(First published online [15 May 2018])
doi: https://doi.org/10.1017/S0007114518000673
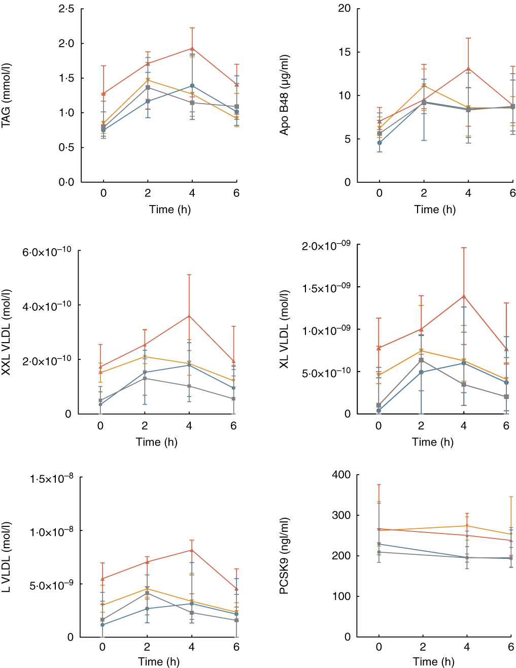
In Figure 2, the denomination of the lipoprotein subclasses (XXL, XL, L, M, S and XS VLDL, IDL, L, M and S LDL, XL, L, M and S HDL) should read mol/l and not mmol/l. The figure has been corrected and resupplied below.

Fig. 2 Postprandial response in TAG, apoB48, the three largest VLDL sub-classes and proprotein convertase subtilisin/kexin type 9. Values are medians and interquartile ranges. P values from analysis of total and incremental AUC (AUC and iAUC) in a linear mixed model for repeated measures. PCSK9, proprotein convertase subtilisin/kexin type 9; FH, familial hypercholesterolaemia; P
meal, P value SFA v. PUFA meal; P
group, P value FH v. controls.
, FH, SFA;
, FH, PUFA;
, controls, SFA;
, controls, PUFA.
