Introduction
Two major trends characterize recent national and European Parliament (EP) elections. First, the revival of territorial cleavages in voting behaviour (De Vries Reference Vries and Catherine2018; Treib Reference Treib2021; De Lange et al. Reference Lange, van der Brug and Harteveld2023). Voting patterns are increasingly underpinned by regional dynamics revealing ‘distinct geographies’ of support and considerable differences in voting behaviour between the countryside and metropolitan areas (Tomáš et al. Reference Tomáš, Zouhar and Treib2022; Harteveld et al. Reference Harteveld, der Brug, Lange and Van der Meer2022; Arzheimer and Bernemann Reference Arzheimer and Bernemann2024). Second, the increased salience of the environment reflecting growing public concerns about climate change (Braun & Schäfer Reference Braun and Schäfer Constantin2022; Colantone et al Reference Colantone, Lonardo, Margalit and Percoco2023; Rodríguez-Pose and Bartalucci Reference Rodríguez-Pose and Bartalucci2023). This has been accompanied by the establishment and rise of parties and movements in support of, or opposition to, climate change policies, for example the Alternative in Denmark, the Environmental Party of the Greens in Norway, the Yellow Vests in France and the Dutch Farmer Citizen Movement. These two major trends are interconnected: a series of recent national and European Parliament (EP) elections, in which the environment was a prominent issue (Kenny & Langsæther Reference Kenny and Langsaether2022), have been contested along geographical lines, with urban centres and metropolitan areas endorsing green politics and rural and peripheral areas far-right parties (Dvořák et al. 2022).
Reflecting the importance of these dynamics, a wealth of recent research focuses on the politics of place and the re-emergence of territorial cleavages (De Vries Reference Vries and Catherine2018; Gimpel et al. Reference Gimpel, Lovin, Moy and Reeves2020; Treib Reference Treib2021; Dvořák et al. 2022; Harteveld et al. Reference Harteveld, der Brug, Lange and Van der Meer2022; Arzheimer and Bernemann Reference Arzheimer and Bernemann2024; De Lange et al. Reference Lange, van der Brug and Harteveld2023; Claassen et al Reference Claassen, Carman and Bankov2024) as well as on attitudes towards environmental protection and specific climate change measures (Knutsen Reference Knutsen2010; Huber et al., Reference Huber, Greussing and Eberl2021; Maestre-Andrés et al. Reference Maestre-Andrés, Drews and van den Bergh2019; Huber Reference Huber2020; Geys et al Reference Geys, Heggedal and Sørensen2021; Huber et al. Reference Huber, Greussing and Eberl2021). Much of this literature highlights significant territorial differences in attitudes towards stringent climate change policies (see Stadelmann-Steffen and Eder Reference Stadelmann-Steffen and Eder2021; Arndt et al. Reference Arndt, Halikiopoulou and Vrakopoulos2023; Bolet et al Reference Bolet, Green and González-Eguino2023; Rodríguez-Pose and Bartalucci Reference Rodríguez-Pose and Bartalucci2023). Opposition to environmental protection is underpinned by local dynamics as individuals in rural and suburban areas who fear income losses and reduced purchasing power tend to be less supportive (Gaikwad et al. Reference Gaikwad, Genovese and TingleyDustin2022; Arndt et al. Reference Arndt, Halikiopoulou and Vrakopoulos2023).
Some studies also examine how attitudes towards environmental protection may translate electorally, driven for example by disaffection with certain policies’ uneven pocketbook implications (Colantone et al Reference Colantone, Lonardo, Margalit and Percoco2023), into punishing incumbents or supporting parties that vocally oppose it (Stokes Reference Stokes2016; Abou-Chadi and Kayser Reference Abou-Chadi and Kayser2017; Lockwood Reference Lockwood2018; Otteni and Weisskircher Reference Otteni and Weisskircher2021; Kenny & Langsæther Reference Kenny and Langsaether2022). Most such research, however, either examines single case studies or carries out small-scale comparisons. As such, we still lack a comprehensive and systematic comparative account of the ways in which opposition to climate change policies may shape the emergence of new voting patterns across European countries.
This article focuses on the electoral consequences of environmental protection comparatively across 10 Western European countriesFootnote 1 . We develop and test a range of hypotheses about the ways in which local and concentrated resistance to climate change measures may be channelled into electoral behaviour using data from the European Social Survey’s (ESS) Round 8 Module on Climate Change and Energy (ESS 2023). We commence by theorizing climate change as a collective action problem with diffuse benefits and concentrated costs. Because climate policies can impose costs on certain individuals as well as on local communities and socially defined groups through job losses, regressive income effects and negative externalities, they are likely to fuel concentrated opposition from those that are incurring these costs. This feeds into voting behaviour by reinforcing territorial divisions and resulting in the emergence of a new cleavage between voters of challenger parties who support and oppose environmental protection.
Results from multinomial logistic regressions offer evidence to support our argument that the backlash against environmental protection is triggered at the local level by the potential ‘losers’ of these processes. This contributes to the emergence of a territorial cleavage between the supporters for climate change policies – that is, green voters residing in affluent metropolitan areas – and their opponents – that is far-right voters residing in less affluent rural and peripheral areas. Our argument explains the development of new political alliances and highlights the importance of green attitudes for the emergence of societal cleavages. To be politically successful, ecological policies need to align private and social benefits. If we are right, the consequences of local resistance can be detrimental for political stability.
Our contribution is threefold. First, we show that opposition to environmental protection affects not just attitudes, as illustrated by several recent studies (e.g. Dvořák et al 2022; Arndt et al Reference Arndt, Halikiopoulou and Vrakopoulos2023; Claassen et al Reference Claassen, Carman and Bankov2024), but also voting preferences. This is important because, as research shows, attitudes can be distinct from political preferences and, by extension, changes in attitudes do not necessarily and always result in changes in voting (e.g. see Balcells and Torrats-Espinosa Reference Balcells and Torrats-Espinosa2018 and Vlandas and Halikiopoulou Reference Tim and Halikiopoulou2025 for changes in attitudes but not voting preferences after a terrorist attack). By showing how positions on environmental protection may fuel voting divides we contribute to, and complement, a growing body of literature which shows that the environment is emerging as an independent dimension of voting preferences in Western European societies (Kenny & Langsæther Reference Kenny and Langsaether2022). Second, we show that the effect of environmental protection on voting preferences is generalizable across Western Europe. Existing research on the ways in which opposition to climate change policies might affect voting behaviour tends to focus either on single case studies or small-N comparisons (Otteni and Weisskircher Reference Otteni and Weisskircher2021; Harteveld et al Reference Harteveld, der Brug, Lange and Van der Meer2022; Colantone Reference Colantone, Lonardo, Margalit and Percoco2023). We complement their findings by establishing both theoretically and empirically that environmental protection is associated with generalizable voting trends across Western European countries and with regards to various climate change policies.
Third, we show that these emerging voting patterns have a geographical anchor. Our analyses of how geographically defined ‘policy losers’, who are more likely to bear the costs of specific climate policies, vote make the case for bringing geographical divisions back into debates about voting behaviour. By showing that these emerging spatial divides are grounded on attitudes on environmental protection, our study also contributes to debates about the emergence- or resurfacing- of urban-rural cleavages in Western European politics (Haffert et al Reference Lukas, Palmtag and Schraff2024; Zollinger Reference Zollinger2024). One of the main implications of our study is that scholars should pay more attention to the spatial dimension of environmental protection to understand emerging voting patterns in Western Europe. Beyond the social sciences, this research can potentially inform work in more applied fields, such as energy transitions, sustainable urban planning and industrial ecology.
Theoretical framework
Territorial divides in European politics
The study of territorial cleavages in voting behaviour is hardly new. Lipset & Rokkan’s (Reference Lipset, RokkanStein, Lipset and Rokkan1967) seminal work systematized the study of territorial cleavages, focusing on the contrasts between urban and rural regions and between the centre and the periphery. With regards to urban-rural divides, the processes of nation-building and industrialization shaped regional resistance against political and economic elites at the national level and pitted economic interests of farmers and rural population against those of industrialists and the urban population based on conflicts around free trade and the mode of production. Similarly, centre–periphery cleavages developed during the process of nation-building, when processes of administrative centralization and attempts to enforce linguistic and cultural homogenization created resistance among regional cultures and identities (Lipset & Rokkan Reference Lipset, RokkanStein, Lipset and Rokkan1967; Treib Reference Treib2021: 182f). Such dynamics further played an important role in the formation of federal or quasi-federal state structures and thus regional party systems. However, during the age of dealignment most – with some exceptions – agrarian, linguistic and regionalist parties were incentivized to moderate and broaden their appeal, while conservative parties transformed into mainstream centre-right parties in most places. Accordingly, the study of urban-rural and/or centre-periphery cleavages became less prominent, although those cases where new territorial cleavages emerged and got represented in party competition (e.g. Belgium, UK, Italy or Spain) have continued to receive attention from scholars of voting behaviour (see e.g. Knutsen Reference Knutsen2010; Pardos-Prado & Sagarzazu Reference Pardos-Prado and Sagarzazu2019).
Recently, however, the study of territorial cleavages has experienced a revival both in Europe and the US (see e.g. De Vries Reference Vries and Catherine2018; Gimpel et al. Reference Gimpel, Lovin, Moy and Reeves2020; Brown and Mettler Reference Brown and Mettler2023; De Lange et al Reference Lange, van der Brug and Harteveld2023). Recent work highlights the re-emergence of geographically defined voting patterns as divides between – and within – metropolitan and peripheral areas – become increasingly salient. Such research focuses, for instance, on the geographical dimension of attitudes towards European Integration and/or migration (Hooghe & Marks Reference Hooghe and Marks2017; De Vries Reference Vries and Catherine2018; Treib Reference Treib2021), the regionally uneven distribution of populist attitudes (Dvořák et al. 2022) and the link between rural marginalization and the varied support for populist parties (Harteveld et al. Reference Harteveld, der Brug, Lange and Van der Meer2022). Despite, however, its relevance to emerging territorial divides, environmental protection is a less studied topic in cleavage voting, especially when it comes to comparative cross-European accounts. Recent informative research has empirically demonstrated the existence of territorial differences in attitudes towards environmental protection (Dvořák et al. 2022; Arndt et al Reference Arndt, Halikiopoulou and Vrakopoulos2023; Tallent Reference Tallent2025) or in voting, focusing on individual case studies or small-N comparisons (see Otteni and Weisskircher Reference Otteni and Weisskircher2021; Colantone et al Reference Colantone, Lonardo, Margalit and Percoco2023; Kenny & Langsæther Reference Kenny and Langsaether2022). We still lack a comprehensive, systematic comparative account of the ways in which opposition to climate change policies may shape new patterns of voting behaviour and contribute to the re-emergence of territorial cleavages, that is, generalizable across Western Europe.
Diffuse benefits and concentrated costs: The spatial dimension of opposition to environmental protection
Our aim in this section is to theoretically explore, and subsequently develop a series of hypotheses about how the spatial dimension of opposition to environmental protection might affect voice choice. Environmental protection is used as an umbrella term to describe a range of specific climate measures and policies, often with distributional consequences (Saunders Reference Saunders1992). Examples include pollution control measures, increasing energy expenses, taxing fossil fuels, reducing the use of coal as energy source and taxing/restricting vehicle use.
The first step in theorizing the relationship between environmental protection and vote choice is identifying the ways in which opposition to environmental protection may be generated. We know from the extant literature on the topic that environmental protection policies are not income neutral. Individuals with higher levels of disposable income do not experience the same pressures on their living standards or consumption patterns if the price of goods or services increases to compensate for their perceived harm on the environment. Various contributions have tested the ‘affluence hypothesis’ (see e.g. Franzen & Meyer Reference Franzen and Meyer2010; Scruggs & Benegal Reference Scruggs and Benegal2012; Fairbrother Reference Fairbrother2013), which posits that support for environmental measures increases with income. A substantial body of these empirical works confirms that individuals who face higher personal economic costs are more likely to oppose environmental measures (see Drews and van den Bergh Reference Drews and Van den Bergh2016). This applies to several climate change policy areas, for instance eco taxes on fuel, CO-2 taxes and other taxes related to vehicle use which, as other consumption taxes, have higher relative costs the lower the personal income is and thus regressive income effects (Bento et al. Reference Bento, Lawrence, Goulder, Jacobsen and von Haefen2009; Nikodinoska & Schröder Reference Nikodinoska and Schröder2016; Spiller et al. Reference Spiller, Stephens and Chen2017).
This is not just an individual-level story, however. Opposition to environmental protection also has a spatial dimension (see e.g. Arndt et al Reference Arndt, Halikiopoulou and Vrakopoulos2023; Rodriguez-Pose and Bartalucci Reference Rodríguez-Pose and Bartalucci2023). Beyond individual income, domicile and other personal circumstances, socio-economic contextual factors also drive support for climate change policies. To theorize this, we commence from the observation often made in public policy literature that policies with diffuse benefits and concentrated costs are more likely to generate localized opposition as they impose specific burdens to specific groups (Wilson Reference Wilson and Wilson1980; Weaver Reference Weaver1986; Bell et al. Reference Bell, Gray, Haggett and Swaffield2013). The strongest resistance against public policies is expected when gains remain diffuse (or unclear), but losses are concentrated among clearly definable groups who share the burdens of the measures. This is likely to generate organized opposition against these policies and losses for incumbent governments. Moreover, we know from prospect theory that losers of political measures react more strongly than winners (Kahneman & Tversky Reference Kahneman and Tversky1979; see Vis Reference Vis2011 for a political science perspective). This reasoning has been applied, for example, to explain why incumbents who retrench the welfare state lose votes and why reform-minded governments are seldom rewarded for their actions even though the reforms might increase competitiveness or induce higher economic growth in the long run (e.g. Vis Reference Vis2011).
Climate policies are governed by a similar logic, where benefits and gains are diffuse but costs are locally concentrated (Stokes Reference Stokes2016; Arndt et al Reference Arndt, Halikiopoulou and Vrakopoulos2023; Bolet et al Reference Bolet, Green and González-Eguino2023). Costs tend to be incurred spatially by communities that are economically dependent on old industries, for example workers in carbon-dependent industries that face the risk of job cuts (Bolet et al Reference Bolet, Green and González-Eguino2023). Individuals in such communities not only benefit directly through employment in the industry at risk, but also indirectly through the local economic activity it generates (Bolet et al Reference Bolet, Green and González-Eguino2023). They have, therefore, strong incentives to oppose stringent climate policies. This can explain the Not-In-My-Back-Yard (NIMBY) effects at work when it comes to specific measures such as investments in wind energy (Stokes Reference Stokes2016 – see also Otteni and Weisskircher Reference Otteni and Weisskircher2021; Urpelainen and Zhang Reference Urpelainen and Tianbo Zhang2022). A substantial body of literature on the distributional costs of climate change measures and more broadly environmental protection, has demonstrated that indeed this tendency to concentrate costs drives opposition to climate change policies (Stadelmann-Steffen & Eder Reference Stadelmann-Steffen and Eder2021; Gaikwad et al. Reference Gaikwad, Genovese and TingleyDustin2022; Arndt et al. Reference Arndt, Halikiopoulou and Vrakopoulos2023; Bolet et al Reference Bolet, Green and González-Eguino2023).
Households with the highest outlays for fuel, fuel taxes and other costs for individual transport and energy consumption are typically located in rural and suburban areas (Poterba Reference Poterba and Bradford1991; Spiller et al. Reference Spiller, Stephens and Chen2017). This means that the regressive nature of climate change measures hits rural and suburban residents hardest. These individuals have the highest dependence on cars, may face longer commutes and may have lower disposable incomes. As noted above, the livelihood of those in fossil fuel-producing communities is indirectly dependent on the local economic activity generated by old, at-risk industries. In addition to the established income effects, residents of rural areas and those living farther away from the next metropolitan area are likely to be more affected by increases in fuel taxes as they have higher price elasticities than urban residents (Spiller et al. (Reference Spiller, Stephens and Chen2017). Accordingly, residents of rural regions or commuters from suburban areas and the countryside are often losers of specific climate change policies such as higher fuel prices, emission zones or emission-specific motor vehicle taxes as they are dependent on their cars, have higher relative to income fuel costs and cannot substitute cars with public transport in sparsely populated areas (Poterba Reference Poterba and Bradford1991).
Arndt et al. (Reference Arndt, Halikiopoulou and Vrakopoulos2023) confirm the applicability of the affluence hypothesis to the regional level, showing that opposition to climate change measures and support for coal as energy source is higher in poor regions, regions with high unemployment and regions with coal jobs in jeopardy. Furthermore, support for coal as energy source is moderated by the economic situation of the region. Similarly, Gaikwad et al. (Reference Gaikwad, Genovese and TingleyDustin2022) show that coal-producing regions exhibit stronger opposition to those climate changes measures that threaten coal-related jobs. Notably, they also highlight the importance of the opposite scenario, that is, ‘climate change vulnerability’, under which the costs of non-decisions are concentrated on those directly facing the physical threats of climate change. A related study by Stadelmann-Steffen & Eder (Reference Stadelmann-Steffen and Eder2021) reports greater scepticism towards selected climate change measures outside urban areas, arguing that a country’s past energy mix conditions support for climate change policies. In sum, opposition to environmental protection is likely generated spatially through the concentration of costs among communities who lose out the most from the implementation of such policies.
Vote choice
The second step in our theorization process is to establish the ways in which opposition to environmental protection may affect voice choice. We contend that the local, or regional, concentration of costs for the ‘losers’ of climate change policies discussed above, brings the territorial aspect back in the debate on voting behaviour. Research suggests that concerns over the environment tend to be polarized both across and within party lines (Guber Reference Guber2013; Dunlap et al. Reference Dunlap, McCright and Yarosh2016; Colantone et al Reference Colantone, Lonardo, Margalit and Percoco2023; Dickson and Hobolt Reference Dickson and Hobolt2024). Individuals who incur actual or perceived losses from climate change measures are likely to support parties that oppose these measures. In turn, this will likely reinforce competition between those who support and those who oppose them (Otteni & Weisskircher Reference Otteni and Weisskircher2021). We also know that ‘losers’ of climate change policies tend to be regionally concentrated (Arndt et al Reference Arndt, Halikiopoulou and Vrakopoulos2023) and there are differences in the political preferences of prosperous, cosmopolitan urban areas and the often conservative, nationalist and poorer peripheries (De Vries Reference Vries and Catherine2018; Gimpel et al. Reference Gimpel, Lovin, Moy and Reeves2020), which may feel marginalized and develop ‘regional resentment’ against the ‘centre’ (see De Lange et al. Reference Lange, van der Brug and Harteveld2023). These asymmetries resulting from climate change policies can become politically charged as attitudes translate in the ballot box.
The strongest proponents and opponents of stringent climate policies tend to be ‘niche’ (Meguid Reference Meguid2005) or ‘challenger’ (De Vries and Hobolt Reference Vries, Catherine and Hobolt2020) parties that compete primarily on ‘new’ or non-centrist issues that often extend beyond the economy (Wagner Reference Wagner2012) and/or may be distinctly identified as ‘populist’ (De Vries and Hobolt Reference Vries, Catherine and Hobolt2020). While existing definitions focus on lack of government experience, the increasing electoral success of these parties and their progressive entrenchment in their domestic party systems blurs the line between government and opposition. Difficulties embedded in a dynamic conceptualization notwithstanding, we adopt the ‘challenger’ party definition in accordance with De Vries and Hobolt (Reference Vries, Catherine and Hobolt2020), as the most appropriate umbrella term to refer to a diverse set of parties that attempt to mobilize on new or non-centrist issues and/or use populist, anti-establishment narratives. Specifically, we focus on green and far-right parties which mobilize primarily on ‘new’ issues – the environment and immigration respectively – and largely adopt populist narratives. Note that while there may be overlap with populism, our focus is distinctly on the far-right and the greens (for a specific focus on populism, see e.g. Huber Reference Huber2020; Huber et al Reference Huber, Greussing and Eberl2021; Buzogány and Mohamad-Klotzbach Reference Buzogány, Mohamad-Klotzbach and Oswald2022).
Research suggests new competition dynamics between mainstream and challenger as well as between different types of challenger parties (De Vries and Hobolt Reference Vries, Catherine and Hobolt2020). The environment, and more specifically climate change, is a good platform to observe these dynamics. Often described as a ‘wedge issue’, precisely because it is adopted by challenger parties to broaden their electoral appeals and can be used to split mainstream intra-party voting coalitions (Dickson and Hobolt Reference Dickson and Hobolt2024), it divides challenger parties between proponents and opponents. Green parties are the most vocal proponents of climate change measures. These parties compete on the environment issue (Spoon et al. Reference Spoon, Hobolt and Catherine2014) and promote climate measures that are often seen as ‘costly’ such as CO-2 pricing, or threatening to jobs because they target certain energy industries, such as the coal industry. For example, the German green party has been a major force in promoting the spread of wind turbines (Otteni & Weisskircher Reference Otteni and Weisskircher2021). In terms of their voters, research shows that positive attitudes towards energy transition and other climate change measures are often associated with support for the greens (Otteni & Weisskircher Reference Otteni and Weisskircher2021). Individuals with such attitudes tend to be those higher income individuals residing in more affluent regions (Arndt et al. Reference Arndt, Halikiopoulou and Vrakopoulos2023). Indeed, formerly centre-left progressive, egalitarian, metropolitan wealthy middle class individuals are likely to abandon traditional left parties and opt green, especially given the attribution of competence on the environment to the greens (Petitpas and Sciarini Reference Petitpas and Sciarini2022).
Far-right parties, on the other hand, tend to be the most vocal opponents of environmental protection. While far-right parties are first and foremost ‘owners’ of the immigration issue, these parties are increasingly competing over environmental issues as well, often engaging in environmental chauvinism and mobilizing voters against stringent climate policies (Forchtner Reference Forchtner2019; Otteni & Weisskircher Reference Otteni and Weisskircher2021; Colantone et al. Reference Colantone, Lonardo, Margalit and Percoco2023; Honeker and Spoon Reference Honeker and Spoon2025). Many are incentivized to do so given their agrarian origins. For example the Finns Party – historically the successor of an agrarian party – frames environmental policies as a clash between the countryside and urban areas (Hatakka & Välimäki Reference Hatakka, Välimäki and Bernhard2019). The far-right agenda is appealing to opponents of climate policies for various reasons. One is the role of populism which is central to the agendas of most far-right parties (Rooduijn et al. Reference Rooduijn, Pirro, Halikiopoulou, Froio, Kessel, De Lange, Mudde and Taggart2023): by presenting environmental protection as an abstract, elite project (Huber Reference Huber2020) far-right parties augment support among left behind individuals. Another is the importance of socially conservative and nationalist values. These reinforce hostility towards the climate agenda often seen as a progressive liberal and cosmopolitan project (Lockwood Reference Lockwood2018). Moreover, environmental regulation that produces losers also creates electoral niches that far-right parties often try to address, that is, owners of older cars that face higher taxes or are banned in emission zones. Here, some far-right parties have presented them as advocates of individual mobility, be it for more ideological or vote-seeking reasons.
Theoretical expectations
Based on the reasoning explained above, we may expect the presence of geographically defined patterns of support for parties who support and oppose certain climate change policies and have clear positions on climate policy-based trade-offs. Those who reside in regions that incur the costs of climate change policies are more likely to support parties that oppose these policies – that is, far-right. In other words, far-right parties that oppose climate change measures are more likely to garner support in those peripheral regions that bear the brunt of these costs. This is likely to be the case first because people in poorer regions are primarily preoccupied with the economic struggle for survival and less by post-materialist values (Franzen and Meyer Reference Franzen and Meyer2010). Hence, they would prioritize parties that promise to stop policies that harm them financially; and second because individuals residing in these regions are more likely to experience anxiety associated with local labour market disruptions, for example, if certain jobs are directly threatened by a particular environmental policy (Harteveld et al. Reference Harteveld, der Brug, Lange and Van der Meer2022). The regional concentration of certain energy industries suggests higher far-right party support in areas where mining or logging is a major source of income.
The same logic dictates that those who do not reside in regions that directly incur such costs and are more favourable towards climate change policies are more likely to vote for the proponents of these policies – that is, green parties. Higher income individuals tend to be located primarily in cities and suburbs (Gimpel et al. Reference Gimpel, Lovin, Moy and Reeves2020); their political preferences are likely to be distinct from rural dwellers, placing more emphasis on post-material concerns such as the environment. Therefore, larger urban centres and cosmopolitan cities are more likely to support green parties who are the main proponents of climate change policies. Although these expected effects are at least partly composition effects, we should also expect the regional economy to moderate the effects of certain individual attitudes on voting, with support for the far-right increasing in lower income regions, and support for the greens increasing in higher income regions. Drawing on this broad expectation and distinguishing between attitudes towards the three types of climate change policy areas briefly discussed above (i.e. increasing energy expenses, taxing fossil fuels and reducing the use of coal as energy source), we propose the following hypotheses:
H1 (a): Greater concerns about energy expenses are more likely to be associated with far-right party support in regions with high unemployment while lower concerns about energy expenses are more likely to be associated with green party support in regions with low unemployment.
H1 (b): Greater opposition to environmental taxes is more likely to be associated with far-right party support in regions with high unemployment while lower opposition to environmental taxes is more likely to be associated with green party support in regions with low unemployment.
H1 (c): Greater support for coal as energy source is more likely to be associated with far-right party support in regions with high unemployment while lower support for coal as energy source is more likely to be associated with green party support in regions with low unemployment.
So far, we have sought to test the extent to which contextual economic factors may moderate the relationship between climate policy attitudes and voting behaviour. This relationship, however, is likely shaped by both geographical and economic contextual factors simultaneously. As discussed above, regions with traditional industries that bear direct costs from climate policies tend to have lower incomes and higher economic anxiety, while urban centres typically have higher incomes and greater emphasis on post-material values (Franzen and Meyer, Reference Franzen and Meyer2010; Gimpel et al., Reference Gimpel, Lovin, Moy and Reeves2020). These overlapping spatial and economic patterns suggest that the translation of climate policy attitudes into voting choices will be conditioned by both place of residence and regional economic context. We therefore propose the following hypotheses:
H2 (a): Greater concerns about energy expenses are more likely to be associated with far-right party support in rural areas with high unemployment, while lower concerns about energy expenses are more likely to be associated with green party support in urban areas with low unemployment.
H2 (b): Greater opposition to environmental taxes is more likely to be associated with far-right party support in rural areas with high unemployment, while lower opposition to environmental taxes is more likely to be associated with green party support in urban areas with low unemployment.
H2 (c): Greater support for coal as energy source is more likely to be associated with far-right party support in rural areas with high unemployment, while lower support for coal as energy source is more likely to be associated with green party support in urban areas with low unemployment.
Data and methods
We use data from the ESS ‘Public Attitudes to Climate Change’ (2016) module to test our hypotheses about how local resistance to climate change measures affects electoral behaviour. The ESS 2016 module contains detailed questions about attitudes towards specific climate policies that extend beyond standard survey items. More recent ESS waves do not contain the same detailed questions, and therefore cannot be used in our analysis. We also use the International Social Survey Programme (ISSP) Environment module (ISSP 2020) to carry out a series of robustness checks (results reported in the online Appendix) to test the validity and generalizability of our results.
We choose to focus our analysis on Western Europe for reasons of comparability. Specifically, climate change is a higher salience issue in Western European countries (see e.g. Braun and Schäfer Reference Braun and Schäfer Constantin2022), which are also comparable in terms of popular attitudes and emerging societal cleavages (Kriesi Reference Kriesi1998; Bornschier Reference Bornschier2010). By contrast, climate change measures tend to be a lower salience issue in almost all Eastern European countries. The introduction of concrete climate change measures such as fossil fuel tax increases and low emission zones in urban areas, or the phasing out of coal as energy source have increasingly become part of the political debate and agenda in Western European countries, whereas they are largely absent in Eastern Europe. We focus specifically on 10 Western European countries which have a sizeable far-right and/or green party (our DV), thus enabling us to measure vote choice. This data is for 20,154 individuals from Austria, Belgium, Switzerland, Germany, Finland, France, the UK, the Netherlands, Norway and Sweden. The ISSP dataset, which we use for robustness checks, contains data for 9,318 individuals also from Austria, Finland, Germany, Switzerland as well as from Denmark, not covered in the ESS.
Our data allows us to draw robust conclusions about the surge in anti-climate motivated support for the far-right and competition with the greens. Along the lines of Dickson and Hobolt (Reference Dickson and Hobolt2024), our sample represents Western European political systems with varying strengths of far-right parties and different electoral systems. In addition, during the time period covered in our datasets, far-right parties have shifted from largely ignoring to politicizing climate change, with environmental issues becoming more salient (Dickson and Hobolt Reference Dickson and Hobolt2024). The Appendix pp. 34–35 shows plots using Chapel Hill Expert Survey data from 2010–2019 on 1) Environment Salience across all parties, 2) Environment Salience – only for far-right parties, and 3) Polarization on Environmental Protection across countriesFootnote 2 ). These plots map the positions of parties across the countries included in our analysis during the years 2010–2019. They show that party positions, and polarization on environmental issues, were becoming more salient already in 2014. This further justifies our reliance on the 2016 ESS data for our main analysis, suggesting that we have both theoretical and empirical reasons to expect far-right parties to have already started mobilizing on the environment issue at the time of data collection.
We can be confident about the applicability of the data and validity of our results. First, we have carried out extensive robustness checks (see Appendix C) which include analyses using the more recent ISSP 2020 dataset that yields similar results to those of the ESS (Appendix C). Second, other studies on climate attitudes that use the same ESS (2016) dataset (e.g. Arndt et al. Reference Arndt, Halikiopoulou and Vrakopoulos2023) yield similar conclusions albeit with a different dependent variable.
We use several variables from the multilevel component of the ESS to test the moderating effects of regional economic conditions as hypothesized in H1(a to c) and H2 (a to c). These variables are based on the classification of European regions from EUROSTAT and usually use the NUTS-2 or NUTS-3 classification. For Germany and the UK, the NUTS-1 is applied. We supplemented these data with data from national statistical agencies and own data compilations if data or variables were missing for the respective NUTS regions in the ESS.
We run multinomial regression models using ‘party voted for in last national general election’ as the dependent variable. While we code seven party families, our analysis centres on far-right and green voting. We code far-right parties using the PopuList (Rooduijn et al. Reference Rooduijn, Pirro, Halikiopoulou, Froio, Kessel, De Lange, Mudde and Taggart2024) and greens using the Comparative Political Data Set (Armingeon et al. Reference Armingeon, Engler and Leemann2025). We also code far-left, social democratic, centre-right, liberal and social liberal parties, and add a category of ‘other’ parties for those not classified into a party family, mostly regionalist and nationalist parties (see Appendix Part A)Footnote 3 . Given our unordered categorical dependent variable, we use multinomial logistic regression models, supplemented by binary logistic models, with voting for far-right and green parties as the dependent variables for robustness (Appendix Part C).
For our independent variables, we use the following questions from the ESS. For energy expense concerns (H1a and H2a), we use the question ‘How worried are you that energy may be too expensive for many people in [country]?’ (five-point scale: 1 ‘Not at all worried’ to 5 ‘Extremely worried’). For opposition to environmental taxes (H1b and H2b), we use: ‘To what extent are you in favour or against increasing taxes on fossil fuels, such as oil, gas and coal?’ (five-point scale: 1 ‘Strongly in favour’ to 5 ‘Strongly against’). For coal support (H1c and H2c), we use the question ‘How much electricity in [country] should be generated from coal?’ (five-point scale reversed, so 5 indicates strong support and 1 indicates abandonment of coal).
While these ESS questions use ordinal five-point scales, we treat them as continuous variables in our analyses. This approach is methodologically justified as follows. First, five-point Likert scales with symmetric response options approximate interval-level measurement sufficiently well for parametric statistical techniques, particularly when the underlying construct being measured (such as worry or support) is conceptually continuous (Sullivan & Artino, Reference Sullivan and Anthony2013). Second, this treatment enhances model parsimony and interpretability, allowing for straightforward coefficient interpretation and avoiding the complexity of threshold models that may not substantially improve our understanding of the relationships under investigation.
To measure the local territorial context (H2a-c), we created a dummy variable from the original four-category domicile variable, where ‘Metropolitan area/big city’ (1) and ‘Suburbs or outskirts of big city’ (2) were coded as urban (1), while ‘Town or small city’ (3) and ‘Country village/farm/countryside’ (4) were coded as rural (2). The original datasets used identical five-point scales, except we merged ‘farm’ with ‘countryside’ categories.
We operationalize regional economic conditions using unemployment rates in our main models (Scruggs & Benegal Reference Scruggs and Benegal2012: 510) and per capita GDP in our robustness tests, at the NUTS level. Where regional data were missing, we obtained them from national statistical agencies for 2016 (ESS) and 2020 (ISSP) (see online Appendix, Part A for a detailed description of the data collection on the regional level). We test our hypotheses through interaction terms between climate policy attitudes and regional unemployment (H1a-c), and climate policy attitudes, regional unemployment and the urban-rural dummy (H2a-c).
We control for a range of socio-demographic factors including age, class, education and gender since previous analyses have found significant effects (see Brieger, Reference Brieger2019: 832). We also control for attitudinal variables including trust in politicians, attitudes towards immigration (own index) and left-right placement (Meyer & Liebe Reference Meyer and Liebe2010; Scruggs & Benegal Reference Scruggs and Benegal2012; Wolsko et al. Reference Wolsko, Ariceaga and Seiden2016; Ziegler Reference Ziegler2017; Fairbrother et al. Reference Fairbrother, Sevä and Kulin2019). It is important to note that attitudes towards immigration and left-right placement are not included in the ISSP dataset. For the regional level, we further control for population density as high population density can be correlated with pro-environmental attitudes (Franzen & Meyer, Reference Franzen and Meyer2010: 226) and access to modes of transportation (Spiller et al. Reference Spiller, Stephens and Chen2017). We also include regional level net migration.
ResultsFootnote 4
Preliminary Analyses: Direct effects of attitudes towards environmental protection on vote choice
We commence with a preliminary analysis of the direct effects of attitudes towards environmental protection on voting behaviour. Figure 1 below plots the predicted probabilities of concerns about energy expenses, support for environmental taxes and support for coal as energy source on voting for challenger parties. The results show a pattern of competition between far-right and green parties stemming from individuals’ positions on climate change policy attitudes: as individuals become more worried about energy expenses, they are more likely to vote for far-right parties. When individuals are ‘very’ or ‘extremely’ worried about energy becoming too expensive, they are 5% to 10% more likely to vote for far-right compared to green parties. When individuals are ‘somewhat’ to ‘not at all’ worried about energy prices, the differences between voting for these two party families are significantly lower to statistically insignificant. Individuals who oppose taxes on fossil fuels are, overwhelmingly, more likely to vote for far-right parties, and less likely to vote for green parties, and vice versa. Our analysis of attitudes on coal as energy source reveals similar patterns (Figure 1, bottom panel). Far-right parties appear to benefit significantly from voters who support coal as energy source. The mean predicted probability of voting far-right is 30% for those individuals. On the contrary, support for green parties decreases as support for coal as energy source increases, and those who support coal as energy source by a large amount have 0 probability of voting green compared to 30% for far-right.

Figure 1. Predicted probabilities of voting for far-right and green parties by environmental protection attitudes.
Notes: 1)Source: Appendix B, Table B1, pages 36–38 ; 2)Data source: ESS Round 8.
Regional economic context and environmental voting patterns
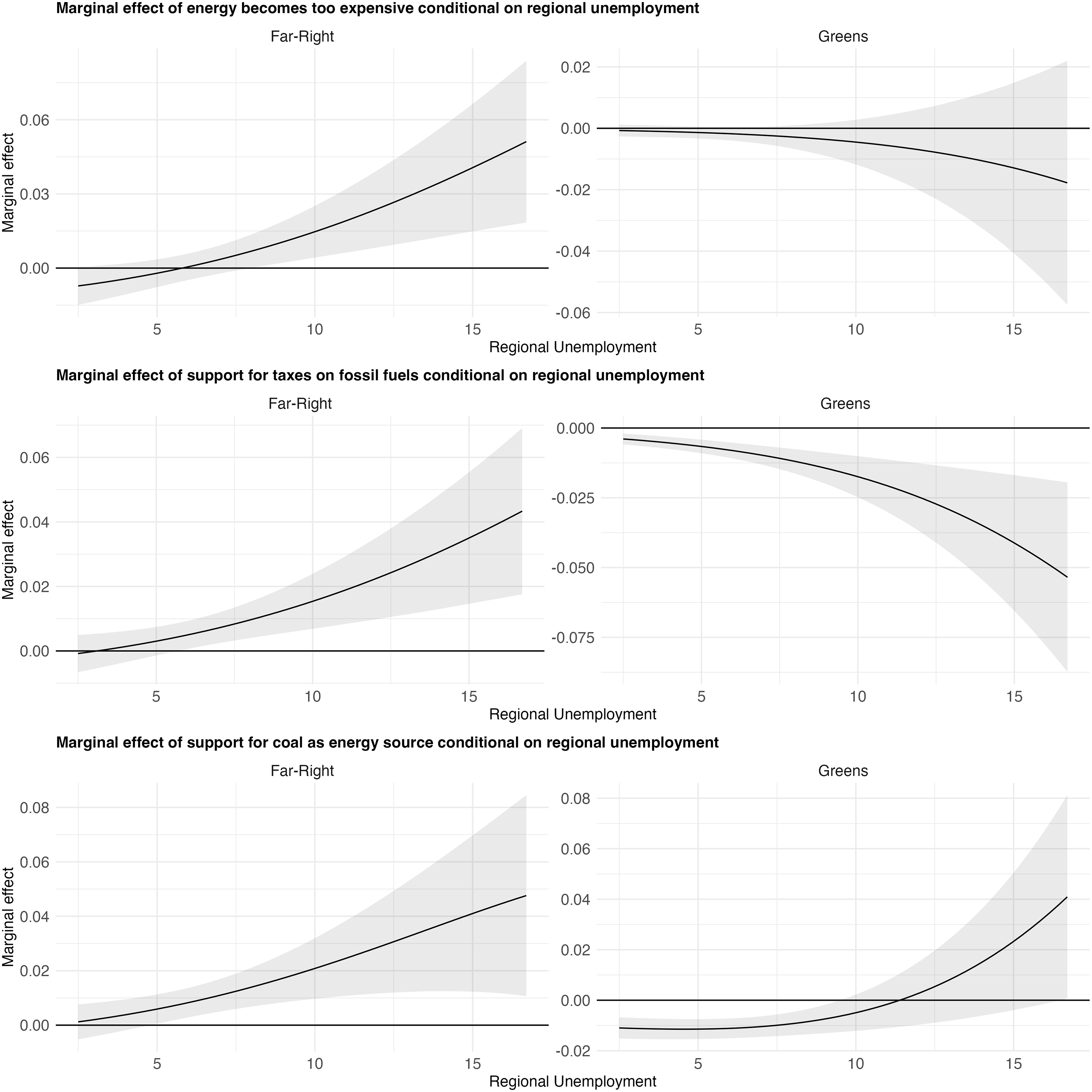
To meaningfully interpret the interaction terms, we report interaction plots instead of regression tables (Brambor et al. Reference Brambor, Clark and Golder2006). All regression outputs for our interaction models are reported in Appendix B. To ease readability, we report the results of multinomial regression models for far-right and green parties onlyFootnote 5 . In all our multinomial regression models we set Social Democrats as the reference category. Figures 2 and 3 plot the results related to our Hypothesis 1 (a, b and c) namely that individuals’ attitudes towards environmental protection are moderated by regional economic conditions.

Figure 2. Marginal effects of attitudes on climate change policies on voting for far-right and greens, moderated by regional unemployment rates.
Notes: 1) Source: Appendix B, Table B2, pages 39–41; 2)Data source: ESS Round 8.
We find some evidence to support Hypothesis 1 (a, b and c), which expects regional moderation on the effect of attitudes towards climate change policies on voting. As Figure 2 illustrates, we may observe a clear and general trend with regards to the far-right. As regional unemployment increases, individuals who oppose climate change policies (all the three types of policies in our analyses), become more likely to vote for the far-right. However, patterns with regards to green parties are less clear. Support for the greens decreases as opposition for taxation on fossil fuels and regional unemployment increase (H1b). Nonetheless, when we turn our attention to the bottom panel, we may observe that support for greens decreases as support for coal as energy source increases in regions with low levels of unemployment (H1c), while the interaction term between worries about energy expenses and regional unemployment rates, is statistically insignificant.
Place, economy and politics: The geography of environmental voting
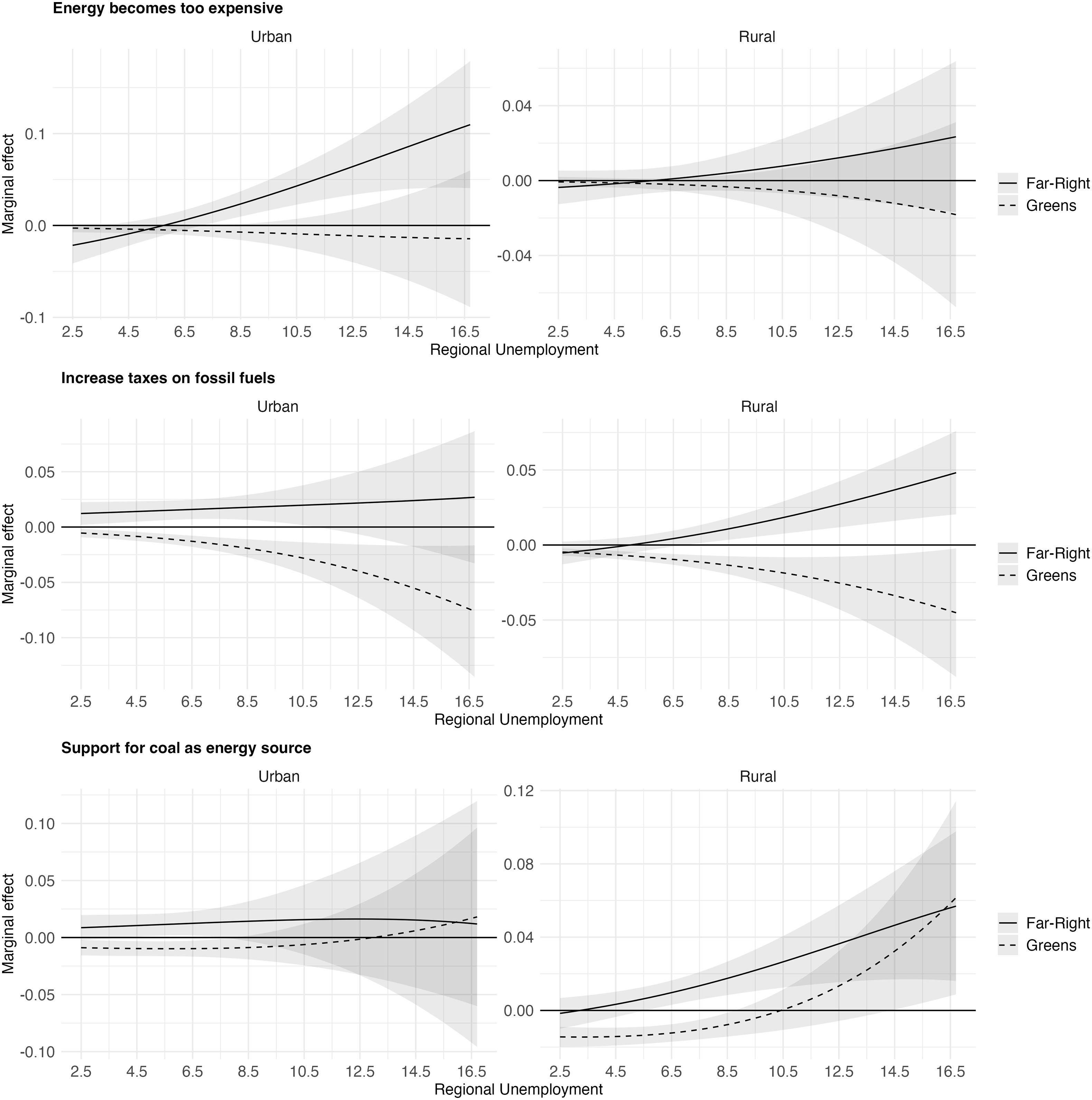
We proceed to test our Hypothesis 2 (a, b and c) which expects the effect of attitudes towards certain climate changes policies on voting for far-right and green parties to be moderated simultaneously by place of residence as well as the regional economic context, therefore testing a three-way interaction (see Figure 3 below).

Figure 3. Marginal effects of attitudes on climate change policies on voting for far-right and greens, moderated by regional unemployment rates and place of residence.
Notes: 1) Source: Appendix B, Table B3; pages 42–45 2) Data source: ESS Round 8.
To test this we run a series of multinomial regression models, reported in Appendix B, with the inclusion of a second order interaction between attitudes on climate change policies, conditional on regional unemployment, also conditioned on residence (the extent to which individuals reside in urban or rural areas)Footnote 6 . The regression models and the plots yield significant, statistically and substantively, results.
Figure 3 shows interesting patterns. We theorized that individuals who are more affected by the concentrated costs of climate adaptation are those individuals who reside in less affluent regions, as well as residents of rural areas who tend to rely on energy more compared to urban residents. The results reported in Figure 3 show some support for our Hypothesis 2 (a-c), but again, the nature of the policy and also the operationalization of regional economic conditions, affect the results.
Starting with the middle and bottom panels, which plot the second order interactions between opposition to increasing taxes on fossil fuels (H2b) and support for coal as energy source (H2c), moderated by regional unemployment and urban/rural residence, the results offer some evidence to support these hypotheses. The far-right appears to benefit from opposition to environmental protection in regions with high unemployment, and this effect becomes statistically significant in rural areas. At the same time, the greens tend to lose out electorally in those same areas. However, they also appear to lose out in urban areas as well when support for taxes on fossil fuels is the climate policy in question. Surprisingly, support for green parties increases in rural areas, in regions with very high levels of unemployment (greater than 14.5%) as support for coal as energy source increases. Overall, the results reveal a pattern of competition. When we turn our attention to the top panel though (H2a), we see that the far-right benefits from voters who are worried about energy expenses in the urban areas with high regional unemployment. This is an interesting, but not surprising result. The explanation could be that because of the higher costs associated with living in urban areas, increasing energy expenses adds an extra economic burden, or even economic uncertainty, on those who live in regions with high levels of unemployment.
Robustness checks
We run a series of robustness checks to test the validity and generalizability of our findings in accordance with best practice. Specifically, we test our results across different specifications and also by using the 2020 ISSP dataset. These analyses yield mostly similar results, giving us confidence about our findings. Table 1 below summarizes all the robustness checks we have carried out along with a summary of their results, and signposts where they are located in the Appendix.
Table 1. Summary of robustness checksFootnote 7

Conclusion: summary, implications and avenues for future research
This article endeavours to offer one of the first comprehensive comparative studies of how attitudes towards various stringent climate change policies might affect voting behaviour across Western Europe. We develop a range of hypotheses about the ways in which individual and locally concentrated resistance to climate change measures materializes in the ballot box drawing on literature that understands climate policies through a cost and benefit prism. We expect climate change measures to offer diffuse benefits to the greater population, but importantly also incur concentrated costs for specific groups which tend to be economically and geographically defined, thus generating concentrated opposition. We test our hypotheses using comparative data from the ESS (2016). Our results offer support for our argument that backlash against environmental protection is triggered by the potential ‘losers’ of these processes and show some interesting variations. Those climate change measures which impose concentrated burdens on low-income earners, rural dwellers and residents of coal regions and peripheral areas shape organized electoral resistance. This has been primarily beneficial for far-right parties, who are vocal opponents of climate change measures and often run on anti-climate change platforms or at least seek to mobilize the ‘losers’ of environmental protection. The main losers of these processes are green parties, the most vocal supporters of costly stringent climate change policies.
Our findings add value to our understanding of new voting patterns across Western Europe, show how a ‘diffuse benefits and concentrated costs’ conceptualization can help us theorize and test the ways in which climate attitudes may shape voting behaviour, and contribute to the study of how attitudes towards the environment may reinforce territorial cleavages. Specifically, we highlight the emergence of a new territorially defined cleavage in Western Europe between far-right voters who increasingly align with the periphery and the country-side, and green voters, who increasingly align with the metropolitan centres. Climate change measures reinforce this cleavage through the unequal allocation of gains and costs which become visible in the geographical strongholds of green parties and far-right parties. This finding is in line with a growing body of literature that empirically illustrates the emergence of these dynamics in specific cases or smaller-scale comparisons (Otteni and Weisskircher Reference Otteni and Weisskircher2021; Bolet et al. Reference Bolet, Green and González-Eguino2023; Colantone et al. Reference Colantone, Lonardo, Margalit and Percoco2023). We contribute to – and extend – this literature by arguing theoretically and showing empirically that this is a Western Europe-wide pattern which develops in opposition to a broad range of stringent climate change policies.
While offering a comprehensive comparative account of climate change attitudes and voting patterns, the article is not without its limitations, thus opening up avenues for future research. First, our sample is confined to Western European countries. This affects the generalizability of our findings. It is possible that an extended analysis which includes Eastern European countries could yield different results, as the two regions show substantial differences in terms of salience and importance of the environment. Second, while extensive, our datasets include data collected in 2016 (ESS) (and 2020 ISSP for our robustness checks). As the salience of the environment issue, and in particular support for alternative energy sources, have increased in Europe after the Ukraine war, analyses of post-2022 data could reveal different patterns of electoral behaviour and environmental attitudes. Further research could expand such dynamics, testing our findings on an expanded dataset that includes both Western and Eastern European countries, and more recent data. Third, we cannot fully rule out issues of low statistical power or the possibility that some responses to questions about energy expenses and environmental taxation in the dataset may reflect broader attitudes towards expenses and taxation generally. Future research could explore these relationships using more specific measures or experimental designs that isolate environment-specific concerns from general economic attitudes.
Fourth, we have primarily focused on competition dynamics between far-right and green parties. Future research could examine the extent to which attitudes towards climate change measures might affect voting for other party families. One interesting question that arises in the literature is the extent to which climate change policies may divide the left. Social democratic parties often attempt to mobilize both urban, progressive wealthy middle class individuals as well as low-income voter groups who may be residing in rural areas. This presents them with a dilemma: a ‘too green’ agenda will likely alienate the latter group, whereas a more hesitant climate programme to protect low-income voters will likely alienate the former group and green coalition partners (see Neumayer Reference Neumayer2004; Petitpas and Sciarini Reference Petitpas and Sciarini2022). Similar issues may apply to far-left parties whose traditional constituencies include ‘left behind’, low-income individuals residing in poorer regions who have no incentive to support parties that introduce policies that hurt them financially. Future research could shed light on these dynamics by focusing on both supply-side – that is, how different left-wing parties may shape their platforms on the environment- and the demand-side, that is, how climate attitudes shape the left vote.
Fifth, while a direct focus on whether compensation or just transition strategies may be more effective in the implementation of stringent climate change policies is outside the scope of our study, our findings may be useful to studies that do address this question. This is because we examine a range of attitudes on specific climate protection measures and their impact of voting behaviour comparatively. Our findings show some interesting variations across attitudes towards different policies, especially with regards to the green vote. This suggests that some climate policies may generate less support/opposition than others, depending on the ways in which they are implemented. Future research could use these findings to carry out systematic comparisons of different policies and their implementation potential.
Finally, we have primarily focused on the big picture. As the main aim of our comparative study is to identify broader patterns across different European countries and attitudes towards different policies, we have not attempted to identify causal relationships between our key independent and dependent variables. Future work using causal identification strategies could further disentangle the dynamics we unpack by focusing on specific mechanisms. Such work could zoom into particular cases through experimental designs. Future research could also offer more nuanced analyses of voters, distinguishing for example between ‘losers of climate change’ from ‘losers of climate change policies’, as individuals directly affected by climate change, such as those threatened by forest fires, floods or droughts may be more likely to support climate change policies.
In sum, our study offers some evidence to support arguments suggesting that environmental protection is politically charged and difficult to implement (see Bolet et al. Reference Bolet, Green and González-Eguino2023). Climate change measures which concentrate losses among specific groups and create socially and geographically defined winners and losers, provide considerable mobilization potential for far-right politicians. As the impetus to implement effective climate change policies intensifies, opposition among the most affected constituents is also likely to increase, thus escalating this mobilization potential. This suggests that unless ecological policies are designed in ways that align private and social benefits, for example through compensation (e.g. Gaikwad et al. Reference Gaikwad, Genovese and TingleyDustin2022) and/or just transition policies (e.g. Bolet et al. Reference Bolet, Green and González-Eguino2023), they are likely to encounter fierce resistance and potentially lead to societal polarization and instability.
Supplementary material
To view supplementary material for this article, please visit https://doi.org/10.1017/S1755773925100155.
Data availability statement
Our data and replication files are openly available and may be accessed online here: https://doi.org/10.7910/DVN/SLUWRW
Acknowledgements
All authors contributed equally to this article. We are grateful to Dafni Kalantzi-Pantera for her research assistance and support with the data, as well as the University of Reading for funding this project. We received helpful feedback from Wouter van De Brug, Robert Huber and the participants of the ‘Issue Voting’ panel of the ECPR 2022 General conference as well as Fergus Green, Diane Bolet and the participants of the APSA 2023 mini conference ‘Changing Cleavages, New Grievances: Politics in Post-Industrial Societies’. We are also grateful to Caterina Froio and Sofia Ammassari as well as Chris Dworschak, Graeme Davies, Neil Carter and the participants of the University of York Politics and IR department quantitative seminar, and Cristobal Rovira Kaltwasser and the participants of the 2023 Research Seminar series at the Pontificial Catholic University of Chile for their helpful feedback. Finally, we owe gratitude to the three anonymous reviewers of the EPSR for their extremely constructive comments and the journal Editors for facilitating a smooth review process. We dedicate this work to our friend, colleague and co-author Christoph Arndt.
Competing interests
We confirm there are no competing interests.



