We gather here in memory of twenty beautiful children and six remarkable adults. They lost their lives in a school that could have been any school; in a quiet town full of good and decent people that could be any town in America.
—Former President Barack Obama Footnote 1
On 14 December 2012, a young man opened fire on twenty-eight people at Sandy Hook Elementary in Newtown, Connecticut, killing twenty school children and six adult staff members in one of the worst mass public shootings in recent US history. In the weeks that followed, an intense public debate surrounded the issue of gun violence, covering a wide array of topics such as the mental health of attackers,Footnote 2 cultural issuesFootnote 3 and violent video games;Footnote 4 the core political issue was restricting access to firearms. Speaking about the tragedy, former President Obama reminded Americans that Newtown was not an isolated incident; rather, there seemed to be ‘an endless series of deadly shootings across the country, almost daily reports of victims, many of them children, in small towns and big cities all across America’.Footnote 5 While the attacks at Sandy Hook and other mass public shootings like those in Aurora, Blacksburg and Littleton make national headlines, there are countless others that receive considerably less attention but are just as devastating to affected communities.
Gun legislation has become a perennial issue in American politics, driven in large measure by the increased media attention and public interest in gun control laws following mass public shootings. A predictable feature of the discourse following mass shootings in the United States is the polarized response by gun rights and gun control activists. On the one hand, powerful gun rights advocates like the National Rifle Association (NRA) claim that these attacks demonstrate the need for more – not less – access to firearms in the hands of qualified professionals. On the heels of the Sandy Hook shootings, NRA Executive Vice President Wayne LaPierre famously said, ‘the only thing that stops a bad guy with a gun is a good guy with a gun’.Footnote 6 Second Amendment advocates also point to surges in NRA membership following mass public shootings as evidence of the public’s support for their cause.Footnote 7 On the other hand, grassroots gun control groups like the Brady Campaign to Prevent Gun Violence urge lawmakers to heed the millions of dollars in private donations that poured in after Sandy Hook and similar events as a signal that public opinion had shifted in their favor.Footnote 8 Dan Gross, President of the Brady Campaign, pleaded with Congress to acknowledge the growing ‘disconnect between what the American public wants on this issue and what [our] elected officials are doing about it’.Footnote 9
When shifting the focus from the responses of elites to the general public, one question of clear importance is whether public opinion is impacted by instances of profound gun violence. Further, compared to citizens living hundreds or even thousands of miles away from a shooting and learning about it through the mass media, there is a relatively large and growing body of Americans who have had their lives personally touched by gun violence by having a mass shooting occur in or near their community. One question yet to be empirically addressed is, for these citizens, does having a mass shooting occur so close to home trigger support for increased government gun control efforts?
While there has been scholarly research on the rate at which mass public shootings have increased in recent decades,Footnote 10 as well as a number of investigations into their causes,Footnote 11 surprisingly, prior scholarship has not examined whether proximity to a mass public shooting affects citizens’ gun control policy preferences. We believe this question speaks not only to the broader literature on the role of context in shaping public opinion, but also to the more general issue of ‘policy feedback’Footnote 12 in mass politics. In other Western nations where mass shootings have occurred, they were swiftly followed by changes in legislation, indicating a prompt degree of policy feedback. For example, the 1996 Dunblane Massacre of sixteen British school children and one teacher led to the passage of two firearms acts and a permanent ban on private handgun ownership in the UK. Likewise, the 1996 Port Arthur Massacre in Tasmania, which left thirty-five dead and twenty-three wounded, led the Australian Government to introduce the National Firearms Agreement that outlawed automatic and semi-automatic weapons, as well as pump-action shotguns. In the United States, however, we have yet to see similar tragedies catalyze significant policy change, which raises the question: why is the United States so resistant to changes in gun legislation?
While some point to our strong culture of gun rights,Footnote 13 and others to polarized responses by elites,Footnote 14 one possibility is that a key link in the policy-feedback chain – public opinion – fails to respond to such incidents of extreme gun violence with augmented demand for stricter government regulation of firearms. In this article, we theorize that mass public shootings affect public opinion in a contextually driven manner. Our core hypothesis is that having a mass public shooting occur in close proximity to one’s community will lead to increased support for gun control. Germane to this causal expectation is the notion of threat salience: the basic logic is that proximate (versus distal) threats are more salient. Mass public shootings raise the specter of gun violence, and shootings that happen close to home involve known places and potentially known people. In this way, public shootings occurring in close proximity should make gun violence, as well as falling victim to gun violence, more palpable.
Using data from multiple sources on mass public shootings merged with the 2010 Cooperative Congressional Election Study (CCES), we show that increased proximity to a mass shooting is associated with heightened public support for stricter government regulation of firearms. Importantly, we show that this main effect does not vary by partisanship. To demonstrate the robustness of our main finding, we show that this contextual effect is conditional upon additional salience-related factors, such as (1) repeated events, (2) the magnitude of the event (that is, the number of victims), and (3) the recency of events. As a further demonstration of robustness, we offer placebo tests, which show that proximity to a mass shooting fails to exert any effect on ‘treatment-irrelevant’ policy attitudes (for example, climate change, abortion, gay marriage, etc.). To offer a stronger test of causal effects, we use the 2010–2012 CCES re-interview panel to demonstrate that respondents ‘treated’ with a mass public shooting occurring near their residence between survey waves were significantly more likely than ‘untreated’ respondents to shift their opinions towards support for stricter gun control policies. Lastly, we replicate these results with different survey data collected in 2010 by the Pew Research Center. We conclude this article by discussing the substantive implications of our findings, as well as possible directions for future research.
PRIOR RESEARCH ON MASS SHOOTINGS AND PUBLIC OPINION
To our knowledge, little or no research has directly tested whether mass shootings affect individual opinion towards gun control policy. There has been a great deal of descriptive analysis of polling data about Americans’ attitudes towards gun legislation. On the one hand, recent analysis of Gallup and Pew polling data shows that Americans in the aggregate have become steadily less supportive of gun control over the past 25 years, dropping from clear majorities who favored gun control in the 1990s to less than half of those surveyed by the late 2000s.Footnote 15 On the other hand, the polls also reveal spikes in support for gun control that appear to coincide with the mass shootings in ColumbineFootnote 16 and Newtown;Footnote 17 however, such spikes quickly regressed to the steady pattern of declining support seen throughout the full time series. In sum, this largely descriptive body of research suggests that American public opinion may be responsive to certain high-profile mass shootings (e.g., Sandy Hook), but that such responses represent brief bursts of opinion change that do not endure. More importantly, the aggregate nature of the analyses contained in this work, along with the relative absence of panel studies, limits its ability to determine whether there are any real shifts in individual attitudes towards gun control following mass public shootings.
Research investigating how the media cover mass public shootings is more abundant in the scholarly literature. Much of this literature focuses on examining the volume and patterns of news coverage regarding specific high-profile mass attacks,Footnote 18 the majority of which demonstrate how the 1999 Columbine school shooting dominated news coverage, and by implication, brought the issue of gun violence to the top of the national policy agenda.Footnote 19 Some research provides causal evidence that media frames about gun control affect policy attitudes. For example, Haider-Markel and JoslynFootnote 20 find that support for concealed carry laws declines when the issue of carrying handguns is framed as a potential threat to public safety (versus as a matter of constitutional rights). Moreover, McGinty, Webster and BarryFootnote 21 find that respondents supported restricting access to firearms for the mentally ill, as well as banning large-capacity magazines, following exposure to news stories highlighting these specific issues. Together, this body of work suggests the possibility of policy feedback in the form of public demand for gun control in response to mass shootings, albeit such feedback appears highly contingent upon issue framing.
This body of media-centered research on mass shootings is strongly predicated upon viewing mass shootings as something Americans experience indirectly through media imagery and discourse. Yet the sheer volume, not to mention the increasing rate and geographic spread, of mass public shootings in the United States suggests looking beyond such pretenses, as there is an ever-growing subset of the American public that is personally touched by gun violence due to residing in, or near, a location where a mass shooting has occurred. For these citizens, the mass media is not the primary vehicle for experiencing egregious gun violence. Furthermore, when conceptualizing mass public shootings as a treatment delivered through the mass media, it is important to recall that many Americans fail to pay attention to the news and public affairs,Footnote 22 and among those who do pay attention, there is a pronounced tendency for selective exposure to partisan news.Footnote 23 In other words, there is variation in receipt of the treatment, as well as heterogeneity in the content of the treatment; each suggests a limited real-world meaning of framing effects observed through forced exposure in experimental contexts.
In sum, the limitations in the existing social science literature on the impact of mass public shootings, and gun violence more generally, on public opinion suggest looking beyond descriptive analyses of aggregate data, as well as beyond variation in media coverage and frames. What is distinctly missing is research focusing on another important form of variation in exposure to gun violence via mass public shootings – spatial variation in proximity to where these events occur. Indeed, the literature currently lacks any investigation of whether exposure to mass shootings via proximity to where they occur is systematically related to citizens’ views on gun control. Nor has there been a study of whether individuals change their opinions over time in response to exposure to a mass shooting.
MASS SHOOTINGS IN CONTEXT: PROXIMITY AND THE SALIENCE OF GUN VIOLENCE
Three bodies of research provide a foundation for the expectation that living close to a mass shooting should influence preferences for gun control: (1) studies examining the impact of events on political attitudes, (2) a large and growing body of research on context and public opinion and (3) the political psychology literature on threat.
Scholars have long argued that prominent societal events can exert profound and lasting effects on citizens’ political attitudes and behavior.Footnote 24 For instance, Sears and ValentinoFootnote 25 find that exposure to high-intensity campaign events increases attention to politics among those who might otherwise be apathetic, and crystalizes opinions on issues covered prior to the election. Other scholars have found that extraordinary events like the assassination of President John F. Kennedy,Footnote 26 Hurricane KatrinaFootnote 27 and the 9/11 attacksFootnote 28 can indelibly alter evaluations of government, policy preferences, and a wide array of political attitudes and behaviors. Even local events, like the Watts Riots in Los Angeles, have been shown to influence the opinions of those living in the area.Footnote 29 In sum, these ‘focusing events’ highlight the need for legislative action by providing a stark example of why a particular policy proved ineffectual or out of line with public opinion.Footnote 30 In other words, focusing events provide citizens with an opportunity ‘to observe and evaluate government in action’Footnote 31 and thus create opportunities for feedback in the policy-making process. SearsFootnote 32 argues that ‘one criterion for assessing the robustness of a democracy is whether or not the citizenry responds sensibly to ongoing political events’.
One important consideration in thinking about the impact of events is their spatial component, as many potentially impactful events occur at specific locations (for example, protests) or exert their impact differentially across local areas (for example, natural disasters). Indeed, over the past decade there has been renewed scholarly interest in investigating how residential context affects policy preferences and voting behavior,Footnote 33 and this literature strongly suggests that the consequences of extraordinary events should be contextually dependent.Footnote 34 For example, with respect to environmental disasters, BishopFootnote 35 demonstrates that, while the Deepwater Horizon oil spill may have encouraged some people to favor stricter environmental regulations following the disaster, nearby residents whose communities directly benefited from the oil industry were more likely to support drilling even after the spill. Focusing on natural disasters, Velez and MartinFootnote 36 show that the Obama administration’s acuity in preparing for Hurricane Sandy resulted in the strongest gain in votes among citizens residing in areas most devastated by the hurricane. Turning to race-relevant events, EnosFootnote 37 finds that the large-scale demolition of public housing projects in Chicago, which resulted in the residential displacement of large numbers of African-American city residents, only impacted the voting behavior of white voters residing in close proximity to demolished buildings. Additionally, HopkinsFootnote 38 finds that events related to immigration (for example, the North American Free Trade Agreement, the Elian Gonzalez controversy, etc.) led to increases in anti-immigrant sentiment only among citizens residing in areas experiencing growth in immigrant populations. Lastly, Newman demonstrates that the 2008 Financial Crisis instigated perceptions of corporate profiteering and maldistribution only among citizens residing in economically depressed areas.Footnote 39 In short, the growing body of contextual research highlights the importance of situating events in space in order to understand the effects of prominent events such as mass public shootings on public opinion.
While each of these studies concerns unique events and different policy domains, the common thread of this research is that the ‘focusing’ quality of prominent events should vary as a function of one’s proximity to the event. As focusing events are theorized to increase awareness, information, and the formulation or updating of opinions about event-relevant issues, the contextual literature suggests that these processes should be more pronounced for citizens residing in close proximity to events. Beyond informational effects, two additional important components of proximity are tangibility and salience: being close to an event should make the forces, issues and – most importantly for our purposes – the threats it poses more palpable and exigent. The effect of the 9/11 attacks, for example, was undeniably more tangible for individuals living and working in lower Manhattan, as well as for residents of the Tri-State Area. Numerous studies demonstrate that those living within a 100-mile radius of the World Trade Center reported considerably higher levels of psychological distress and signs of post-traumatic stress disorder than those living farther away from the epicenter of the attacks.Footnote 40 While the mass media may draw attention to extraordinary events on the national stage, those residing close to a specific event should be more personally touched by it. This is especially important when the events in question involve a threat to property or well-being, such as with natural and environmental disasters, public health disasters, or incidents of random and egregious gun violence. In short, those residing closer to destructive events should have a more palpable experience of the incident, a heighted perception of threat and an increased sense of the risk of future victimization.
Thus the literature on perceived threat and anxiety helps us explain one potential mechanism through which proximity to mass shootings may impact their salience. First, we know that humans are acutely attuned to threatening stimuli in their environment.Footnote 41 Yet we also know that not all threats are created equal, and reactions to threatening stimuli should differ depending on the specific type of threat encountered. For instance, Huddy and colleagues have argued that it is necessary to distinguish between general threats to the nation and personal threats to the individual; the latter increase feelings of personal vulnerability and motivate self-protective action.Footnote 42 Personal threat, which arises from proximate physical danger, is likely to elicit more anxiety than remote threats to the nation.Footnote 43 For instance, approximately 75 per cent of New Yorkers were worried that they or their family members would be the victim of a future attack, compared to only 31 per cent of all Americans, in the weeks after the 9/11 attacks.Footnote 44 Others have found that those living in the Northeast expressed greater anxiety and felt more personally threatened by terrorism after 9/11 than Americans living in other regions of the country.Footnote 45 In addition, social or psychological proximity in the form of knowing someone who was victimized by a terrorist event heightened the sense of personal vulnerability and feelings of anxiety after 9/11.Footnote 46 In this sense, mass public shootings should serve as extraordinary focusing events that increase feelings of personal threat and anxiety among nearby residents, thus triggering the brain’s ‘surveillance system’.Footnote 47 These feelings of threat and anxiety, in turn, should motivate individuals to seek out information about the issue and to support actions that would reduce the threat of victimization by gun violence.
To summarize, the literature on focusing events suggests that a catastrophe like a mass shooting should increase public scrutiny of the issue of gun violence, as well as highlight the need for legislative action to remedy the problem. The research on contextual effects highlights the spatial component of mass shootings – that is, individuals residing in or near targeted communities bear the brunt of the tragedy, and by implication, should manifest more acute effects than those living farther away. Finally, the scholarly work on perceived threat suggests that individuals should respond to personally threatening stimuli with heightened vigilance, searching for ways to mitigate the danger and reduce feelings of vulnerability. Taken together, these three bodies of work lay a strong foundation for the expectation that proximity to a mass public shooting should make the threat of gun violence more palpable and salient, which in turn should stimulate demand for greater government restrictions on access to firearms. We translate this expectation into the core hypothesis of this article:
Hypothesis 1 (Proximity Hypothesis): Living in close proximity to a mass public shooting should generate support for gun control.
One important issue to address is possible heterogeneity in citizens’ interpretation of (and response to) events. Hypothesis 1 suggests that proximity to mass shootings should make the threat of gun violence more salient to all nearby residents irrespective of their previous attitudes or partisan leanings, and that this should increase support for gun control generally. This expectation is supported by research demonstrating that perceived threats affect policy preferences independently of partisanship, political ideology or even personality traits such as authoritarianism.Footnote 48 One alternative, however, is that the motivation to maintain one’s previously held beliefs about gun control influences how one interprets mass shootings.Footnote 49 Prior attitudes and partisanship are strong motivational factors in citizens’ political reasoning,Footnote 50 and may cause divergences in perceptions of culpability for mass shootings and beliefs concerning the subsequent reduction of risk.
Thus, there could be differences in how partisans perceive the issue of gun control, and polls show that Democrats and Republicans approach the issue from vastly difference perspectives.Footnote 51 While most citizens seem to agree that gun violence is a problem, they strongly disagree about how best to reduce such atrocities.Footnote 52 On the one hand, Democrats support gun control policies, which they believe will limit access to dangerous firearms, and by extension, reduce the likelihood of becoming a victim of a mass public shooting. Republicans, on the other hand, prefer policies that allow law-abiding citizens to carry firearms (concealed or otherwise) for their own self-defense. They argue that the only way to deter the use of force is by meeting that force head on. This partisan argument fits well with existing theories on motivated reasoning.Footnote 53 In short, countering our principal hypothesis, an important counterhypothesis predicts that the effect of proximity to mass public shootings will be conditional upon partisanship, with left-leaning citizens potentially becoming more supportive of gun control but right-leaning citizens either evincing no effect or becoming less supportive. This leads to the following hypothesis:
Hypothesis 2 (Partisan-Motivated Reasoning Hypothesis): Proximity to a mass public shooting should generate support for gun control among citizens identifying with the political left (Democrats), but not among those identifying with the political right (Republicans).
DATA AND METHODS
As an initial test of our hypotheses, we draw upon the 2010 CCES – Common Content.Footnote 54 In addition to offering the benefit of a very large national sample of adult Americans (N=55,400), the 2010 CCES includes (1) a measure of respondents’ preferences towards government regulation of firearms, (2) a range of essential control variables and (3) county Federal Information Processing Standards (FIPS) and zip codes for all respondents. The provision of geocodes enables us to locate respondents spatially, to allow us to test whether reported preferences for gun control are systematically related to the proximity of respondents’ place of residence to mass public shootings. The dependent variable for this analysis is a standard gun control question: ‘In general, do you feel that laws covering the sale of firearms should be made more strict, less strict, or kept as they are?’ From this item, we constructed an ordinal variable recoded to range: (1) ‘Less strict’ [19 per cent], (2) ‘Kept as they are’ [39.4 per cent] and (3) ‘More strict’ [41.6 per cent].
To measure our primary predictor – proximity to a mass public shooting – we first had to identify all known mass shooting events in the nation. For this task, we identified three different data sources: (1) the Stanford Geospatial Center’s ‘Mass Shootings in America’ project,Footnote 55 (2) USA Today’s ‘Behind the Bloodshed’ mass killing databaseFootnote 56 and (3) Mother Jones’ ‘A Guide to Mass Shootings in America’ database.Footnote 57 The differences between these databases are nuanced and revolve around whether (1) the database included events in which victims were killed only with guns or with other weapons (explosives, knives, motor vehicles, etc.), (2) the targets of the attack were family, government or random members of the general public, (3) the cut-off for being defined as a ‘mass’ event was 3, 4 or more than 4 people injured or killed, and (4) the time frame of the data collection.
We combined results from these databases into a single dataset,Footnote 58 retaining cases involving (1) firearms as the primary weapon used, (2) attacks on non-family members of the general public and (3) attacks in which at least three or more individuals were injured or killed.Footnote 59 Thus our ‘treatment’ of interest is exposure to incidents where a shooter opened fire in a public place (for example, school, shopping mall, movie theater, church, etc.) targeting seemingly random members of the public. Using these restrictions, we were left with a database containing N=210 mass public shooting events between 1966 to 2015; 50 per cent of these events occurred after 2007, and 75 per cent of these cases occurred after 1994. Therefore we see that mass shootings have been increasing over time, particularly over the past 15 to 20 years.Footnote 60 The average number killed in these events was 4.5 people (min=0, max=33 [Virginia Tech Shooting]), and the average number injured (excluding those killed) was 5 (min=0, max=58 [Movie Theater Shooting in Aurora, CO]). Figure 1 presents a map of this data, which marks each event’s location and varies the size of the markers according to the number of persons injured or killed.

Fig. 1 Location of mass public shootings in the continental United States, 1966–2015 Note: the size of the circle marker corresponds to the number of injured and killed. The map was created in TileMill®, with state lines drawn from 2014 cartographic boundary shapefiles from the US Census Bureau (https://www.census.gov/geo/maps-data/data/cbf/cbf_state.html).
Using this data, we constructed a measure labeled Proximity to Shooting, which captures the distance in miles between the centroid of a respondent’s zip code of residence and the exact location of the nearest mass shooting event.Footnote 61 Since we match this data with 2010 CCES data, we constructed the distance variable using mass shootings that occur beginning in 1966 and concluding in October 2010 (when the 2010 CCES data collection commenced). Thus for each respondent, this measure captures the distance between their (relatively approximate) place of residence and the nearest mass shooting. Importantly, for ease of interpretation of the results, we recoded this variable to range from farther to closer (in miles) to an event. The mean distance nationally (within the 2010 CCES) is 84 miles (54 miles), with a standard deviation of 112 miles (55 miles). The range of this variable in the CCES data is 870 to 0 miles, indicating some respondents lived as far as 870 miles away from the nearest shooting event, while some respondents lived in a zip code housing one or more mass shootings.Footnote 62 Our analysis includes controls for standard contextual and individual demographic variables, as well as key contextual variables that in theory may influence both (1) the location of mass shooting events and (2) respondents’ preferences over gun control policy. At the contextual level, our analysis includes zip code-level controls for median income, rates of college education, racial composition, population density and total population.Footnote 63 To separate out the effect of proximity to a mass shooting from variation in the occurrence of murders more generally, we include a control for the Murders Per Capita in a respondent’s county of residence.Footnote 64 It is also possible that the number of firearms in the local area influences the likelihood of a mass shooting and attitudes toward gun control. Thus, we control for Firearm Stores Per Capita within a respondent’s county.Footnote 65 Next, we include a control for Republican Vote in respondents’ county of residence,Footnote 66 as the level of liberalism versus conservatism in an area may influence the occurrence of mass shootings and is likely correlated to individual residents’ views on gun control. Last, as mass shootings tend to cluster in certain states (for example, California, New York, Texas, Washington, Colorado), we control for the number of shootings in a respondents’ state of residence (Shootings in State) to ensure that proximity to a mass shooting is not simply capturing residence in a state with more shooting events.
A few descriptive statistics are worth discussing. First, we find moderate negative correlations between Proximity to Shooting and Republican Vote (r=−0.28) and Firearm Stores Per Capita (r=−0.38), and weak positive correlations with zip code Population Density (r=0.21), Median Income (r=0.15 ) and College Education (r=0.15). Thus, rather than mass shootings being entirely random events, they instead appear to be slightly more likely to occur in liberal, semi-urban settings where guns are seemingly less prevalent. The possibility that these variables even remotely predict where shootings occur increases the importance of their inclusion as controls, as each factor is also plausibly linked to views on gun control.
Turning to the individual level, our analysis includes standard demographic controls (education, income, age, gender, race and residence in the South), as well as dummy variables for Homeowners and respondents with Children, as it is possible that owning a home or having children alters views on home safety and gun control. We include dummy variables for whether a respondent is enlisted in the Military, or whether they report being from a Military Family, as it is likely that individuals in the service, or with family members in the service, hold more favorable views towards gun rights. Last, we include controls for political and symbolic orientations (Party ID, Ideology and Religiosity), as these variables are known to influence a range of views on key political issues, including gun control. For more information about question wording and variable measurement, see Appendix A.
RESULTS
Given the ordinal nature of our dependent variable, as well as the hierarchical structure of our data (individual respondents embedded within zip codes), we estimated multilevel ordered-logistic regression models with random intercepts for zip code. The results from our analysis are presented in Column 1 of Table 1. As can be seen, the results strongly align with expectations, as an increase in proximity to a mass public shooting is associated with a significant increase in support for stricter gun control laws (β=0.334, s.e.=0.172, p<0.05).Footnote 67
Table 1 The Effect of Proximity to Mass Shootings on Preferences over Gun Control Policy

Note: entries are unstandardized regression coefficients from multilevel regression models with random intercepts (zip) estimated using gllamm in the software package Stata®. Reported significance levels are based upon two-tailed hypothesis tests. Source: 2010 Cooperative Congressional Election Study – Common Content. *p<0.05, **p<0.01, ***p<0.001
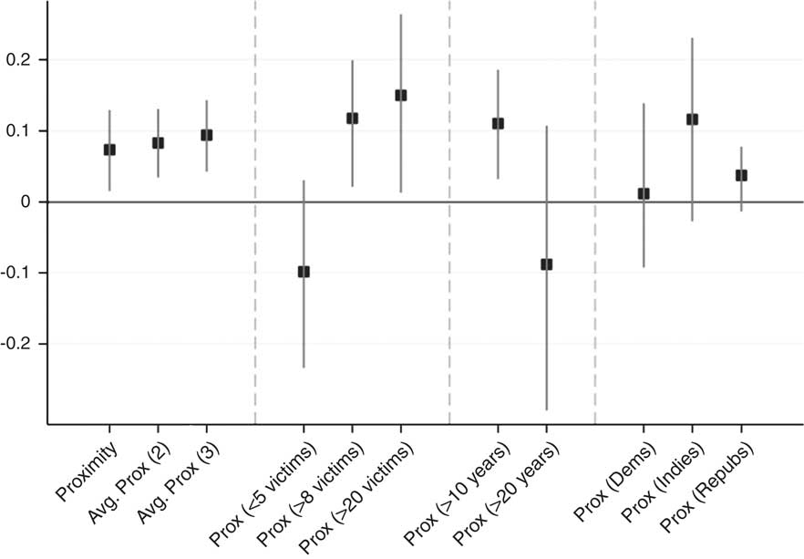
The size of this effect is displayed in Figure 2, which presents the first differences in the predicted probability of supporting stricter gun control laws associated with a change in Proximity to Shooting. The first plotted coefficient (labeled ‘Proximity’) indicates that going from respondents residing in zips the furthest away (Pr(Y)=0.322) to those housing a mass shooting (Pr(Y)=0.394) is associated with a 0.072 increase in the probability of desiring stricter gun regulations. One way of conceptualizing this effect is with an analogy to experimental research where the estimated quantity of interest is the difference in an outcome between the treated and untreated. In our case, respondents residing furthest away from a mass shooting reside in the state of Alaska, which is spatially separated from the continental US and did not experience a mass public shooting during the 1966 to 2010 time period.Footnote 68 Thus, the comparison between respondents in this zip code and those in zip codes housing a mass public shooting can be viewed as representing a comparison between ‘untreated’ Americans and those receiving the strongest ‘dose’ of the treatment by having a mass public shooting occur in their neighborhood. While a change of 0.072 appears to be a modest effect, it represents over a 20 per cent increase in the probability of supporting stricter gun laws.

Fig. 2 Impact of proximity to a mass public shooting on change in the probability of support for gun control Note: entries are point estimates for the first difference in the predicted probability of preferring gun control laws be made ‘more strict’ associated with changes in proximity variables, holding all control variables at their mean values. Vertical bars intersecting point estimates are 90 per cent confidence intervals. Each listed estimate is the effect from a separate model. ‘Proximity’ is Proximity to Shooting, and ‘Avg. Prox (2)’ and ‘Avg. Prox (3)’ are the average proximity to the nearest two or three shooting events. Changes in the proximity variables are from minimum to maximum values. Probabilities obtained from post-estimation analysis using CLARIFY (Tomz, Wittenberg, and King Reference Tomz, Wittenberg and King2003). Source: 2010 CCES.
Turning to the contextual controls in Table 1, we find some interesting but unsurprising effects. First, we see that residing in more population-dense, well-educated, politically liberal and racially diverse areas is associated with increased support for gun control. Countering these effects, however, we see that residing in areas with higher murder rates and more firearm stores per capita is associated with significant decreases in support for gun control. This latter effect strongly confirms the suspicion that areas with a strong ‘gun culture’ influence views on gun control. Indeed, moving from areas with less than 1 firearm store per 1,000 people to an area with 9.7 firearm stores per 1,000 people is associated with roughly a 0.40 decrease in the probability of preferring stricter gun control laws. This large effect is only paralleled by that of education rates, where moving from zip codes with no college-educated residents to those where every resident has at least a bachelor’s degree is associated with a 0.39 increase in the probability of supporting stricter gun laws. Thus while we observe statistically significant and substantively meaningful changes in support for gun control as a function of proximity to a mass public shooting, the most powerful effects are driven by variables related to local culture, with pronounced but expected differences emerging between respondents in rural, conservative and gun-heavy areas and those residing in urban, liberal areas with few firearm stores.
Shifting our focus to the individual-level controls, we see that gun control is more likely to be opposed by men, homeowners, individuals in the military or from military families, and by those identifying with the political right. Conversely, gun control is more likely to be supported by those of higher socio-economic status and by non-whites. In the sections that follow, we address key threats to causal inference stemming from our use of cross-sectional observational data. We demonstrate through a series of robustness checks, including the use of panel data, that our results hold.
Partisan-Motivated Reasoning
To test the partisan-motivated reasoning hypothesis, we re-estimated the model in Column 1 of Table 1 among Democrats, Independents and Republicans separately.Footnote 69 We present the results from this analysis in Figure 2, as well as Appendix Table B5. Figure 2 presents the change in the predicted probability of supporting stricter gun control laws associated with an increase in Proximity to Shooting among Democratic, Independent and Republican respondents. As can be seen, there are no significant differences in the effects of proximity when focusing on respondents situated at opposite ends, or in the middle, of the partisanship spectrum.Footnote 70 The effect of proximity is noticeably larger for Independents, and the pattern of results suggests that the policy preferences of Independents and Republicans are more responsive to proximity to mass shootings than those of Democrats. However, rather than these effects being due to Democrats being unfazed by mass shootings, closer inspection of the data suggests they likely derive from a ceiling effect: the average value of the dependent variable (ranging from 1 to 3) is 2.6 among Democrats, 2.1 among Independents and 1.85 among Republicans. Thus, we observe increasing room for the movement of policy opinion as we move from Democrats to Republicans. The takeaway point of these results is that the effect of Proximity to Shooting observed in the full sample is not driven by one specific partisan group in a manner that is statistically significant. In short, we fail to uncover evidence of motivated reasoning in reactions to mass shootings.
ROBUSTNESS CHECK: OMITTED VARIABLE BIAS
One concern with our results is that, despite the inclusion of a comprehensive range of controls, the observed association between proximity to a mass shooting and gun control attitudes may nonetheless be capturing the effect of an omitted variable. Such a variable might predict variation in both where mass shootings occur and gun control attitudes. This problem subsumes other related concerns, such as residential self-selection. One plausible omitted-variable explanation for our results is the possibility that, since mass shootings are slightly more likely to occur in liberal, semi-urban areas, our findings could be due to the association of these environmental characteristics with holding liberal views on gun policy, and to those with liberal views selecting into liberal environments where mass shootings are slightly more likely to occur. It is important to reiterate that this logic highlights the importance of controlling for population density, contextual partisanship and individual political orientations, which are included in all of our analyses.
Repeated Events, Magnitude and Recency
One method of assessing the robustness of our findings in light of this potential omitted variable problem is to determine whether our findings vary depending upon additional factors, which according to our theory should enhance or attenuate our initial findings. Here, we explore the role of (1) repeated events, (2) the magnitude of an event and (3) the time elapsed since an event. Each of these variables in theory should relate to the salience of mass shootings, and of gun violence more generally: (1) residing near repeated mass shootings may increase the salience of gun violence over that obtained by a single event, (2) mass shootings that take a greater toll on human life may make gun violence more salient than those with fewer casualties and injuries and (3) the time elapsed since a shooting may attenuate its theorized effect on the salience of gun violence. In short, a critical question for our research is, when analyzing repeated shootings or the effect of proximity to a shooting conditional upon the number of victims or time elapsed, do the results from these more nuanced analyses ‘behave’ in ways that accord with our hypothesis or with the omitted variable counterhypothesis?
We begin with repeated events: according to our theory, proximity to a mass shooting should make gun violence, and the risk of victimization, more salient. One logical deduction of this expectation is that residing near more than one mass shooting should increase the ‘treatment effect’. This leads to the following hypothesis:
Hypothesis 3 (Repeated Events Hypothesis): Residing near multiple mass shootings will be associated with more support for gun control than that observed for residing near a single mass shooting.
Turning to the magnitude of an event, one logical deduction of our theory is that mass shootings with high casualty and injured counts should have a larger ‘treatment effect’ than events with fewer killed or injured. Indeed, research on other events, such as natural disasters, finds that the magnitude of an event is associated with the size of its effect on experienced stressFootnote 71 and subsequent political behavior.Footnote 72 This leads to the following hypothesis:
Hypothesis 4 (Event Magnitude Hypothesis): The effect of proximity to a mass public shooting on support for gun control should increase with the number of victims.
Last, when looking at the time elapsed since shootings, a final logical deduction of our theory is that the salience of gun violence aroused by mass public shootings should dissipate as time passes. Research in psychology indicates that the time horizon of events affects how people think about such events, with temporally proximate events visualized in a more concrete and visceral fashion than temporally distant events.Footnote 73 This leads to the following hypothesis:
Hypothesis 5 (Dissipation Hypothesis): The effect of proximity to a mass public shooting on support for gun control should dissipate as time passes.
To test the repeated events hypothesis, we constructed a variable labeled Average Proximity, which measures the average distance in miles from the centroid of respondents’ zip code of residence to the two nearest mass shootings, as well as to the three nearest mass shootings. We re-estimate the model in Column 1 of Table 1 using these averaged proximity variables and present the results in Table 1, Columns 2 and 3. As can be seen, not only do the results hold, the statistical significance and size of the effects moderately increase (see Figure 2). While the increase is modest, the results do suggest that the impact of proximity to a mass public shooting on support for gun control strengthens when living close to more than one shooting. Moreover, when analyzing a different sample and dependent variable in the section below, we observe more drastic increases in support for gun control associated with proximity to multiple mass shootings (Table 4 and Figure 3 below). To test the Event Magnitude hypothesis, we re-estimated the model in Column 1 of Table 1 at varying values of the total number of victims (killed + injured) of an event and present the results in Figure 2, as well as Appendix Table B5. Figure 2 shows that when focusing only on mass shootings with fewer than five victims (25th percentile), there is no statistically significant difference in gun control preferences between those residing far versus close to the shooting. However, as we focus on events with an increasing number of total victims,Footnote 74 we see that the effect of proximity gains in significance and effect size. Last, with respect to our Dissipation hypothesis, we find that the results hold when focusing on shootings occurring more than 10 years ago (that is, before 2000),Footnote 75 but do not hold for shootings occurring more than 20 years ago (that is, before 1990).Footnote 76 Thus when we focus on proximity to shootings occurring farther back in time, we fail to uncover any systematic difference in gun control attitudes between those residing close to, compared to those residing far from, the events in question.Footnote 77 We only find a systematic relationship between proximity and gun control attitudes when focusing on mass shootings occurring within the past 20 years.

Fig. 3 Impact of change in proximity to shooting on change in probability of favoring gun control over gun rights Note: entries are point estimates for the first difference in the predicted probability of believing gun control IS more important than gun rights associated with changes in the values of key predictor variables. Vertical bars intersecting point estimates are 90 per cent confidence intervals. ‘Proximity’ is Proximity to Shooting, and ‘Avg. Prox (2)’ and ‘Avg. Prox (3)’ are the average proximity to the nearest two or three shooting events. Changes in the proximity variables are from minimum to maximum values. Probabilities obtained from post-estimation analysis using CLARIFY (Tomz, Wittenberg and King Reference Tomz, Wittenberg and King2003). Source: 2010 Pew Survey.
Taken together, these findings help shore up potential doubt about the results presented in Table 1. When subjected to more nuanced analysis, we demonstrate that the pattern of results varies according to our theory: proximity to mass shootings – as well as proximity to repeated events, more horrific events and more recent events – increases the salience of gun violence, and thus garners support for gun control. These patterns of results work to render an omitted variable explanation for our initial results increasingly untenable. Indeed, the clearest way to discount this additional evidence would be to make the argument that mass shooters are not only more likely to stage their attacks in areas where residents favor gun control, but are also more likely to kill and injure more people in such areas. An omitted-variable explanation for our main results would also require arguing that attackers in 1970–90 were randomly generated across environs and/or were indiscriminate about the location of their attacks, but that this process fundamentally changed over the past two decades. We find these counterarguments untenable. For example, while mass shootings are slightly more likely to occur in population-dense, Democratic voting areas, the total number of victims of a mass shooting is entirely uncorrelated to Population Density (r=−0.05) and Republican Vote (r=0.08).
Preferences Over Treatment-Irrelevant Policy Issues
If the omitted-variable counterhypothesis is correct, and mass shootings tend to occur in areas that, for example, are more politically liberal, then the relationship we observe between proximity to shootings and gun control attitudes should also be observed for other political issues. Thus an important additional (placebo) test of the robustness of our results is whether the effects we observe for proximity to a mass shooting on gun control attitudes influence ‘treatment-irrelevant’ political attitudes. To test this, we estimated the model in Column 1 of Table 1 substituting for gun control four presumably treatment-irrelevant policy issues: (1) belief in Climate Change (2) support for a woman’s right to an Abortion, (3) support for Gay Marriage and (4) support for granting legal status to undocumented workers living in the United States (Immigration). For full question wordings for these policy items, see Appendix A. We present the results from this analysis in Table 2.
Table 2 The Effect of Proximity to Mass Shootings on Other Policy Attitudes

Note: entries are unstandardized regression coefficients from multilevel regression models with random intercepts (zip) estimated using gllamm and xtlogit in the software package Stata®. Reported significance levels are based upon two-tailed hypothesis tests. Source: 2010 Cooperative Congressional Election Study – Common Content. ^p<0.10, *p<0.05, **p<0.01, ***p<0.001
Table 2 demonstrates that proximity to a mass shooting does not increase the holding of liberal positions on any of these other prominent issues. On the contrary, we only uncover a systematic relationship between Proximity to Shooting and preferences over gun control laws. These null findings further bolster not only our confidence in our original finding, but the causal inference we seek to make from these findings.
Retest Using Panel Data
In a final attempt to address the omitted variable counterhypothesis, as well as the more general issue of the limitations on causal inference from the use of cross-sectional data, we conducted an analysis of the 2010–12 CCES Panel Study.Footnote 78 An N=9,500 subset of the total N=55,400 participants in the 2010 CCES was re-interviewed in October and November 2012. One benefit of using this panel is its large size and low attrition rate relative to other popular panels (for example, American National Election Study panels). Further, as noted by Ansolebehere and Schaffner,Footnote 79 the demographic and partisan characteristics of the panel respondents do not significantly differ from those of the larger 2010 CCES cross-section, and few socio-demographic or partisan differences emerged in panel attrition. Important for our purposes, the 2012 re-interview asked respondents the same gun control question contained in the 2010 CCES questionnaire. Thus using this panel, we are able to assess whether changes over time in panel respondents’ preferences over gun control systematically correspond to the occurrence of a mass shooting near their place of residence between panel waves.
We created a dichotomous treatment variable coded 1 if a respondent resided in a zip code within 100 miles of a mass shooting occurring between survey waves (December 2010 to September 2012), and 0 otherwise. There were 0 mass shootings in 2010 after the first CCES wave, six mass shootings in 2011, and ten in 2012 prior to the 2012 CCES re-interview (see Appendix C for a list of these events). A total of 621 respondents in the panel lived 100 miles or closer to one of these sixteen events. Importantly, we restrict our analysis to respondents whose zip codes did not change between survey waves, thus helping to ensure that those coded 1 on our treatment variable received the treatment occurring in their reported area of residence between survey waves.
For our analysis, we estimated a static-score lagged dependent variable model, where we regress 2012 gun control attitudes on 2010 gun control attitudes, our dichotomous treatment variable, and the set of 2010 controls used in Table 1.Footnote 80 We present the results from this analysis in Table 3. As can be seen, even after controlling for prior attitudes – which is expectedly one of the most powerful predictors in the model – having a mass shooting occur close by between survey waves is associated with a significant increase in the probability of favoring stricter gun control laws. Indeed, post-estimation analysis of predicted probabilities indicates a 0.06 increase in the probability of preferring stricter gun control laws as a function of having a mass shooting occur within 100 miles of one’s place of residence between survey waves. While this effect appears rather modest, it is quite impressive in light of the massive variance in 2012 gun control preferences accounted for by 2010 preferences. Indeed, a minimum to maximum value change (that is, preferring less to more strict gun control laws) in 2010 reported gun control preferences is associated with nearly an 0.80 increase in the probability of reporting a preference for stricter laws in 2012.
Table 3 Local Occurrence of a Mass Shooting and Support for Gun Control Over Time

Note: entries are unstandardized regression coefficients from a multilevel regression model with a random intercept (zip) estimated using gllamm in the software package Stata®. Reported significance levels are based upon two-tailed hypothesis tests. Source: 2010–2012 Cooperative Congressional Election Study Panel. *p<0.05, **p<0.01
Thus we see that residing near a mass shooting between waves explains a non-negligible amount of the variance left over after explaining 2012 attitudes with prior attitudes. We should also note that we conducted a placebo test to assess whether our treatment influenced gun control preferences reported pre-treatment in 2010. The results from this test are presented in Appendix Table B9. In short, we found that while our treatment variable significantly predicted 2012 attitudes, it had no effect on 2010 attitudes.
REPLICATION OF RESULTS
An additional concern with the results presented thus far is that they largely rely on a single dataset and dependent variable, and thus may be an anomaly that fails to appear outside of the 2010 CCES. As a further test of the robustness of our findings, we sought to replicate our results using a separate national sample of adult Americans, as well as a distinct dependent variable. For this purpose, we draw on the 2010 Political Independents Survey (N=3,500) conducted by the Pew Research Center for the People & the Press.Footnote 81 This survey contained nearly all the measures included in the CCES (except homeownership); thus we were able to perform a very clean replication test. The dependent variable for this analysis is a question asking respondents: ‘What do you think is more important – to protect the right of Americans to own guns, OR to control gun ownership?’ From this item, we constructed a dichotomous item coded (1) ‘Control gun ownership’[47.5 per cent] or (0) ‘Protect the right of Americans to own guns’ [48.6 per cent].Footnote 82 We present the results from our analysis in Table 4 and Figure 3. For information about question wording and variable measurement, see Appendix A.
Table 4 The Effect of Proximity to Mass ShootingsoOn Chosen Trade-Off Between Gun Rights vs. Gun Control

Note: entries are unstandardized regression coefficients from multilevel logistic regression models with random intercepts (zip) estimated using xtlogit in the software package Stata®. Reported significance levels are based upon two-tailed hypothesis tests. Source: September 2010 Political Independents Survey, Pew Research Center for the People & the Press. ^p<0.10, *p<0.05, **p<0.01, ***p<0.001
Beginning with Table 4, the results reveal that key effects observed with the 2010 CCES data replicate when focusing on a different measure of views on gun control, as well as an entirely different national sample. Interestingly, when looking at Figure 3, we see that the size of the effects of proximity to a shooting are even more dramatic in the Pew data than in the CCES data when focusing on proximity to more than one mass shooting. Further, similar to what was found with the CCES data, we see that the estimated size of the effect of proximity to a mass shooting is (1) enhanced when focusing on events with more victims and (2) attenuated when focusing on events occurring further back in time (for full results, see Appendix Table B10). While not presented in Figure 3, there were no significant differences in the effect of proximity by partisanship (see Table B10), which provides additional evidence against the Partisan-Motivated Reasoning hypothesis. These results corroborate our initial findings and strongly suggest that our findings are not an artifact of any single dataset or dependent variable.
CONCLUSION
Former President Obama personally addressed the nation more than a dozen times following a major mass public shooting during his tenure in office. What was surprisingly absent from these speeches – at least prior to the 2012 Sandy Hook mass shooting, which appears to be a watershed moment (at least for the Obama Administration) – was the issue of guns as a causal factor for the rising gun violence.Footnote 83
In fact, members of Congress from both political parties have been largely reticent on the issue, reluctant to pass legislation regulating firearms for fear that they lack sufficient public support to challenge powerful gun rights’ groups. Nearing the end of his time in office, the former president’s attitude appears to have shifted from one of political caution to outright indignation. Visibly frustrated by the spate of recent mass shootings, particularly the shooting at Umqua Community College in Roseburg, Oregon, which wounded seventeen people (nine fatally), Obama pleaded with news organizations to push the issue to the top of the agenda and publish statistics comparing deaths in the United States from terrorist attacks to those resulting from gun violence. Obama concluded: ‘This is a political choice that we make to allow this to happen every few months in America […] if you think this is a problem, then you should expect your elected officials to reflect your views’.Footnote 84
Indeed, our findings suggest that Americans – Democrats and Republicans alike – are responsive to tragic events like mass public shootings, albeit in a contextually dependent way. In contrast to claims made by vocal gun rights’ advocates, we uncover evidence that citizens living near mass public shootings are more likely to prefer gun control. One unfortunate implication of our findings is that movement away from a permissive culture of gun rights towards majority support for strict gun regulations may rest upon the occurrence of more mass public shootings. To be sure, this implication places gun violence and gun control on par with policy-feedback loops observed in many other issue domains, such as environmental regulation, disaster preparedness and regulation of speculative trading – where the breaking of opinion inertia and status quo policy requires exogenous shocks that inflict pain on the nation.
Our findings also make several important contributions to the literature, and suggest important directions for future research. First, our research addresses a visible gap in the scholarly literature on the effects of mass shootings on public opinion. While there is currently a wide swath of descriptive analysis of aggregate polling data on gun legislation, there is a surprising dearth of individual-level research on the effects of mass shootings. Secondly, we provide empirical evidence of an important class of focusing events, characterized as intentional criminal acts designed to inflict mass casualties on random members of the public. Much of the extant public policy literature on focusing events concerns the effects of unintentional events such as natural disasters or environmental accidents on public opinion. Thirdly, we add to the literature on contextual effects by providing a strong empirical demonstration that Americans’ preferences over gun control are responsive to proximate instances of egregious gun violence.
This contextual finding is important in light of recent work by Hopkins,Footnote 85 who uncovered surprising non-responsiveness in Americans’ policy attitudes to various policy-relevant factors operative in their environment. Indeed, while Hopkins finds that citizens’ policy attitudes are not responsive to local pollution, income inequality or the presence of military bases, they are responsive to crime, unemployment and immigrant populations – stimuli reasoned by Hopkins to be threat laden and publicized by the mass media. Thus our findings add to these by showing an important instance of citizens’ responsiveness to their surrounding environment. Finally, we stipulate a potential causal mechanism through which mass shootings may operate on gun control attitudes – namely, that these events heighten the perceived threat of gun violence, which in theory should induce greater scrutiny of policy-relevant information, increased sensitivity to risk and anxiety-reducing actions intended to mitigate the threat, among other things.
Future research should build upon our efforts by exploring the proposed causal mechanism relating to threat. More specifically, scholars could test whether exposure to nearby mass shootings heightens threat perceptions, thereby inducing anxiety. In addition, scholars could search for behavioral data linked to the gun policy domain. Of particular interest would be behavioral change resulting from residing near a mass shooting (akin to what scholars have observed in the wake of the 9/11 attacks). For example, we might expect individuals living near mass a shooting to seek out information related to the issue of gun control, discuss the issue among members of their social network, potentially shift their partisan loyalties and possibly contact their legislators to press for policy change (as is often the case for family members of those injured or killed in a mass shooting). Indeed, our findings present an important but incomplete piece of a potential policy-feedback loop, as changes to public opinion may be insufficient to stimulate policy change without opinion changes translating into political action aimed at influencing policy. Thus an important step for future research in this area would be to assess the implications of our findings with respect to mass political behavior, as well as to assess whether the spatial pattern of shootings and opinion change we uncover corresponds to potential spatial variation in changes to local gun ordinances.






