Introduction
In 2002 China was labelled ‘the next wave country’ by the National Intelligence Council in the US as China, together with four other countries (Ethiopia, India, Nigeria and Russia), was expected to have a serious HIV problem with a large population being at risk of HIV infection by 2010 (Intelligence Community Assessment, 2002). It was projected that by the year 2010 ten to twenty million people could become infected with HIV in China (Intelligence Community Assessment, 2002; Eberstadt, Reference Eberstadt2002; Zhang, Reference Zhang2004; Gu & Renwick, Reference Gu and Renwick2008). However, in contrast, according to the recent UNAIDS estimates, 740,000 (540,000–1,000,000) people (adults and children) lived with HIV/AIDS in China in 2009 (UNAIDS, 2010). The estimated prevalence rate in China in 2009 was 0.05% (0.04–0.07%), and the estimated HIV prevalence among adults of reproductive age (15–49 years) was 0.1% (UNAIDS, 2010). This large difference between projections and the real situation might suggest that projections were calculated inaccurately as they were based on unrealistic assumptions and potentially used poor quality data. Alternatively, this difference could suggest that China is a success story that has managed to slow down and possibly control the HIV epidemic. Despite the estimated low prevalence of HIV in China, the absolute number of people living with HIV/AIDS is large and growing and moving beyond high-risk groups to the general population, mainly through the heterosexual route of transmission (UNGASS, 2008; Merli & Hertog, Reference Merli and Hertog2010). China is characterized by demographic features unique in the world, such as oversupply of males for sexual partners and rapid fertility decline since the 1970s, which affect the Chinese population age structure (Merli & Hertog, Reference Merli and Hertog2010). This oversupply of males and associated potential squeeze in the number of marriage and sexual partners will lead to an increase in occurrence of sex with commercial sex workers and will become an important contributor to the further spread of HIV through heterosexual transmission (Merli & Hertog, Reference Merli and Hertog2010). China's early stage of the HIV epidemic, its large and diverse population, as well as its unique demographic features, make China an interesting case for studying changes in HIV awareness in a general population of women of reproductive age. This paper systematically examines the evolution of HIV awareness among women in China between 1997 and 2005. The results of this analysis will feed directly into the evaluation of existing HIV prevention programmes in China and might suggest implications for both general policy as well as targeted interventions. These findings might also be helpful for designing and assessing the effectiveness of interventions for countries where the HIV epidemic is still at an early stage and where epidemics are still not stabilized (for example, for countries in Easter Europe and Central Asia) (UNAIDS, 2010).
Background
In the situation where a vaccine against HIV is not available, the main force against the spread of HIV is prevention. HIV prevention strategies have several dimensions. HIV prevention efforts can only be effective if a combination of behavioural, structural and biomedical dimensions is considered when HIV prevention interventions and programmes are designed and implemented (Merson et al., Reference Merson, O'Malley, Serwadda and Apisuk2008; Padian et al., Reference Padian, Buvé, Balkus, Serwadda and Cates2008; Coates et al., Reference Coates, Richter and Caceres2008; Gupta et al., Reference Gupta, Parkhurst, Ogden, Aggleton and Mahal2008). To increase HIV awareness and knowledge is one of the main components of the behavioural dimension jigsaw (Snelling et al., Reference Snelling, Rasugu Omariba, Hong, Georgiades, Racine and Boyle2007), and this is especially crucial in countries such as China where the HIV epidemic is still at an early stage. One of the main tasks of HIV prevention worldwide is the reduction of risky behaviours. Information, i.e. HIV awareness and HIV knowledge, is a prerequisite of risk reduction behaviour as in order to change behaviours it is necessary to know that the behaviour is risky (Fisher & Fisher, Reference Fisher and Fisher1992; Ross & Kelaher, Reference Ross, Kelaher and Sherr1993; Ingham, Reference Ingham, Cleland and Ferry1995; Ambati et al., Reference Ambati, Ambati and Rao1997). Therefore, it is important to study the dynamics of HIV awareness in different cultural contexts. HIV awareness is typically measured by one question (Have you ever heard of HIV/AIDS?) in surveys. The more mature an HIV epidemic becomes, the higher is the level of HIV awareness observed in countries, and with time it approaches saturation among different groups of people. However, the early stage of the HIV epidemic in China allows the study of HIV awareness as it has not yet reached saturation point and still differs substantially by population strata. This paper acknowledges the importance of both HIV awareness and HIV knowledge but focuses specifically on HIV awareness as the first step in the investigation of HIV awareness and HIV knowledge in China.
HIV awareness is consistently increasing all over the world (Snelling et al., Reference Snelling, Rasugu Omariba, Hong, Georgiades, Racine and Boyle2007). The change in HIV awareness can be attributed to a number of reasons such as change in political commitment, interventions, individual change and change in population structure or population characteristics, as well as to the increased level of the HIV epidemic in the country, which could foster increased awareness, or the increased level of access to antiretroviral treatment for HIV-positive people. It is important to establish what drives the change in HIV awareness in different contexts, as well as what brings larger change in HIV awareness.
Political commitment plays a crucial role in the fight against HIV in every country of the world (UN, 2001). In 2001 a crucial report HIV/AIDS: China's Titanic Peril was produced by the UN Theme Group on HIV/AIDS in China (UNAIDS, 2002). This document provided an update of the HIV/AIDS situation in China and concluded that China was at the brink of a serious HIV epidemic and that the government should take the situation seriously, otherwise it could be too late (UNAIDS, 2002). At that time the Chinese government denied the existence of the problem in the country. A significant change in the government's attitude towards the problem of HIV/AIDS was observed in December 2003. Wen Jiabao, the Chinese Premier, brought HIV/AIDS to the governmental agenda and the problem of HIV/AIDS has been given the highest priority. Following from this, many positive changes have happened in the field of HIV/AIDS in China (Zhang, Reference Zhang2004; He & Rehnstorm, Reference He and Rehnstrom2005; Wu, Reference Wu2005; Gill & Okie, Reference Gill and Okie2007).
The priority to advance HIV awareness and HIV knowledge among all groups of people was already stressed in the 1994 Cairo International Conference on Population and Development (ICPD, 1994). In response to this programme services in China have started providing education on HIV/AIDS for rural women, young people, as well as for migrants (Fang & Kaufman, Reference Fang and Kaufman2008). This was later reiterated in the UNFPA country programmes in China, which aimed to promote client-centred reproductive health and family planning services in China and to assess the state of reproductive health and family planning in the country, as well as to help design necessary interventions in order to achieve goals formulated at the ICPD. As a part of the intervention efforts, two surveys were conducted in 2003 and 2005 in 30 selected counties within 30 provinces across China under the Fifth Country Programme (CP5) (UNFPA, 2003). HIV prevention and improvement of the level of HIV awareness and knowledge among the general population were the core themes for the CP5 (UNFPA, 2003).
One of the recommendations from the CP5 Baseline report was that intervention measures should place an additional emphasis on issues related to HIV/AIDS (Li et al., Reference Li, Guo, Zhao, Liu, Wu and Brown2004a). The evaluation report concluded that there was an urgent need to increase the level of HIV awareness and HIV knowledge among different strata of the Chinese population. Young people, both males and females, as well as women (especially those unmarried and currently married) from the Western region of the country (which is the least developed part of China), as well as those from the Central region, were identified as being least aware of HIV as 30% of them had never heard of HIV/AIDS (Li et al., Reference Li, Guo, Zhao, Liu, Wu and Brown2004a). These lagging-behind groups of people were then specifically targeted in the areas covered by the CP5 interventions. A major focus of the CP5 interventions was the dissemination of standard education materials on HIV/AIDS prevention, including wall posters, leaflets, pamphlets and video materials explicitly focusing on prevention of HIV transmission and reducing stigma and discrimination and providing information about care and treatment of people living with HIV/AIDS. Health care providers, including doctors, nurses and community health workers, were provided with training sessions on HIV prevention and treatment compliance strategies, including partner referral and follow-up and counselling, as well as on emphasizing the relevance of reducing stigma and discrimination against those living with HIV/AIDS.
A number of studies have examined HIV awareness in China. However, the majority examined the HIV awareness of specific groups of the population such as university students (Li et al., Reference Li, Guo, Zhao, Liu, Wu and Padmadas2004b; Wu, Reference Wu2006; Tan et al., Reference Tan, Pan, Zhou, Wang and Xie2007; Zuo et al., Reference Zuo, Wu and Li2007), health care workers (Wu et al., Reference Wu, Qi, Zeng and Detels1999), STD clinic patients (Wang et al., Reference Wang, Jiang, Siegal, Falck and Carlson2001) and migrants or the so-called floating population (Dong et al., Reference Dong, Li and Zhao2003; Guo & Xu Reference Guo and Xu2006; Zhu & Tan, Reference Zhu and Tan2006; Zhou et al., Reference Zhou, Sun, Mantell, Ru and Wen2007). Other studies investigated the HIV awareness of pregnant women (Wu et al., Reference Wu, Liu, Li, Li and Jiang2007), female sex workers (Lau et al., Reference Lau, Tsui, Siah and Zhang2002; Huang et al., Reference Huang, Henderson, Pan and Cohen2004; Hesketh et al., Reference Hesketh, Zhang and Qiang2005; Qi et al., Reference Qi, Zhou and Yan2007), market vendors (Cao et al., Reference Cao, Wang, Qin and Hu2006) and entertainment industry workers (Pei & Wang, Reference Pei and Wang2007). Some of these studies did not use appropriate sample designs and, therefore, the generalization of the results, even within these groups, was questionable. A small number of studies examined the level of HIV knowledge in China in the general population at one point in time (Manchester, Reference Manchester2002; Holtzman et al., Reference Holtzman, Chen, Zhang, Hsia, Rubinson, Bao, Mo and McQueen2003; Zhu & Tan, Reference Zhu and Tan2006). While data exist, to date there has not been any systematic analysis that has examined the changes in HIV awareness in the general population of women in China over time. Therefore, the analysis presented in this paper will address this gap by conducting a thorough investigation of the evolution of HIV awareness in China among women of reproductive age.
Methods
Data
Data sources that were available and which asked a standard HIV awareness question (Have you ever heard of HIV/AIDS?) were used for the analysis. Four cross-sectional datasets for women of reproductive age (15–49 years) were analysed: the China National Population and Reproductive Health Survey 1997, the China National Family Planning and Reproductive Health Survey 2001, as well as the China UNFPA Reproductive Health and Family Planning Surveys 2003 (CP5 Baseline survey) and 2005 (CP5 Endline survey). The first two surveys are representative of the whole of China, whereas the other two surveys are representative of 30 counties that were purposefully selected from the 30 provinces in China (Jiang, Reference Jiang2000; Pan et al., Reference Pan, Zhang and Wang2003; Li et al., Reference Li, Lin, Gao, Stanton, Fang, Yin and Wu2004c; Li et al., Reference Li, Qi, Gao, Wu, Wu, Brown and Padmadas2008). HIV prevention was not a governmental priority in China before 2003 but the situation changed and prevention efforts became more pronounced in the whole country after 2003. Intervention programmes conducted by UNFPA were introduced in these counties between 2003 and 2005.
The 1997 survey used a two-stage sample: first 1041 communities were selected, then 15,213 women were selected within those communities (Jiang, Reference Jiang2000). The sample of women in this survey is self-weighted (Jiang, Reference Jiang2000). The quality of the data collected met all objectives the survey team had (Jiang, Reference Jiang2000).
The 2001 survey was conducted in the same 1041 communities that were selected for the 1997 survey (Pan et al., Reference Pan, Zhang and Wang2003). All women of reproductive age in these communities were interviewed for this survey. The sample of women in this survey is not self-weighted. The quality of data was also satisfactory according to the survey team (Pan et al., Reference Pan, Zhang and Wang2003).
The last two surveys (CP5 Baseline and Endline surveys) are not nationally representative. They were conducted in 30 purposely selected counties from the 30 provinces in China, and are representative of those 30 counties in China. In every province the best performing county was put forward for participation in the programme. Reproductive health and family planning knowledge, including HIV awareness and knowledge of individuals and knowledge about family planning services, were the primary interests of the survey.
The 2003 survey used a stratified multi-stage sample of women aged 15–49 years (Li et al., Reference Li, Lin, Gao, Stanton, Fang, Yin and Wu2004c). Thirty counties were stratified into the three regions (Eastern, Central and Western) and then regions were stratified by urban and rural areas. The sample size for each region was equal. Within each of the three regions, 35 townships were first selected (Li et al., Reference Li, Lin, Gao, Stanton, Fang, Yin and Wu2004c). Systematic random sampling with probabilities proportional to population of women aged 15–49 within each township was used for the selection of townships within each stratum in the Baseline survey (Li et al., Reference Li, Lin, Gao, Stanton, Fang, Yin and Wu2004c). Then within each township four communities were selected using systematic random sampling with probabilities proportional to the population of women aged 15–49 years within each community. At the final stage of the sample selection a systematic random sample of 20 women was selected from a list ordered by age of all women aged 15–49 years within each selected community (Li et al., Reference Li, Lin, Gao, Stanton, Fang, Yin and Wu2004c).
In the 2005 survey a main change in sampling occurred: the sampling procedure was moved from the sample of individuals to the sample of households (Li et al., Reference Li, Qi, Gao, Wu, Wu, Brown and Padmadas2008). The 2005 survey used a stratified multi-stage sample of households (Li et al., Reference Li, Qi, Gao, Wu, Wu, Brown and Padmadas2008). Thirty counties were first stratified into the three regions (Eastern, Central and Western) and then regions were stratified by urban and rural areas. The sample size for each region was equal. Within each of the three regions, 50 townships were first selected (Li et al., Reference Li, Qi, Gao, Wu, Wu, Brown and Padmadas2008). Systematic random sampling with probabilities proportional to the number of households within each township was used for the selection of townships in the Endline survey (Li et al., Reference Li, Qi, Gao, Wu, Wu, Brown and Padmadas2008). Then within each township four communities were selected using systematic random sampling with probabilities proportional to the number of households within each community. In the final stage, a systematic random sample of fifteen households was selected for a list ordered by local geography, and all women of reproductive age were considered eligible for the survey in these households (Li et al., Reference Li, Qi, Gao, Wu, Wu, Brown and Padmadas2008). Women were asked similar question at two points of time (2003 and 2005), which allows trends to be studied over time in the context of the 30 selected counties. However, the surveys are cross-sectional in nature and different samples of women were selected for the two surveys.
Due to the different representativeness levels of the two sets of surveys (1997–2001 and 2003–2005) and the similarity of the representation levels within these two sets, these two periods of time will be considered separately in this analysis.
Logistic regression analysis
Binary logistic regression analysis was used to model HIV awareness at different years in China and to initially estimate the effects of different factors on the probability of being aware of HIV in the Chinese context among women of reproductive age at four points in time. The dependent variable was binary coded as ‘1’ for women who reported being aware of HIV and ‘0’ otherwise. In our case, as the comparability between surveys is more important than the model selection process, all variables that are comparable within the two sets of surveys (age, residence, education, ethnicity and marital status within the first set of surveys; and the same variables together with region, occupation and media exposure within the second set of surveys) were included in the analysis. No model selection was performed. As comparability between surveys is of main importance, only the main effects discussed above were included in the models and interactions were not tested for significance or added to the final models.
Decomposition analysis
Decomposition analysis is a widely used technique in different disciplines (Oaxaca, Reference Oaxaca1973; Gomulka & Stern, Reference Gomulka and Stern1990; Nielsen, Reference Nielsen1998; Canudas Romo, Reference Canudas Romo2003) that helps to separate the essential components and to explain the phenomena under study in more detail. Researchers investigating different aspects of health have recently started employing the technique (Charasse-Pouélé & Fournier, Reference Charasse-Pouélé and Fournier2006; Jacobson et al., Reference Jacobson, Robinson and Bluthenthal2007; González Álvarez & Clavero Barranquero, Reference González Álvarez and Clavero Barranquero2009; Stewart Williams, Reference Stewart Williams2009). One of the decomposition methods is regression decomposition (Canudas Romo, Reference Canudas Romo2003). The main aim of this is to disentangle the two main components driving a total change: a change in a population structure and a change in relationships or effect sizes (coefficients), i.e. do more people have a university degree this year than in a previous year versus does a higher proportion of people with only primary education know about HIV this year than in a previous year? The total change contains both elements and decomposition analysis allows the separation of these two different components.
Decomposition analysis has been applied to different models: linear models (Oaxaca, Reference Oaxaca1973; Blinder, Reference Blinder1973), probit models (Gomulka & Stern, Reference Gomulka and Stern1990), logit (Nielsen, Reference Nielsen1998) and other models. In this study it was performed for logistic regression. Its use for the logistic regression model has advantages when compared with linear models as further decomposition analysis, i.e. decomposition of the second component into effects of specific characteristics of individuals, is possible. Oaxaca & Ransom (Reference Oaxaca and Ransom1999) in their note highlighted that detailed decomposition analysis is misleading for linear regressions due to the fact that the arbitrary choice of reference category in categorical variables will lead to differences in estimated intercepts and coefficients. However, this problem will not affect decomposition analysis using logistic regression as calculated predicted probabilities for different observations are not affected by the parameterization of the model as attention is not specifically on coefficients that might change because of changes in baseline categories.
The main interest of this study was to decompose the total change in the proportions of women being aware of HIV at different points in time (1997 and 2001; 2003 and 2005) into the change due to difference in population structure and due to the change in HIV awareness that is influenced by the external or environmental factors such as interventions and political commitment. Detailed decomposition analysis was conducted in order to establish which sub-groups experienced the larger changes in effect sizes, or in other words which variables contribute most to the total change in relationship or effect sizes between HIV awareness and characteristics of women. If no interventions are implemented or interventions are not effective, similar changes in probabilities are expected to be observed across different groups of women. However, if interventions are effective, larger changes are expected within the groups that were targeted by specific interventions.
The bootstrap method (Efron & Tibshirani, Reference Efron and Tibshirani1993) was used to estimate confidence intervals for the probabilities of being aware of HIV in order to determine if observed changes in probabilities of being aware of HIV at different points in time are statistically significant or if they are observed simply by chance.
Results
Descriptive analysis
The literature suggests that the following factors are associated with HIV awareness in the Chinese context: sex, age, education, income, place of residence, type of job or occupation and media exposure (Manchester, Reference Manchester2002; Dong et al., Reference Dong, Li and Zhao2003; Li et al., Reference Li, Guo, Zhao, Liu, Wu and Padmadas2004b; Tan et al., Reference Tan, Pan, Zhou, Wang and Xie2007; Wu et al., Reference Wu, Liu, Li, Li and Jiang2007). Variations in HIV awareness by the selected characteristics (if available) are presented in Table 1. Since in the Chinese context HIV awareness was initially promoted through family planning services, which tend to focus mostly on married women (Qian et al., Reference Qian, Tang and Garner2004), it was considered to be important to include marital status as an explanatory variable when modelling HIV awareness and, therefore, HIV awareness by marital status is also presented in Table 1.
Table 1. HIV awareness by selected characteristics of women, China, 1997–2005

The results in Table 1 suggest that, as expected, HIV awareness increased with time among the different groups of women. They also suggest that the percentage of women with no education decreased from 21.4% of women being illiterate in the 1997 dataset, to 16.6% in the 2001 dataset, and also from 9.2% in the 2003 data to only 4.3% in the 2005 data (see Table 1). This change can partially be attributed to policies related to the eradication of illiteracy in China and partially to differences in the survey representativeness levels between the two sets of surveys. Another example is the change in female rural–urban composition: the proportion of women reported being from rural areas also decreased with time (see Table 1). This change partially reflects the process of urbanization in China. Therefore, differences in the level of HIV awareness can be attributed partially to variations in population structure. It is hypothesized that, due to the short time period between two sets of consecutive surveys, the difference in population structure is not expected to be large between 1997 and 2001 or between 2003 and 2005 and, therefore, changes in population structure may not be the main driver of the change in HIV awareness between two consecutive surveys.
Logistic regressions
Table 2 presents results of the binary logistic regression models for the four different surveys. HIV awareness was the outcome variable. For Models 1 and 2 (for the 1997 and 2001 surveys respectively) the following variables were used as explanatory variables: residence, ethnicity, age, education and marital status of women; for Models 3 and 4 (for the 2003 and 2005 surveys respectively) the same five variables were used for the analysis, together with region, occupation and media exposure (radio, TV and newspaper), as these variables were available in the 2003 and 2005 surveys and they were also reported as being important in the literature in determining HIV awareness (Manchester, Reference Manchester2002; Dong et al., Reference Dong, Li and Zhao2003; Wu et al., Reference Wu, Liu, Li, Li and Jiang2007). In both Models 1 and 2 the following variables were found to be significantly associated with HIV awareness: respondent's residence, age, ethnicity and education. Marital status was not significant in either model. The fact that the same variables were found to be significantly associated with HIV awareness in 1997 and 2001 suggests that, between 1997 and 2001, there were no specific interventions that were targeting specific groups of women, or if interventions were in place, they were not effective. If interventions were in place and were effective, HIV awareness would be expected to become more homogenous among groups of women and fewer variables would be expected to be associated with HIV awareness in 2001. Education, as expected, was found to be an important predictor of HIV awareness among women in both models. The higher the level of education, the higher the odds of being aware of HIV. Women of Han ethnicity (which represents more than 90% of the population of China) were found to be more likely to be aware of HIV in both models than woman who belong to ethnic minorities. The same was correct for women from urban areas when compared with women from rural areas. Slightly different relations between age and HIV awareness are observed at different points in time: in 1997 women aged 20–29 had a significantly higher probability of being aware of HIV than younger women, whereas in 2001 all women older than 20 had a higher probability of being aware of HIV than younger women.
Table 2. Results of logistic regressions

***p<0.001; **p<0.01; *p<0.05; ref.: reference category.
In Model 3 it was found that HIV awareness was significantly associated with women's residence, ethnicity, education, marital status, region, occupation and exposure to radio, TV and newspapers. In Model 4 it was found that HIV awareness was significantly associated only with ethnicity, education and exposure to TV and newspapers. In 2005, significant difference at the 5% level in HIV awareness is observed between women aged 20–29 and younger women, with younger women having a lower probability of being aware of HIV than women aged 20–29. Education, as expected, was found to be an important predictor of HIV awareness among women in both models, with higher education indicating higher odds of being aware of HIV. In both models women of Han ethnicity have higher odds of being aware of HIV than their non-Han counterparts. Region, residence, marital status, occupation and exposure to radio effects were significant in 2003 but they were not significant in 2005. The trend in reduction in the number of significant variables from Model 3 to 4 suggests that HIV awareness becomes more homogeneous across the 30 counties in China, with the main differential factors being the level of education, ethnicity and exposure to TV and newspapers. These results might suggest that interventions and campaigns that targeted specific groups of women, including the UNFPA interventions, which were introduced in these countries in 2003, were effective. As there were other interventions in place in China and the design of the surveys does not allow controlling for them (no controls are available), it is unfortunately impossible to assess the specific effect of the UNFPA intervention in this study.
Decomposition analysis
The differences in the predicted probabilities of being aware of HIV between 1997 and 2001, and between 2003 and 2005, that were obtained using the four logistic regression models discussed earlier were decomposed. Table 3 presents the main results of the decomposition analysis. Average predicted probabilities during each year of interest can be found along the diagonals of both parts of the table. The upper part of the table presents results for 1997 and 2001 and the lower part those for 2003 and 2005. When moving down the column, average predicted probabilities of HIV awareness are shown, obtained by applying the same logistic regression equation coefficients to different samples of women (first 1997 logistic regression equation coefficients were obtained for 1997 data and then they were applied to 2001 data, then 2001 logistic regression coefficients were obtained for 2001 data and then they were applied to 1997; the same process was conducted for 2003 and 2005 data). The difference between these two predicted probabilities is due to the change in population structure. When going across the row, average predicted probabilities of HIV awareness are shown, obtained by applying different logistic regression equation coefficients (βs) to the given sample. The difference between these two predicted probabilities is due to the change in effect sizes.
Table 3. Results of decomposition analysis

Table 3 shows that the average predicted probabilities of HIV awareness increase with time. The total absolute change in HIV awareness between 1997 and 2001 is 0.092 or 9.2 percentage points. The total change in HIV awareness between 2003 and 2005 is 11.7 percentage points. The change that can be attributed to the change in population structure between 1997 and 2001 is 2.5 percentage points, and between 2003 and 2005 it is also 2.5 percentage points. As hypothesized, this change is not large due to the short period of time between the two consecutive surveys and not enough time for the population structure to experience substantial changes. The rest of the change can be attributed to the change in relationships or in the effect sizes between HIV awareness and explanatory variables over time. Between 1997 and 2001 this change is 6.7 percentage points, and between 2003 and 2005 it is 9.2 percentage points.
Detailed decomposition analysis
In order to identify which subgroups experienced the larger changes in effect sizes in relation to HIV awareness, a detailed decomposition analysis was conducted. If various interventions effectively target specific groups of women, larger changes in HIV awareness within these groups would be expected across time. On the other hand, if no interventions are implemented or if they are not effective, similar or no changes in probabilities of HIV awareness are expected to be observed across different groups of women. Figures 1, 2 and 3 present the results of the detailed decomposition analysis, which can help visualize the differences and similarities in HIV awareness of different groups of women. The first two figures show the average predicted probabilities of HIV awareness for different groups of women together with confidence intervals obtained using the bootstrap method. Figure 1 presents predicted probabilities of being aware of HIV for specific groups of women that were obtained by applying the two different logistic regression equation coefficients (1997 and 2001) to the 2001 sample. It shows a change in relationships or effect sizes between 1997 and 2001 for different subpopulations defined by the five main demographic characteristics of Chinese women. No groups experienced substantial changes in awareness between 1997 and 2001 and the changes are more or less evenly spread across different groups, with slightly bigger changes observed in groups that were lagging behind (rural women, women with no education and only primary education and women between 30 and 49 years of age). These relatively similar and not substantial changes can be attributed to the fact that the government was denying the existence of the problem at that time and, therefore, not much was happening in the field of HIV prevention. The greater change among rural women (Fig. 1a) might be partially attributed to the information about dangerous blood donation in rural parts of China that existed at that time (Zaller et al., Reference Zaller, Nelson, Ness, Wen, Bai and Shan2005; Adams et al., Reference Adams, Erwin and Le2009). The average probability of being aware of HIV is greater for women who were married or remarried and widowed or divorced in 2001 than in 1997 when compared with women who were never married (Fig. 1e). This might be explained by the fact that information regarding HIV was available for women mainly through family planning services (Fang & Kaufman, Reference Fang and Kaufman2008) and never married women were not using them. This finding might also indicate that family planning agencies in China continue to play an important role in HIV prevention.

Fig. 1. Change in effect sizes for groups of women in China between 1997 and 2001.

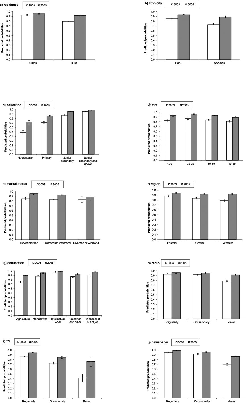
Fig. 2. Change in effect sizes for groups of women in China between 2003 and 2005.

Fig. 3. Differences between changes in effect sizes at two points in time for specific groups of women in China for two sets of surveys.
Figure 2 presents the predicted probabilities obtained by applying the two different logistic regression equation coefficients (2003 and 2005) to the 2005 sample. It shows change in effect sizes between 2003 and 2005 for different subpopulations defined by ten main characteristics of Chinese women in 30 purposefully selected counties in China. The figure shows that between 2003 and 2005 there was a substantial change in HIV awareness for rural women (Fig. 2a), women who belong to minorities (Fig. 2b), those with no education (large change of 22 percentage points) and with only primary education (Fig. 2c), as well as for women residing in Central and Western regions (Fig. 2f). For example, Fig. 2f shows the change in size effects between 2003 and 2005 by regions. The larger change in effect sizes can be seen in the Western region as well as in the Central region, which might be attributed to the effectiveness of different prevention governmental and non-governmental programmes and campaigns, including the UNFPA interventions, as special attention was directed to women from Central and Western parts of the country. With time, lower awareness groups are catching up and the gaps between the groups are closing.
A substantial change in HIV awareness between these two years also happened to women who reported no exposure to radio, TV and newspapers (Fig. 2h–j). This suggests the effectiveness of interventions other than ones that were introduced at the local and country levels to reach women through mass media.
Confidence intervals for differences in mean predicted probabilities between two points in time, which were obtained using the bootstrap method, suggest that all differences in probabilities of being aware of HIV between 1997 and 2001, as well as between 2003 and 2005, are significant, with the exception of widowed or divorced women for both sets of surveys, women who were in the age group below 20 years for the years 1997 and 2001 and women who reported having a professional job for the years 2003 and 2005.
Figure 3 shows the differences between the changes in size effects at two points in time for specific groups of women for two sets of surveys. When conducting this comparison it is important to bear in mind that different variables were used for the two decomposition analyses (the region, occupation and media exposure variables were missing in the analysis of 1997 and 2001 surveys) and the two sets of surveys represented different populations. However, the main purpose of this graph is to show the general pattern in the level of change of the size of the effects between the two sets of consecutive surveys. As expected, Fig. 3 shows substantial differences for specific sub-groups of women between the two sets of surveys. For all groups of women except women with senior secondary education and above and divorced or widowed women, the change between 2003 and 2005 was higher than between 1997 and 2001. The change was almost the same for women with the highest educational level and for women from urban areas. The reason for this might be an already high level of HIV awareness among these two groups at 1997 and 2003. This figure shows substantial difference in changes for women from non-Han backgrounds and from rural areas, for women with none or with only primary education, and for women aged 15–29 years and those who were never married. The findings suggest that greater changes happened to these specific groups between 2003 and 2005 than between 1997 and 2001, which might in turn suggest effectiveness of interventions that were introduced in the country after 2003. The results might also suggest that either never-married women started being included in reproductive health services provision or they were targeted specifically through some interventions. As mentioned earlier, young people were specifically targeted by the UNFPA interventions as they were least aware of HIV. Figure 3 shows that for women below the age of 20 the change is substantially larger between 2003 and 2005 than between previous years, which might suggest that some of the existing interventions, including the UNFPA interventions, might have reached younger women and succeeded in increasing the HIV awareness among this group.
Figure 3 shows the effect of interventions in the whole country and in 30 counties selected for the CP5. If interventions and campaigns were not effective, we would have expected more or less the same changes across all groups. If efforts and measures triggered by the political commitment to fight HIV were not effective, the level of change would have been expected to be less substantial between 2003 and 2005 and would have been more similar to the level between 1997 and 2001.
Discussion
This paper analysed HIV awareness among Chinese women between 1997 and 2005. The analysis confirms that China has responded well to generating population-level awareness of HIV in a short period of time. The results of the study suggest that the situation with HIV awareness in China is similar to other parts of the world, with the level of HIV awareness increasing over time. The patterns of HIV awareness increase by intra-population groups are similar to the ones observed in the African context in the 1990s (Ingham, Reference Ingham, Cleland and Ferry1995) or obtained in earlier studies conducted in the Chinese context (Wu et al., Reference Wu, Qi, Zeng and Detels1999; Wang et al., Reference Wang, Jiang, Siegal, Falck and Carlson2001; Lau et al., Reference Lau, Tsui, Siah and Zhang2002; Manchester, Reference Manchester2002; Dong et al., Reference Dong, Li and Zhao2003; Holtzman et al., Reference Holtzman, Chen, Zhang, Hsia, Rubinson, Bao, Mo and McQueen2003; Huang et al., Reference Huang, Henderson, Pan and Cohen2004; Li et al., Reference Li, Guo, Zhao, Liu, Wu and Padmadas2004b; Hesketh et al., Reference Hesketh, Zhang and Qiang2005; Cao et al., Reference Cao, Wang, Qin and Hu2006; Guo & Xu, Reference Guo and Xu2006; Wu, Reference Wu2006; Zhu & Tan, Reference Zhu and Tan2006; Pei & Wang, Reference Pei and Wang2007; Qi et al., Reference Qi, Zhou and Yan2007; Tan et al., Reference Tan, Pan, Zhou, Wang and Xie2007; Wu et al., Reference Wu, Liu, Li, Li and Jiang2007; Zhou et al., Reference Zhou, Sun, Mantell, Ru and Wen2007; Zuo et al., Reference Zuo, Wu and Li2007). In 2005, education remained one of the main factors associated with HIV awareness, the other main factors being ethnicity and exposure to TV and newspapers.
A smaller part of the observed change in HIV awareness over time is attributed to change in population structure, in other words to demographic change, but a larger part is due to changes in environment such as in political commitment, successful interventions and health promotion campaigns. However, part of the change in HIV awareness between the two sets of consecutive surveys is also due to the differences in representativeness levels of surveys and designs, which are different for different surveys used for the analysis. With time, lower awareness groups are catching up and gaps between groups with initially different awareness levels are closing. The joint efforts of interventions and programmes introduced in the whole of China and in 30 counties, including the UNFPA interventions, have been effective in closing the gaps between groups between 2003 and 2005, as suggested by the larger increase in HIV awareness in specific groups of women between 2003 and 2005 than between 1997 and 2001. The increases observed between 1997 and 2001 are more evenly spread between groups of women with different demographic characteristics, whereas between 2003 and 2005 increases are more pronounced among the groups that were targeted by different interventions and programmes, including the UNFPA interventions.
The main limitation of the results obtained through the decomposition analysis is the limited number of variables that were available for the analysis for Models 1 and 2. It is possible that there are other factors that could explain variation in the response variable but were not included in the logistic regression models because of lack of data. However, despite this limitation the results yielded a better understanding of evolution of HIV awareness in China. Also, decomposition analysis is a good technique that allows the separation of different components that contribute to the total change in HIV awareness between different points in time. Data only being available for women represents another limitation of the study. However, this limitation is also observed in other countries' data. Yet another limitation of the present analysis is that the results of the decomposition analysis between 2003 and 2005 cannot be generalized to the whole country, but are indicative of the possibility that if the right interventions are in place, the level of HIV awareness can be substantially improved within a short period of time. The analysis also could not establish any causal associations because of the cross-sectional nature of the data available for the analysis. The analysis would have benefited from including a study that collected information about all HIV awareness and HIV knowledge-related interventions that took place in China before 2005. This would have helped to control for the environment, e.g. interventions and programmes. It would also have helped to identify if there are specific interventions in place in China targeting groups such as MSM (men who have sex with men), which might be excluded from the provision performed through family planning services. Unfortunately, such a study has not been conducted. The results of this type of study would help to isolate specific effects of the interventions, including UNFPA interventions, which were implemented in China between 2003 and 2005, and to assess the effectiveness of these interventions rather than just speculate about their potential effectiveness. Finally, another limitation of the study is that it is not possible to isolate the specific effects of the UNFPA interventions due to the limitations of data such as absence of control observations.
As mentioned earlier, the main target groups for the UNFPA interventions were women who were lagging behind in terms of HIV awareness and HIV knowledge – specifically, unmarried young women, rural women, and women who live in the Central and Western regions of China. Knowing the targets of interventions between 2003 and 2005, it might be suggested that the interventions by UNFPA, together with other interventions and programmes in place, were effective and helpful in closing the gaps between lower awareness groups and higher HIV awareness groups of women between 2003 and 2005. The fact that the government changed its attitude towards HIV and many interventions and campaigns started in the country in the year 2003 might also have contributed to the change in effect sizes.
This study's analysis suggests the importance of political commitment and the importance of educational campaigns and interventions for improvements in HIV awareness. The paper presents an application of a regression decomposition analysis technique in the context of HIV awareness in China. Decomposition analysis provided a useful tool for assessing the change in levels of HIV awareness in China using cross-sectional data when longitudinal data were not available. It also allowed the assessment of macro-level change in HIV awareness in China over time by isolating the change in HIV awareness that was not due to change in individual demographic characteristics of women. It could be speculated that increased HIV awareness among different groups of women in China might have contributed to the adoption of protective behaviours such as avoidance of illegal blood donation and increased rate of condom use, which in turn might have influenced the decrease in speed of spread of HIV infection across the country. However, in order to establish these links, further work needs to be conducted.
Acknowledgments
Dr Olga Maslovskaya was funded by the Economic and Social Research Council (ESRC 1+3 scholarship: PTA-031-2006-00185), which facilitated her contribution. The authors thank the editorial team and the anonymous referees for providing useful suggestions and comments. They also thank Professor Nyovani J. Madise for her valuable advice. They are grateful to Professor Li Bohua from the China Population and Development Research Centre (CPDRC) in Beijing, China, for access to the China National Population and Reproductive Health Survey 1997 and the China National Family Planning and Reproductive Health Survey 2001. An earlier version of this paper was presented at the Division of Social Statistics Applications and Policy Seminar Series (University of Southampton) and at the 2008 British Society of Population Studies (BSPS) Conference, and the authors are grateful for the useful comments received at these presentations.





