Introduction
The incidence in Europe of community-acquired pneumonia (CAP), one of the main causes of morbidity and mortality in adults, ranges between 1.07 and 1.23 per 1000 persons-year [Reference Torres1], and increases with age (6.2 per 1000 persons-year in persons aged ⩾65 years and 16.87 per 1000 persons-year in those aged ⩾90 years) [Reference Rivero-Calle2], leading to a raised hospitalisation rate.
CAP is one of the most common reasons for hospitalisation in patients aged ⩾65 years. Coinciding with Italian data [Reference Petrosillo, Cataldo and Pea3], in Spain there is an increase in hospitalisation according to age group (65–74 years age group 3.94 per 1000, ⩾85 years age group 25.85 per 1000) [Reference de Miguel-Díez4].
Identification of the aetiological agent is essential for conforming treatment, but is often slow and only identifies 50% of cases [Reference Mandell5]. Therefore, empirical treatment of CAP within the first hours after emergency room admission is recommended. The diagnosis may be guided by the epidemiology of microorganisms in the community and the risk factors of the patients, especially when Pseudomonas aeruginosa infection is suspected in patients with advanced chronic obstructive pulmonary disease (COPD) or generalised bronchiectasis [Reference Menéndez6, Reference Gutiérrez7]. The pneumococcal and/or influenza vaccination history should also be taken into account, and may have some protective effects [Reference Cruzeta, Schneider and Traebert8–Reference Domínguez13] but is not always obtained and, in any case, early empirical treatment is essential.
There is low concordance (6.9%) between the antibiotic treatment regimens used and those recommended in international clinical practice guidelines (CPG) [Reference Mandell5, Reference Lim14–Reference Robinson, Robinson and Whitby16]. According to Rossio, in patients aged ⩾65 years hospitalised and treated empirically, there was conforming treatment according to CPG guidelines [Reference Rossio17] in only 38.8%.
Successful antimicrobial therapy in CAP is based on patient adherence, which is determined by the treatment duration. Treatments lasting <7 days have shown better adherence and, in addition, the prolonged use of antibiotics is related to a higher frequency of adverse events, prolongs the hospital stay increasing costs, and favours the appearance of micro-organisms multiresistant to available antimicrobials. The Infectious Diseases Society of America/American Thoracic Society consensus guidelines on the management of CAP in adults (IDSA/ATS) [Reference Mandell5] and the European Respiratory Society and European Society for Clinical Microbiology and Infectious Diseases guidelines [Reference Woodhead15] postulate that the duration of antimicrobial treatment should not be >8 days in patients with a correct response. This was confirmed by a recent multicentre, randomised clinical trial conducted in university hospitals in Spain [Reference Uranga18].
Studies have compared antibiotic treatment regimens (monotherapy or combined) according to microbiological suspicion and the severity of the patient with pneumonia, documented by internationally used prognostic scales (Pneumonia Severity Index (PSI) or CURB-65) [Reference Eccles19] and 30/90-day mortality [Reference Postma20, Reference van Werkhoven, Postma and Bonten21]. The effectiveness of the preferred monotherapy with β-lactams was not inferior to combination therapy with macrolides or monotherapy with fluoroquinolones.
In Spain, the treatment of patients hospitalised due to CAP normally follows the recommendations of the Spanish Society of Pulmonology and Thoracic Surgery (SEPAR) guidelines [Reference Menéndez6], which are widely disseminated among specialists in pulmonology, internal medicine and intensive and critical care medicine. The objective of this study was to determine the correctness of empirical antibiotic treatment according to the SEPAR recommendations in patients hospitalised due to CAP.
Methods
Study design
A multicentre study was carried out in people aged ⩾65 years hospitalised due to CAP in 20 hospitals in seven Spanish regions (Catalonia, the Basque Country, Castile and Leon, Andalusia, Madrid, Navarra and the Valencian Community) during two influenza seasons (2013–2014 and 2014–2015, October to March both).
Study population
Cases were people aged ⩾65 years admitted to any of the participating hospitals through the emergency department for ⩾24 h with a diagnosis of pneumonia whose chest radiograph showed a recent pulmonary infiltrate compatible with pneumonia accompanied by ⩾1 of the following symptoms: cough, pleural chest pain, dyspnoea, fever or hypothermia in the last 24 h or altered respiratory auscultation not explained by other causes.
We excluded institutionalised patients, those with nosocomial pneumonia (onset ⩾2 days after hospital admission), those residing in another Spanish region and those who did not sign the informed consent.
Data collection and monitoring
All participating hospitals had a team of health professionals (nurses, physicians) specifically trained to administrate a questionnaire that collected patient information through a personal interview with the patient or a close family member or caregiver when necessary. Medical records and vaccination cards were reviewed.
The questionnaire collected socio-demographic data, comorbidities, history of vaccination against influenza and/or pneumococcus and antibiotics administered during admission.
Variables of interest
The independent variables collected were: autonomous community of hospital, age, sex, history of pneumonia in the last 2 years (yes/no), alcohol consumption (none/sporadic vs. yes), current smoking (non-smoker/smoker/ex-smoker), Barthel index at admission (scale from 0 to 100 that assesses the level of independence in the basic activities of daily life), influenza season (2013–2014/2014–2015), hospital visits in the last year and primary care visits in the last year (<3/⩾3), mortality during 30 days after hospitalisation, stay days, FINE scale (I–III, IV–V), type of microorganism isolated, comorbidities (diabetes without complications, obesity, renal failure without haemodialysis, congestive heart disease, disabling neurological disease, seizure disorders and other pulmonary diseases), administration of seasonal influenza and 23-valent pneumococcal polysaccharide vaccines.
Dependent variables were conforming of antibiotic treatment defined according to the regimen administered and according to compliance with the SEPAR [Reference Menéndez6] norm that differentiates patient treatment according to intensive care unit (ICU) admission or not ICU (Table 1) and on the days of hospital stay. In addition, CPGs differentiate treatment according to suspected pneumonia due to P. aeruginosa, and therefore cases with empirical treatment against this microorganism were specifically analysed. Conforming treatment was defined using two variables: the correctness of antibiotic treatment and compliance with the conforming of treatment and treatment duration according to SEPAR guidelines.
Table 1. Classification of conforming/unconforming antibiotic treatment in patients with community-acquired pneumonia, according to the antibiotics received, intensive care unit admission and duration of antibiotic treatment

Adapted from the recommendations of the Spanish Society of Pulmonology and Thoracic Surgery (SEPAR).
Statistical analysis
Descriptive statistics were described using means and standard deviation (s.d.). The bivariate analysis was applied to qualitative variables in the comparison between patients with and without conforming of antibiotic treatment using the χ 2 test, the odds ratio (OR) and 95% confidence intervals (CI). To control the effect of possible variations in patient care between autonomous communities, a forward generalised linear model was used, taking the patient as the first level and the autonomous community as the second level. Two models were applied, one with the random effect of the autonomous communities and another including patient variables (fixed effects). The analysis was made using IBM SPSS 19.0 and R software. A value of P < 0.05 was considered statistically significant.
Ethical considerations
The study was approved by the ethics committees of the participating hospitals and the confidentiality of patient information was preserved through the use of identification codes.
Results
A total of 1929 cases of CAP were collected, of which 12 were excluded because the ICU admission status was unknown and 60 because there was no antibiotic treatment. Therefore, 1857 patients were finally analysed, of whom 1775 were hospitalised on the ward and 82 required ICU admission (Fig. 1). The mean age was 78.6 ± 7.4 years, and 39% were female. Monotherapy with β-lactams was administered in 3% of patients, moxifloxacin in 1.8% and levofloxacin in 26.6% of the total.

Fig. 1. Algorithm of the classification of hospitalised cases of pneumonia and percentage of adequacy of antibiotic treatment (at the foot of the figure).
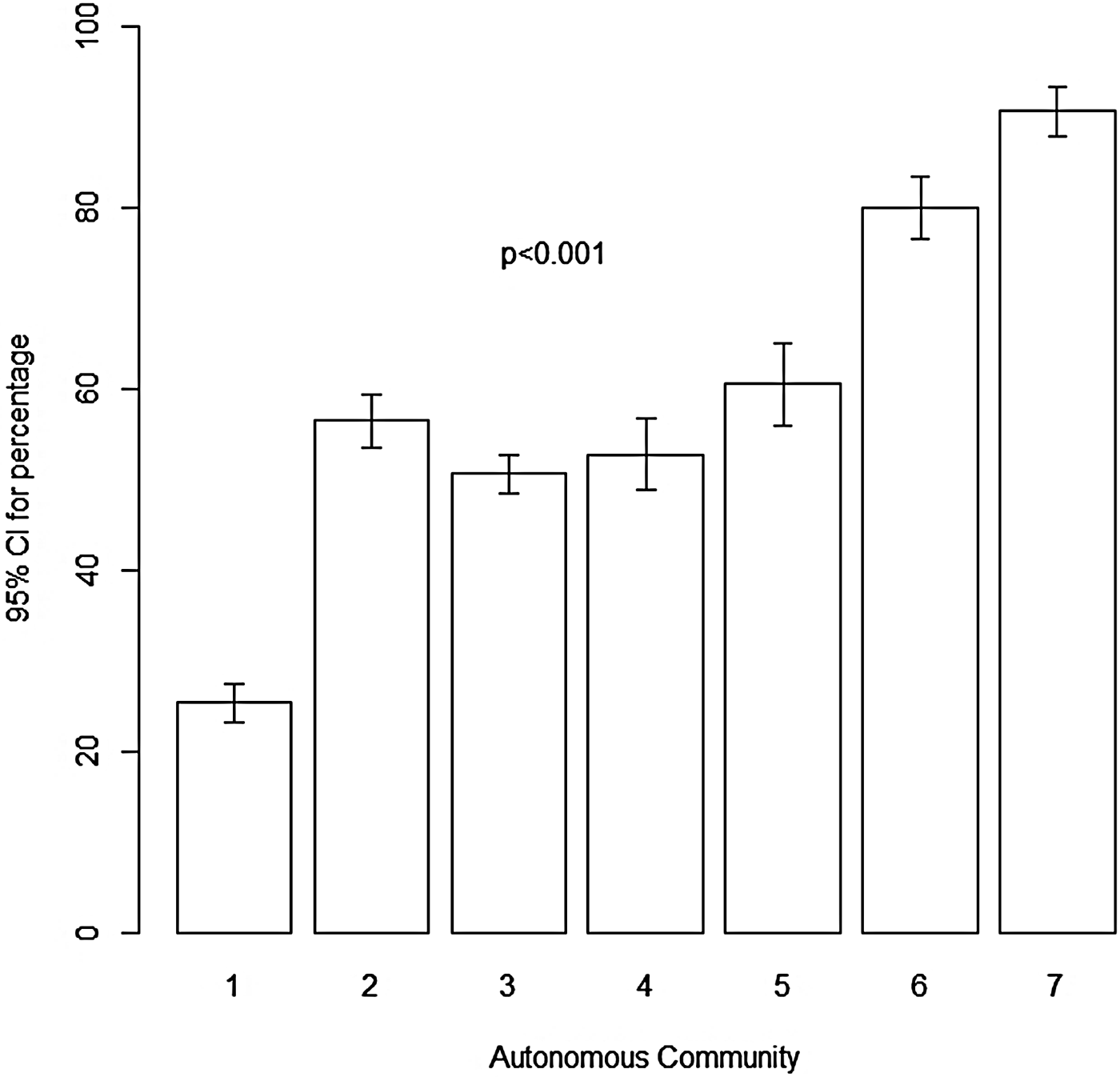
Conforming of antibiotic treatment without taking into account treatment duration was 51.4% (95% CI 49.1–53.8) in patients without ICU admission. The variables associated with conforming treatment were COPD (OR 1.24, 95% CI 1.01–1.52) and absence of renal failure (OR 1.66, 95% CI 1.30–2.13), congestive heart disease (OR 1.71, 95% CI 1.39–2.12), haemoglobinopathy or anaemia (OR 1.50, 95% CI 1.16–1.92), cognitive dysfunction (OR 1.69, 95% CI 1.27–2.26) and seizure disorders (OR 2.26, 95% CI 1.06–4.81) (Table 2). The mean stay was significantly shorter in patients with conforming treatment (8.89 ± 8.18 vs. 11.54 ± 10.41, P < 0.001), and mortality after 30 days of hospitalisation was worse in patients with uncompliant treatment (OR 1.48, 95% CI 1.03–2.14). No differences in conforming treatment were found according to the FINE score. Conforming of antibiotic treatment differed according to autonomous community (P < 0.001, Fig. 2). The most frequent unconforming treatments in monotherapy (395 patients) were β-lactamics (96.5%), and in combination therapy were β-lactamic + fluoroquinolone with 83.3%. In both therapies, autonomous communities ranged between 1% and 42% of unconforming.

Fig. 2. Percentage of conforming treatment with 95% confidence interval in hospitalised patients according to autonomous community of residence of the patient.
Table 2. Socio-demographic variables, comorbidities and vaccination history in patients not admitted to the ICU according to conforming of antibiotic treatment

Of the 82 cases requiring ICU admission, pseudomonas infection was suspected in 13 (15.9%), according to the type of treatment administered. Treatment compliance with SEPAR guidelines was 58% in patients without suspicion of P. aeruginosa and 38% in those with suspicion of pseudomonas infection. Conforming treatment was more frequent in cases collected in the 2013–14 season than those collected in the 2014–15 season (OR 2.60, 95% CI 1.05–6.44); patients admitted to the ICU with <3 hospital visits in the last year had better treatment compliance than those with ⩾3 hospital visits (OR 3.04, 95% CI 1.23–7.52) (Table 3).
Table 3. Distribution of socio-demographic variables, comorbidities and history of vaccination among patients admitted to the ICU according to conforming of antibiotic treatment

The multilevel analysis showed similar results between the two models (Table 4). In patients without ICU admission, the variables significantly associated with conforming treatment, taking into account the effect of autonomous communities, were renal failure without haemodialysis (OR 1.49, 95% CI 1.15–1.95) and cognitive dysfunction (OR 1.71, 95% CI 1.25–2.35), with a significant trend to significance for COPD (OR 1.23, 95% CI 0.99–1.54). In patients admitted to the ICU, the variables associated with conforming treatment were <3 hospital visits in the last year (OR 2.70, 95% CI 1.03–7.12), also adjusted by autonomous community. The intraclass correlation coefficient was 22% for patients without ICU admission and 5% for those admitted to the ICU.
Table 4. Multilevel logistic regression analysis of the factors associated with conforming of antibiotic treatment in patients with pneumonia

ICU, intensive care unit; OR, odds ratio; CI, confidence interval; ICC, intraclass correlation coefficient; model 0, random effects only; model 1, random effects + fixed effects.
When considering the treatments administered, taking into account treatment duration, conforming treatment was 26% (95% CI 23–28%) in hospitalised patients and 30% (95% CI 18–42%) in patients admitted to the ICU.
Discussion
The results of this study show that the conforming of empirical treatment according to the SEPAR guidelines in patients aged ⩾65 years hospitalised due to CAP was greater than that found in European studies (38.8%) [Reference Rossio17] following the international recommendations of the IDSA/ATS. The international Community-Acquired Pneumonia Organization (CAPO) observational study, using data from hospitalised patients in Venezuela, found a correctness of 55% [Reference Levy22], although patients were younger (mean of 54 years).
The comorbidities associated with conforming treatment in patients without ICU admission, after controlling for the effect of autonomous communities, were the absence of renal failure and cognitive dysfunction. This may suggest that, in patients with a history of COPD, physicians provide more conforming empirical antibiotic treatment when the most frequent microorganisms are suspected, and also choose antibiotic regimens that do not require dose adjustment in cases of impaired renal function due to age or associated comorbidities [Reference Petrosillo, Cataldo and Pea3]. With respect to the lack of conforming treatment in patients with cognitive impairment, it may be assumed that the information obtained on comorbidities through relatives or caregivers is not sufficiently precise to establish the urgency of antibiotic treatment.
In patients admitted to the ICU, conforming treatment was not affected by the comorbidities present at the diagnosis of CAP, but was related to a more stable clinical state in the last year prior to ICU admission or the antibiotic policy in each centre, although there may have been an information bias in the data collection.
The most striking result is that conforming of antibiotic treatment for CAP differs significantly among autonomous communities. Possible reasons might include the adherence of physicians to the SEPAR norms or those of other scientific societies, but we have no information about it. Reasons inherent to the patients themselves, due to their age, multiple pathologies and polypharmacy, as some studies in hospitals [Reference Galván-Banqueri23] or primary healthcare [Reference Fernández-Urrusuno24, Reference Pérez-Fuentes25] have shown, but these variables have been controlled in our study by statistical models. Likewise, there was a shorter mean stay and lower mortality in the first month after admission in patients with conforming treatment, which has a favourable effect on the efficiency of clinical practice and health outcomes, with diverging results according to other publications [Reference Rossio17, Reference Xiangru26].
According to Torres [Reference Torres27], one problem with the norms is that they are drawn up by a maximum of three societies [Reference Pachón28], making their subsequent implementation in clinical practice difficult. This might justify the variations between autonomous communities in the rates of conforming treatment, which might also be due to the fact that CAP may be treated by medical specialists (pulmonologists or internists) who sometimes follow different therapeutic criteria.
A clinical practice improvement and conforming of antibiotic treatment in NAC could be undertaken by the National Health System (NHS) with a GPC promoving, developed by a multidisciplinary team of health professionals and patients, in which all scientific societies are represented. The GPC Program in the NHS [29] aims to gather opinions of other interest groups that have not participated in it, prior to publication. Dissemination and implementation at national level of this GPC would facilitate the adherence of health professionals to recommendations based on scientific evidence.
The lack of conforming antibiotic treatment might also be due to the fact that persons aged ⩾65 years have risk factors associated with resistance to antibiotics and, in these patients, treatment must be adapted to these factors for multi-resistant microorganisms. In addition, antimicrobial therapy in the elderly is influenced by physiological changes and comorbidities, with the altered immune function associated with ageing predisposing to suboptimal therapeutic efficacy when antimicrobials are administered. This study could result in actions that increase conforming treatment in this age group.
The initial antibiotic therapy for CAP patients without ICU admission has changed substantially during the last decade [Reference Berger30], due to the appearance of antibiotic resistance, the evolution of treatment guidelines and initiatives to improve quality that link the financing of care to the guidelines of the health system. In Spain, the quality of health care is considered in the indicators of the NHS and those of the autonomous communities, which include pharmacological prescriptions and conforming of antibiotic treatments that limit the appearance of microbial resistance. Studies have compared their impact on patient mortality and the possible effects on the appearance of resistant bacteria, limiting the use of broad-spectrum antibiotics [Reference Postma20, Reference Pradelli31, Reference Wang32]. The choice of empirical antibiotic treatment for patients with clinical suspicion of CAP admitted to hospital (not the ICU) is complicated by the limited availability of evidence. Some studies have compared empirical treatment strategies of monotherapy with β-lactam antibiotics vs. combined β-lactam and macrolide therapy or monotherapy with fluoroquinolone to determine the effect on, which was similar in terms of the length of hospital stay (median 6 days) and 90-day mortality [Reference Postma20]. Our study did not investigate mortality but confirmed that the length of hospital stay was associated with conforming of antibiotic treatment.
In accordance with the IDSA/ATS guidelines [Reference Mandell5], the recommended treatment options in healthy patients who have not used antimicrobials in the previous 3 months include macrolides or tetracyclines as monotherapy or part of combination therapy in patients with comorbidities. Fluoroquinolones are contained in the guidelines for CAP and the European Society of Clinical Microbiology and Infectious Diseases [Reference Woodhead15] experts state that moxifloxacin has the highest anti-pneumococcal activity. We were not able to study this point due to the small percentage of patients treated with moxifloxacin. These criteria are included in the SEPAR norms used as a reference CPG in this study.
The strengths of the study include the novelty of identifying patterns of conforming antibiotic treatment in patients admitted due to CAP and the multicentre nature of the study, with the participation of 20 Spanish hospitals. The study had some limitations. First, there was only partial information related to the aetiological aspects of CAP, although it is known that the aetiological agent is determined in <50% of cases. Second, we did not collect data on antibiotic resistance. Third, we did not collect data on the treating physician that might have influenced the prescribing regime (specialty, age, etc.); however, the PSI was considered as a prognostic scale [Reference Menéndez6] and ICU admission as professional assessment variables, and therefore it may be considered that the aforementioned variables were also considered.
In conclusion, more than half the patients hospitalised due to CAP received conforming empirical antibiotic treatment. After controlling for the effect of the autonomous communities, conforming treatment was only relevant in patients with COPD and no renal failure or cognitive dysfunction. There was a wide variability between autonomous communities without an a priori explanation, since the SEPAR is national in scope. The possible reasons that interfere in adherence to the application of national consensual CPG and which explain the differences found in the correctness of treatment should be studied.
Acknowledgements
Acknowledgements to the Workgroup Project PI12/02079 researchers.
Financial support
This work was supported by the Instituto de Salud Carlos III (Spain), code PI12/02079.
Conflict of interest
None.





