2006), and the dotted line and arrow indicate the southward migration route of Oriental Honey Buzzard from Japan, adapted from Sugasawa and Higuchi (Reference Sugasawa and Higuchi2019).
Migration and hunting data collection
Daily survey was led by at least three volunteers with at least one experienced counter, from the first week of October to the first week of November, depending on the availability of counters. Survey was only cancelled when visibility was very limited such as during heavy rainfall. All raptors were recorded from 08h00 to 18h00. Identification was assisted with binoculars and cameras with reference to field guides, mainly MacKinnon et al. (Reference MacKinnon, Phillipps and Fenqi2000). Counters recorded the species, number, time of occurrence, direction of occurrence, direction of departure and additional notes on the sex/age, plumage, and injury when applicable. Unidentified raptors were classified to genus such as Accipiter sp., Falco sp., Circus sp., or grouped as either unidentified eagle or unidentified raptor if no classification could be made. During the first half of the survey period in 2017 and the entire survey periods in 2018 and 2019, counters also recorded gunshots heard as signs of hunting events, with the respective time and direction. Gunshots from military practice were usually automatic, fired from the same direction and often involved a series of shots and thus distinguished from hunting gunshots, fired from homemade guns that make rather different sounds and not capable of sequential shots. In practice, forest police were informed immediately when gunshots were heard and law enforcement actions were often (although not always) carried out subsequently.
Due to the difficulties in separating Japanese Sparrowhawk Accipiter gularis, Besra Accipiter virgatus, and Shikra Accipiter badius in the field, and variation in the capacity of counters, these three species, along with unidentified accipiters (mostly belonging to these three species) were grouped as Accipiter sp. in the subsequent analysis. The other three Accipiter species, namely the Eurasian Sparrowhawk A. nisus, Crested Goshawk A. trivirgatus and Northern Goshawk A. gentilis were easier to identify and therefore not included. Double counting may exist, especially for large raptors (e.g. Greater Spotted Eagle Clanga clanga) that were hesitant to cross the sea. To minimise double counting, we compared photos of individuals or groups of raptors by specific markings (i.e. damage on a specific primary feather) to check for multiple occurrences. Only the first occurrence was kept for analysis and the duplicated records were excluded.
Phenology and estimates of bulk passage dates
We calculated the three-day average, date of the first 5%, 50% and 95% passage, and main migration period (central 90% of migration, first 5% – first 95%) from 5 October to 6 November (each date with the observations aggregated from five years) for the 10 most abundant species, excluding locally common species (Vansteelant et al. Reference Vansteelant, Wehrmann, Engelen, Jansen, Verhelst, Benjumea, Cavaillès, Kaasiku, Hoekstra and de Boer2020). Locally common species were not included in this analysis because occurrence of resident individuals can interfere with the phenology estimates. We acknowledge that by excluding these species would also exclude their migratory populations. We also acknowledge that the phenology of the three species included in Accipiter sp. are not exactly the same, allocating them in one category reduces the credibility of their phenology.
Influence of weather on raptor migration
Weather data were downloaded from lishi.tianqi.com. Original weather data included daily maximum and minimum temperatures, direction and speed of wind, and description of cloud cover and precipitation. We calculated daily mean temperature (Mean_T; °C) from the mean of maximum and minimum temperature, wind direction (where wind blows from; categorical variable representing each 45 degrees, i.e. northerly wind is annotated as N_Wind), wind speed (Wind_Speed; discrete variable from 1 to 12 representing increasing speed), cloud cover (Cloud_Cover; discrete percentage from 0 to 100%) and precipitation (Precipitation; discrete variable from 0 to 4 representing from no precipitation to heavy downpour). We constructed Poisson Generalized Linear Mixed Models (GLMM) with the ‘lme4’ R package (Bates et al. Reference Bates, Mächler, Bolker and Walker2015), using the number of each species recorded in one date as the response variable and the weather variables as the predictors. In addition, we included year and number of counters as random effects to account for annual differences and variation in effort. We did not use observer ID as a random effect because the observer team in each year usually comprised of a stable group of people with 1–3 core counters and a few less-experienced counters, it would be practically very similar to using year as a random effect. An observation-level random effect was also included to cope with over-dispersion. Observation-level is a random effect on each observation in the model, effectively adding a unique ID to each observation in the dataset. It is commonly used in Poisson models with count data in ecology and evolution studies to deal with over-dispersion (Harrison Reference Harrison2014). Two trend variables were included, one representing the increasing trend in the beginning of the migration season (1 to 11 for the first 11 days and 0 for the rest) and another for the decreasing trend in the end (1 to 11 for the last 11 days and 0 for the rest) to account for autocorrelation in the data. Variance inflation factors (VIF) were checked for each model to ensure no significant correlation exists among predictors. For simplification, species other than the four most abundant species/species group, namely Grey-faced Buzzard (GB) Butastur indicus, Oriental Honey Buzzard (OHB) Pernis ptilorhynchus, Amur Falcon (AF) Falco amurensis and Accipiter sp., which are less abundant, are categorized as “Other Species”, as in the subsequent analysis.
Hourly traffic rate and hunting intensity
To explore the hourly patterns of raptor migration and gunshot intensity, we divided the day into 10 hourly intervals (08h00–9h00 to 17h00–18h00) and allocated each observation to its respective hourly interval. Hourly migration traffic rate was calculated by dividing the sum of number of individual birds by the total number of each hourly interval counted during the five years. Hunting intensity was represented by the number of gunshots in each hourly interval, calculated in the same manner as the migration traffic rate.
Hunting pressure
Given the intense relationship between counters and hunters, direct methods (i.e. questionnaires) to identify the major target species were not applicable. Instead, we adopted a Poisson GLMM model to study the relationship between number of gunshots heard and the number of raptors in one hour. Only the hours with both gunshots and migrating raptors recorded are used in the model. We used the same set of random effects as the previous model. All statistical analysis was carried out in R (R Core Team 2019).
Results
A total of 42,891 raptors from 30 diurnal raptor species were recorded during the five-year survey (Table S1 in the online supplementary material). The three most numerous species, GB, OHB and AF accounted for 77.3% of the total. The remaining 27 species accounted for much smaller percentage of the total, including six species/species groups (Japanese Sparrowhawk, Besra and Shikra count as one group) exceeding 1% of the average annual total (85 individuals) annually. The remaining 19 species were fewer than 85 individuals annually. All species showed a coefficient of variation (CV) greater than 30% in annual totals except GB (CV = 26.5%) and OHB (CV = 21.2%).
Main migration period for the 10 species varied from 16 to 28 days (Figure 2). The bulk of GB and AF migrated from mid-October till early November (Figure 2A and C), while OHB and Accipiter sp. migrated throughout the season (Figure 2B and D). Migration of Black Baza Aviceda leuphotes and Jerdon’s Baza Aviceda jerdoni concentrated in late October to early November (Figure 2F and J). Eurasian Hobby Falco subbuteo, Pied Harrier Circus melanoleucos and Crested Serpent Eagle Spilornis cheela were more numerous in the first half of the season, although not statistically significant for Pied Harrier (Figure 2E, G, H; Mann-Whitney test: P < 0.05, P = 0.6, P < 0.05 respectively) while Black Kite Milvus migrans were the opposite (Figure 2I, P = 0.07).

Figure 2. A-J). Phenology of the 10 most abundant species and species groups, not including the locally common ones. Each bar represents a three-day average from 5 October to 6 November during the five-year count. Line segments above the bars indicate the average passage date of the first 5% (left end of the segment), 50% (middle tick) and 95% (right end of the segment) of the whole.
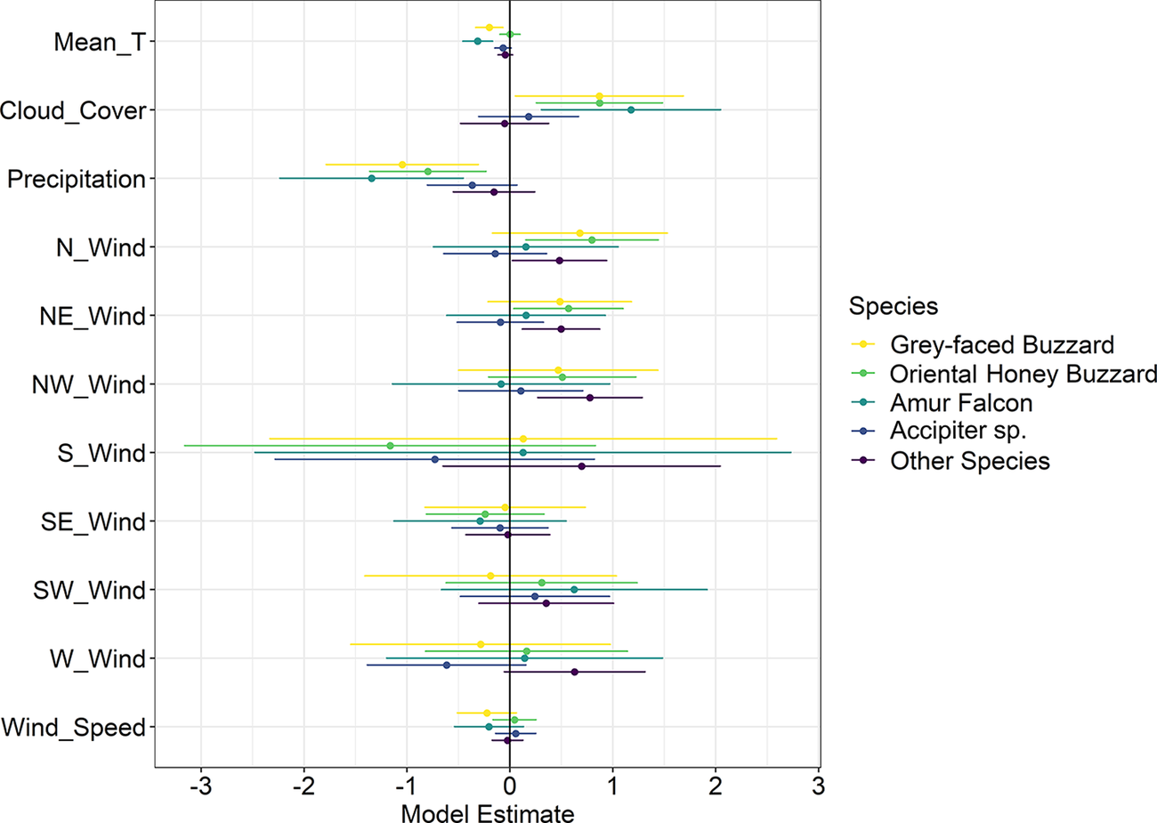
Warmer temperature was significantly correlated with decrease in the abundances of GB and AF (Figure 3). Increasing cloud cover had a clear positive effect on the number of migrating GB, OHB and AF, although the effect was not significant for Accipiter sp. and Other Species. On the contrary, precipitation was strongly negatively associated with migration of the three most numerous species, but not for Accipiter sp. and Other Species. Number of OHB increased significantly with northerly and north-easterly winds but not for north-westerly winds. The abundance of Other Species increased significantly with wind from all three northerly directions (north-west, north and north-east). Contrastingly, the numbers of migrating GBs, AF and Accipiter sp. were not significantly influenced by wind from any direction and wind from south-west to south-east were not clearly related to the migration of any species. Wind speed did not show strong association with the migratory movement of any species.

Figure 3. Weather influence on the daily counts of raptor species. Dots represent the model estimates of predictors and line segments represent the 95% confidence interval. The model estimates for the increasing and decreasing trend are not shown.
The hourly patterns of gunshots and bird traffic rate are shown in Figure 4. Hourly traffic rate of birds started with 10 birds/h in 08h00 to 9h00 and reached first peak at 10h00 to 11h00 with more than 40 birds/h. At noon bird migration slowed down until reaching a second peak in 16h00 to 17h00 with about 40 birds/h, then quickly decreased to 12 birds/h in the last hour of survey. Traffic rate of AF generally increased during the day and peaked at 16h00 to 17h00, while GB were most abundant during 10h00 to 12h00. Traffic rates of OHB were generally stable during the bulk of the day and migration of Accipiter sp. concentrated during 09h00 to 12h00. A total of 149 gunshots were recorded in 2018 and 2019 and this spread across 51% of the surveyed days in the two years, averaging about 2.53 [SD=4.40] shots per day. Hunting events showed two peaks during the day: first smaller peak from 08h00 to 10h00 and second larger peak from 14h00 to 18h00. The highest intensity was at 0.82 shots/h during 14h00–15h00, while during 10h00–14h00 hunting intensity was very low. During 12h00–13h00 no shots were recorded.

Figure 4. Hourly migration traffic rate and gunshot intensity. Note that the Y-axis for migration traffic rate and gunshot intensity is different.
The number of gunshots increased significantly with the total number of raptors (n = 29, the number of hours with gunshots, P <0.05; Figure 5). Number of gunshots increased with the number of AF (n = 21, the number of hours with gunshots and the species in discussion recorded) and GB (n = 20) but not significantly (P >0.05 for both species). Number of gunshots increased significantly with the number of OHB (n = 26, P <0.01) and number of Other Species (n = 27, P <0.05). This significant correlation may not seem evident in Fig.4 because only a subset of data used in Fig. 4 is used to measure correlation in Fig. 5 (when gunshots and each species are recorded during a same hour, see Methods for more information). Number of gunshots showed a non-significant negative relationship with number of Accipiter sp. (n = 26, P >0.05).

Figure 5. A-E). GLMM regression between number of each species and number of gunshots for all the hours with gunshots recorded. The significance level of the slope and is shown above each regression line. Shaded area around the regression line represents the 95% confidence interval.
Discussion
Species composition, phenology, and migration routes
At least 30 raptor species were recorded at Guantouling, reflecting its importance for migratory raptors in China. Geographically, Guantouling is the southernmost tip extending from the northern coast of Beibu Gulf. Raptors arriving at Guantouling are most likely migrating south-southwest, originating from Southern China and other parts of East Asia (Yamaguchi et al. Reference Yamaguchi, Tokita, Uematsu, Kuno, Saeki, Hiraoka, Uchida, Hotta, Nakayama, Takahashi, Nakamura and Higuchi2008, Dixon et al. Reference Dixon, Batbayar and Purev-Ochir2011). Although in the field we observed raptors headed toward the sea, and birdwatchers reported migrating raptors seen on the Weizhou Island (Figure 1) crossing the sea, Guantouling does not offer a much shorter distance to the Indochina Peninsula than following the coast, therefore we suspect that a major portion of raptors would continue west before turning again southwards in Vietnam, Laos, and Cambodia. Given the relatively low latitude, most species started arriving at Guantouling in the beginning of October. The one-month counting protocol covered the migration periods for most species, although it might have ended too early for OHB and Black Kite and started a bit late for Eurasian Hobby (Figure 2B, E and I). During spring, exploratory counts recorded very few raptors, which might be due to the more westerly and inland routes taken by raptors (e.g. OHB) toward their breeding grounds (Yamaguchi et al. Reference Yamaguchi, Tokita, Uematsu, Kuno, Saeki, Hiraoka, Uchida, Hotta, Nakayama, Takahashi, Nakamura and Higuchi2008).
It is generally well known that precipitation would slow down migration (Richardson Reference Richardson1990). Interestingly, higher cloud cover led to significantly higher counts for the three most abundant species. Presence of convective clouds indicates thermal updrafts that are favourable for raptor flight, and Alerstam (Reference Alerstam1978) reported higher counts of soaring migratory raptors with convective clouds. It is also possible that on cloudy and overcast days, raptors would migrate at lower altitudes than on sunny days and therefore more likely to be picked up by observers.
Although warmer temperature may lead to stronger thermals, the already high diurnal temperature (25oC on average) during the season may render such increase trivial for migration. High temperature may also increase water usage and dissipation, which subsequently discourage birds from taking flight (Bryant Reference Bryant1983, Oswald and Arnold Reference Oswald and Arnold2012). However, it appears that GB and AF respond to the general decrease of temperature, as their numbers increase with the passage of a cold front, resulting in negative relations with warmer temperature (Figure 3).
Passage of cold fronts often leads to strong southward migration in the northern hemisphere due to favourable northerly tail wind (Richardson Reference Richardson1990, Allen et al. Reference Allen, Goodrich and Bildstein1996). In our study, only the abundance of OHB increased with northerly and north-easterly winds. With relatively larger body size and lower aspect ratio (Gamauf et al. Reference Gamauf, Preleuthner and Winkler1998), OHB may rely more on soaring flight and thus more dependent on the fair and beneficial weather conditions following passage of cold front. Contrary to Nourani et al. (Reference Nourani, Safi, Yamaguchi and Higuchi2018), GB did not show a strong selection for favourable wind condition. This is likely due to sea crossing (Nourani et al. Reference Nourani, Safi, Yamaguchi and Higuchi2018) being more energy demanding than flying over land (current study). Lack of thermals above large water bodies increases the reliance on favourable wind conditions, while flying over the hilly regions of south-west China offers more chances to exploit thermals. Moreover, the wind strength is generally mild during the counting season, with wind speed smaller than 4m/s during about 92% of the days (Figure S1). This is potentially the reason why neither wind direction nor wind speed were influential for strong flyers such as GB and AF in this study.
One species that occurs in large numbers in both East-Asian Oceanic and Continental flyway is the GB. Recent studies in China have confirmed breeding of this species in Henan Province in Central China, indicating a more south-western breeding range than previously known (Ma et al. Reference Ma, Xi, Li, Huang, Zhu and Zhang2011). Satellite tracking studies revealed that GB breeding in Northeastern Siberia and Japan migrated through the East-Asian oceanic flyway to their wintering grounds (Nourani et al. Reference Nourani, Safi, Yamaguchi and Higuchi2018). It is likely that the GB breeding in the south and western part of their breeding range would use the continental flyway to winter in the Indochina Peninsula (Ferguson-Lees and Christie Reference Ferguson-Lees and Christie2001). It would be interesting to find out if the migration routes for these different populations overlap.
Surprisingly, few OHB were recorded in early October. OHB migration in central Thailand lasts from early September to mid-November, yet exploratory counting in September in Guantouling recorded very low numbers of Honey Buzzards. Hake et al. (Reference Hake, Kjellén and Alerstam2003) reported that juvenile European Honey Buzzards took more direct route with more stopovers on the way and thus spending more time on migration. Although we did not record the age during counting, examination of photographs showed that the majority of OHB arriving at Guantouling were juveniles. It could be that adult OHB took a more efficient route to their wintering ground with less time spent on the coast, while less-experienced and late-arriving juveniles took detours along the coastal regions of Beibu Gulf.
Phenology of AF showed two peaks: one in the middle and another in late October. Their timing and occurrence may depend on the abundance of their food resources (large insects) since they constantly feed along the migration route (Anderson Reference Anderson2009). The migration route taken by AF is particularly interesting since it is among the longest route known and passes through several of the most difficult geographical barriers (Bildstein Reference Bildstein2006, Bildstein and Juhant Reference Bildstein and Juhant2017). Ornithological records from South-east Asia showed a broad yet defined corridor circumventing the Himalayas and the adjacent high mountains: Flocks of AF can be observed at various locations in northern Indochina Peninsula and south-west China, but few can be found further south in Central Thailand (Clement and Holman Reference Clement and Holman2001, DeCandido et al. Reference DeCandido, Nualsri, Allen and Bildstein2004, Dixon et al. Reference Dixon, Batbayar and Purev-Ochir2011, Tordoff Reference Tordoff2002). In Hong Kong, about 500 km east of Guantouling, records of AF are also scarce (Viney et al. Reference Viney, Phillipps and Lam2005). Therefore, the north-eastern coast of Beibu Gulf is likely to be the point where AFs shift their routes westwards towards the Indian Subcontinent.
Population declines in common bird species are a widely observed trend throughout the world (Inger et al. Reference Inger, Gregory, Duffy, Stott, Voříšek and Gaston2015, Rosenberg et al. Reference Rosenberg, Dokter, Blancher, Sauer, Smith, Smith, Stanton, Panjabi, Helft, Parr and Marra2019). We recorded an alarming total of two Brahminy Kites Haliastur indus during the five-year count (Table S1), a species that used to be a common breeding raptor in southern and eastern China (MacKinnon et al. Reference MacKinnon, Phillipps and Fenqi2000, Ferguson-Lees and Christie Reference Ferguson-Lees and Christie2001). It can be argued that our counting period may miss their summer presence in this region, but in recent decades fewer than 10 individuals were reported in the whole country, two of which are from Guantouling (Sullivan et al. Reference Sullivan, Wood, Iliff, Bonney, Fink and Kelling2009, Wu et al. Reference Wu, Jianyun, Dao and Qiang2015). These records suggest that their population in China could be on the verge of extinction. White-bellied Sea Eagle Haliaeetus leucogaster might be undergoing a similar population decline in southern and south-eastern China, although some breeding individuals are stably recorded in Hong Kong and some offshore islands (So and Lee Reference So and Lee2010). More comprehensive assessments of their populations in China are urgently needed.
Persecution pressure and conservation implications
Hunters may shoot simply when there are many birds in the air, and OHB may particularly be vulnerable to hunting. In agreement with our field observations that OHB were visibly shot mid-air, this species was the most common raptor species confiscated by the police (Fang Reference Fang2019, Lu Reference Lu2020). During autumn migration, OHB stay at stop-over sites for some periods especially after their arrival in south-west China, probably foraging or waiting for suitable conditions to continue their migration (Yamaguchi et al. Reference Yamaguchi, Tokita, Uematsu, Kuno, Saeki, Hiraoka, Uchida, Hotta, Nakayama, Takahashi, Nakamura and Higuchi2008). Their longer presence in this region, larger body size, and less agile flight skills compared to AF and GB render them a more desired trophy and easier target. The fact that most hunting took place in early morning and afternoon suggests hunters might be selectively targeting OHB and other species when they were flying closer to the canopy for taking off during morning or trying to find overnight shelters in the late afternoon. In comparison, thermal updraft associated with relatively warm temperature during late morning and noon created a suitable environment for soaring at higher altitude, when almost no shooting was recorded. Based on the results from this study, we suggest that law enforcement is best concentrated during peak raptor migration period on cloudy days and on days with prevailing northerly and north-easterly winds, especially in early morning and afternoon.
On average, hunting intensity at Guantouling reached less than three shots per day, about 83 shots in total per counting season. Persecution at Guantouling therefore may not seem to impose a significant threat to any raptor species, especially given the increasing media coverage, law enforcement and conservation interventions in the park. However, widespread hunting events in Guangxi, Guangdong, Yunnan provinces of China and the northern Indochina Peninsula require a more comprehensive evaluation and conservation actions taken to prevent common raptor species like OHB from further population decline. Our effort in documenting basic species ecology constitutes a fundamental step in conservation action (McClure et al. Reference McClure, Westrip, Johnson, Schulwitz, Virani, Davies, Symes, Wheatley, Thorstrom, Amar, Buij, Jones, Williams, Buechley and Butchart2018). A better understanding of hunters’ motives and market demand for raptors is also needed in the future to determine the most suitable strategy to counter these activities (Dalvi et al. Reference Dalvi, Sreenivasan and Price2013). Currently, all raptor species are nationally protected in China and strict criminal laws exist to penalize poachers. However, local law-enforcement is often inadequate and officials often lack ornithological knowledge, which is a common issue across the world (Brochet et al. Reference Brochet, Van Den Bossche, Jones, Arnardottir, Damoc, Demko, Driessens, Flensted, Gerber, Ghasabyan, Gradinarov, Hansen, Horváth, Karlonas, Krogulec, Kuzmenko, Lachman, Lehtiniemi, Lorgé, Lötberg, Lusby, Ottens, Paquet, Rukhaia, Schmidt, Shimmings, Stipnieks, Sultanov, Vermouzek, Vintchevski, Volke, Willi and Butchart2019). Volunteer-based raptor counting and its associated media exposure has proved useful in assisting and accelerating authority actions (Madden et al. Reference Madden, Rozhon and Dwyer2019). The increasing engagement from birdwatching communities and conservation practitioners in China are necessary to complement top-down government regulations and will eventually turn Guantouling into a frontier of countering illegal hunting and nourishing citizen science, environmental education and research (Ma et al. Reference Ma, Cheng, Wang and Fu2013). Our work at Guantouling could also become a valuable example for other raptor hotspots in mainland China, South and South-east Asia to adopt similar citizen-science based approach to safeguard their migrating avifauna.
In conclusion, our surveys at Guantouling recorded a representative sample of migratory raptor species in South and South-east Asia. Our study helps to fill the knowledge gap of raptor migration that is crucial for implementing conservation actions. We recorded over 8,500 raptors annually and 30 raptors species over the five years, with GB, AF and OHB being the three most abundant species. We found that precipitation significantly slowed down migration while increasing cloud cover was favoured by the three most abundant species and northerly wind was favoured by OHB. Our study highlighted that hunting mostly occurred in the afternoon, coinciding with an increasing number of OHB, which may become a major victim of hunting. Law-enforcement actions are thus suggested to prioritize these sensitive periods, especially during peak raptor migration on cloudy days and after passage of cold fronts. Future citizen-science based monitoring of migration and hunting at greater geographical scale, as well as systematic cooperation between legal authorities and civil society are necessary to tackle the long-standing threats of illegal hunting in this region.
Acknowledgements
We thank Guangxi Forestry Bureau, Guangxi Wildlife Conservation Association, Beihai Nature Resources Department, Beihai Forestry Police, SEE Foundation, Mangrove Conservation Foundation, The Amity Foundation, Guangxi Mangrove Research Center, Beihai Volunteers’ Association, Beihai Birdwatching Society, Taiwan Raptor Research Association, Stora Enso, Guangxi Puxiangyuan for supporting raptor monitoring and conservation at Guantouling. We thank hundreds of citizen scientists who have voluntary helped collect such important data. Among them were birders, researchers, students, doctors, governmental officials, conservation practitioners, and all kinds of people who care about migratory birds. Without them, we could never accomplish such important work. Special thanks to Dahu Kang, Yingjian Lu, and many pioneer conservationists who brought us here and shared their courage with us in the very beginning. This research belongs to the Guantouling Raptor Monitoring and Conservation Program initiated by Fauna & Flora International China Program and Guangxi Biodiversity Research and Conservation Association (BRC) and later hosted by BRC since 2015. This work was supported by Society of Entrepreneurs & Ecology (SEE) Free Flying Wings Program (2017, 2019), China Express (Hxzcb20150915, 2015), Beihai Haicheng District Tourism Department (2017), Beihai Forest Pest Control and Quarantine Station and Guangxi Beihai National Terrestrial Wildlife Epidemic Monitoring Station (2019). This programme also received crowd-sourcing funding from 9,513 individual donations and four enterprises during 2015, 2017, 2018 and 2019.
Supplementary Materials
To view supplementary material for this article, please visit http://dx.doi.org/10.1017/S0959270921000356.