‘Dietary risk’ is a term used to describe ‘any inappropriate dietary pattern’ that may impair health( Reference Stallings, Baranowski and Briefel 1 ). Toddlers are vulnerable to dietary risk as they begin to exert their independence in food choices and demonstrate fussy eating behaviours( Reference Cowbrough 2 , Reference Dovey, Staples and Gibson 3 ). As dietary risk habits may persist over time( Reference Craigie, Lake and Kelly 4 , Reference Skinner, Carruth and Bounds 5 ) and influence short-term and long-term health( Reference Owen, Martin and Whincup 6 , Reference Wu and Chen 7 ), early risk identification is important.
The current dietary intakes of toddlers are inadequate, suggesting that many are at dietary risk. In general, intakes of nutrient-rich foods are below the national dietary guideline recommendations and consumption of energy-dense, nutrient-poor foods is common. For example, the 2008/09 UK National Diet and Nutrition Survey revealed that about 50 % of 1·5- to 3-year-olds consumed energy-dense, nutrient-poor items such as meat products, fried potato products, confectionery and sweetened beverages over the 4 d food diary period( Reference Bates, Lennox and Swan 8 ). Nutrient-rich foods such as fish, raw vegetables and eggs were consumed by less than half the sample( Reference Bates, Lennox and Swan 8 ). Similarly, a recent Australian study demonstrated that 11–15 % of 12- to 36-month-olds consumed no fruit or vegetables, respectively, less than one-quarter consumed eggs (24 %), fish (11 %) and legumes (17 %), and nearly all (89 %) consumed energy-dense, nutrient-poor item/s in the previous 24 h( Reference Chan, Magarey and Daniels 9 ). Similar trends are observed in other countries including the USA( Reference Siega-Riz, Kinlaw and Deming 10 , Reference Siega-Riz, Deming and Reidy 11 ). These data highlight that toddlers' dietary patterns are not consistent with dietary guidelines and may place them at risk of nutrient (e.g. Fe and folate( Reference Morgan 12 , Reference Lioret, McNaughton and Spence 13 )) deficiencies and chronic diseases, including excess weight( Reference Craigie, Lake and Kelly 4 , 14 ) and CVD( Reference Brazionis, Golley and Mittinty 15 ). Therefore, the need to screen toddlers' dietary intakes against current dietary guidelines to identify those at risk is evident.
Timely, accurate and cost-effective assessment of dietary intake is important. Traditional dietary assessment methods, such as recalls and records, are time intensive, costly and burdensome( Reference Collins, Watson and Burrows 16 ). Furthermore, it can be difficult to easily extract food intake data using these methods for meaningful comparison with food-group-based dietary guidelines( Reference Magarey, Golley and Spurrier 17 ). Conversely, less costly, time-consuming and laborious methods such as FFQ( Reference Cade, Thompson and Burley 18 ) quickly measure food or food-group intakes, allowing easy comparison with food-group-based dietary guidelines( Reference Magarey, Golley and Spurrier 17 ). Nonetheless, increasing questionnaire length is associated with increasing burden, likely to result in reduced cooperation and completion( Reference Sinkowitz-Cochran 19 ). Therefore, an ideal screening questionnaire that identifies toddlers at dietary risk would be short and simple while providing food or food-group data that can easily be compared with dietary guidelines.
Dietary risk identification requires the assessment of whole diets. In comparison with that of individual dietary components, the assessment of whole diets refers to capturing the intake data of all five ‘core’ food groups (i.e. foods recommended to be consumed every day including fruit, vegetables, grains (e.g. bread, rice, pasta and noodles), meat and alternatives (e.g. fish, eggs and nuts, and dairy products) and ‘non-core’ food groups (energy-dense, nutrient-poor items)( 20 , 21 ). However, current short food or food-group-based questionnaires generally aim to measure a specific aspect of diet (e.g. fat intake( Reference Dennison, Jenkins and Rockwell 22 )) or a limited number of food groups (e.g. only fruit and vegetables( Reference Bennett, de Silva-Sanigorski and Nichols 23 )). Supporting this, our recent review( Reference Bell, Golley and Magarey 24 ) highlighted the lack of short tools ( ≤ 50 items) assessing the whole diets of children aged < 5 years( Reference Bell, Golley and Magarey 24 ).
Due to the lack of population-specific, age-appropriate, short tools that characterise whole diets of Australian toddlers, the present study aimed to develop a short, simple food-group-based dietary risk assessment tool for toddlers aged 12–36 months and determine its reliability and validity.
Methods
The Toddler Dietary Questionnaire (TDQ) is a nineteen-item, parent-completed, semi-quantitative tool that assesses food-group intake over the previous 7 d. The intake of ‘core’ food groups (e.g. fruit, vegetables and dairy products) and ‘non-core’ food groups (e.g. high-fat, high-sugar and/or high-salt foods and sweetened beverages) is then evaluated against a dietary risk criterion. The TDQ risk scores range from 0 to 100, with a higher score representing a higher dietary risk (i.e. poorer dietary intake).
Development of the Toddler Dietary Questionnaire
The development of the TDQ was informed by dietary patterns observed in the recent dietary intake data of Australian toddlers( Reference Bell, Golley and Daniels 25 ), the Australian Dietary Guidelines Modelling System( 26 ) and the Australian Dietary Guidelines( 27 , Reference Kellet, Smith and Schmerlaib 28 ). Questionnaire drafts were pilot tested for readability, understanding and timing with three parent–toddler dyads (university researchers, n 2, and a family member of the researchers, n 1) and changes made to the questionnaire format.
The TDQ items were primarily informed by the dietary patterns of Australian children( Reference Bell, Golley and Daniels 25 ), derived using principal component analysis. Principal component analysis is a common type of factor analysis( Reference Waijers, Feskens and Ocke 29 ) that identifies the underlying ‘patterns’ of intake from a large number of variables by grouping foods commonly consumed together. Principal component analysis was applied to the average of 24 h recall data collected over 3 d from 14-month-old (n 552) and 24-month-old (n 493) children. Data were derived from two Australian studies, the control arm of NOURISH( Reference Daniels, Magarey and Battistutta 30 ), an obesity prevention randomised controlled trial, and the South Australian Infant Dietary Intake (SAIDI) study, a longitudinal study of infants' and toddlers' dietary intake. The foods that represent extracted patterns account for the greatest variation in diet between individuals( Reference Craig, McNeill and Macdiarmid 31 ). At both ages, two patterns were identified representing (1) ‘core’ intake (e.g. fruit, vegetables, grains, dairy products, meat and water) and (2) ‘non-core’ intake (e.g. high-fat, high-sugar and/or high-salt products and sweetened beverages)( Reference Bell, Golley and Daniels 25 ). Based on these patterns and the Australian Dietary Guidelines( 26 , 27 ), a nineteen-item questionnaire comprising three sections was developed. Section 1 assesses ‘core’ intake (eight items: fruit, vegetables (green, orange and other), dairy products, grains, lean red meat and fish), section 2 ‘non-core’ intake (eight items: spreadable fats, vegemite-type spreads, snack products, hot potato products, meat products, sweet biscuits and cakes, chocolates and ice creams) and section 3 ‘usual’ intake (three items: bread type, milk beverages and non-milk beverages, e.g. fruit juice, soft drink, and cordial (a fruit-flavoured concentrate that is usually mixed with water)).
Sections 1 and 2 comprise questions asking the respondents to report how often and how much their child ate of each food group over the previous week. Based on the appropriateness of categories for a 1-week period of intake, four consumption frequency categories (nil, once, 2–4 times and ≥ 5 times) were developed. In addition, three consumption quantity categories (representing ‘small’ (e.g. < 50 g), ‘medium’ (e.g. 50–100 g) and ‘large’ (e.g. >100 g) portions) were developed. For section 1, portion-size categories were informed by the average serving sizes and weekly number of servings recommended for 13- to 23-month-olds and 2- to 3-year-olds outlined in the Australian Dietary Guidelines Modelling System( 26 ). For TDQ food groups not directly comparable to those in the modelling system, a proportion of the recommended intake was used. For example, for the TDQ food group ‘yogurt/custard’, portion sizes were informed by applying 25 % to the recommended intake of ‘dairy foods (milks, yogurts and cheese)’. For section 2, portion-size categories were informed by the tertiles of consumption of 24-month-old NOURISH and SAIDI children (n 742). Food labels that reflect each portion-size category (‘small’, ‘medium’ and ‘large’) were added for each food-group item. For example, a ‘small’ portion of ‘other vegetables’ was labelled ‘less than one cup of raw salad vegetables or less than half a cup of cooked vegetables’, representing < 75 g of vegetables.
Section 3 comprises the following three questions: (1) What proportion of white:non-white bread (e.g. some white:mostly non-white) does your child usually consume? (2) What milk drinks (breast, plain, flavoured or formula) does your child usually consume? (3) What non-milk drinks (water, diluted juice, juice, or cordial/soft drink) does your child usually consume? The final questionnaire is given in Table S1 (available online).
Scoring of the Toddler Dietary Questionnaire
The dietary risk score is derived by evaluating food-group intake against a scoring criterion (Table 1). For sections 1 and 2 of the TDQ, food-group intake per week in grams is calculated by multiplying the frequency response (zero (nil), one (once), three (2–4) and seven ( ≥ 5) times per week) with the median quantity response (e.g. small = < 50, 25 g; medium = 50–100, 75 g). For example, if the median of the ‘small category’ is 25 g, then a response of ‘2–4 times’ and ‘small’ amount is 75 g (3 × 25 g). As the median of the ‘large’ (e.g. >100 g) category could not be established based on the TDQ categories, an upper limit of consumption of 24-month-old NOURISH and SAIDI children was used (e.g. 300 g) and the median determined (e.g. 200 g). Intake is then compared against recommendations( 26 ). That is, a scale of 0 (lowest score = lowest risk) to 18 (highest score = highest risk) is applied per question, with ‘0’ reflecting intake closest in line with the recommendations and ‘18’ reflecting intake furthest from the recommendations (Table 1). For section 1, a response of ‘2–4 times’ and ‘medium’ amount reflects intake most closely in line with the recommendations and is therefore scored a ‘0’. Lower and higher intakes are scored between 2 and 18 according to the percentage of deviation from the recommendations. Underconsumption is scored slightly more severely than overconsumption due to greater severity of health risks. For example, underconsumption of ‘core’ foods may result in nutrient deficiencies leading to suboptimal growth and development and/or chronic diseases such as CVD and cancer( 20 ). Furthermore, insufficient ‘core’ intake may lead to the overconsumption of ‘non-core’ items and thus an increased risk of overweight and obesity( 20 ). Alternatively, overconsumption of ‘core’ foods may also contribute to overweight through the establishment of a positive energy balance( 32 ) and may displace the intake of other core foods from the diet, thus decreasing variety( 20 ). Conversely, for section 2, scores increase proportionally from 0 with increasing consumption frequency and quantity, as the consumption of ‘non-core’ foods should be limited( 20 , 21 , 27 ) and increasing exposure and familiarity increase the preference for these foods( Reference Cooke 33 ).
Table 1 Scoring template for the Toddler Dietary Questionnaire
* Usually = on most days.
† Despite the option to tick all that apply, if a response of ‘none of the above, i.e. no milk drinks’, is provided, no other responses are possible; therefore, any combination of the first three responses, providing a maximum score of 12, or the response ‘none of the above, i.e. no milk drinks’ only (score = 12) is possible.
Each question in section 3 is scored on a scale of 0 (ideal intake, e.g. none white:all non-white, breast milk or plain milk, and water) to 12 (non-ideal intake, e.g. all white:none non-white, no milk drinks, and soft drink or cordial) (Table 1). For questions 2 and 3, a proportionally increasing scale of 0, 4, 8, 12, is applied, with multiple responses being accepted. However, for question 1, a scale of 0, 3, 9, 12 is applied, as the proportions 25 %:75 % and 75 %:25 % were used to represent the responses some white:mostly non-white and mostly white:some non-white, respectively.
Dietary risk scores are created for each section, tallied to give a score out of 336, which is converted to a total dietary risk score (range 0–100; higher score = higher risk). Total risk scores are categorised into four levels of dietary risk: (1) low (0–24); (2) moderate (25–49); (3) high (50–74); (4) very high (75–100).
Reliability and validity of the Toddler Dietary Questionnaire
Study design
A validation study was conducted between October 2012 and February 2013 to determine the reliability and relative validity of the TDQ. Ethics approval was granted by the Flinders University Social and Behavioural Research Ethics Committee (SBREC).
Study sample
The participants were primary carers of toddlers aged 12–36 months recruited via (1) flyers distributed at South Australian private child care centres, (2) advertisements in Flinders University newsletters and on notice boards, (3) a study-specific Facebook page, and (4) parents enrolled in the SAIDI study who had another eligible child. Children with a food allergy or intolerance or a diagnosed medical condition affecting their dietary intake were excluded. Parents with two eligible children chose one child to participate in the study to prevent a clustering effect. Parental consent was obtained.
Data collection
Data collection occurred in two stages. In stage 1, the participants completed a demographic questionnaire and the TDQ (i.e. TDQ1). In stage 2, the participants were mailed a second TDQ (i.e. TDQ2) and a validated semi-quantitative FFQ( Reference Huybrechts, De Backer and De Bacquer 34 , Reference Huybrechts, De Bacquer and Matthys 35 ) to be completed on the same day approximately 2–4 weeks after the completion of TDQ1.
Demographic questionnaire
Child (age, sex, country of birth, and parent-reported weight and height), parent (age, country of birth, marital status, education level and employment status) and family (postal code and household numbers) demographic characteristics were assessed via a questionnaire. As a measure of socio-economic status, the Index of Relative Socio-Economic Advantage and Disadvantage, one of the four Socio-Economic Index for Areas (SEIFA) indices that rank geographical areas across Australia on a continuum of disadvantage (lowest score = 1) to advantage (highest score = 10), was applied to the postal code( 36 ).
FFQ
To determine the validity of the TDQ, a dietary assessment tool that allowed collected data to be translated into the TDQ and dietary risk calculated was necessary. A recently developed seventeen-item FFQ for Australian 2- to 5-year olds( Reference Flood, Wen and Hardy 37 ) was not suitable as the validation tool due to the lack of assessment of dairy product and grain food intakes, preventing the calculation of a dietary risk score. Furthermore, alternative measures, such as 24 h recalls and 2 or 3 d records, do not provide data collected over sufficient number of days to cover that of the TDQ, while 7 d records are associated with high participant burden( Reference Collins, Watson and Burrows 16 , Reference Magarey, Watson and Golley 38 ). Therefore, a FFQ developed and validated in Belgian 2·5- to 6·5-year-olds( Reference Huybrechts, De Backer and De Bacquer 34 , Reference Huybrechts, De Bacquer and Matthys 35 ) was chosen as the validation reference tool. This FFQ was identified in a recent review as the only short dietary assessment tool for children aged 0–5 years tested for reliability and validity( Reference Bell, Golley and Magarey 24 ) from which a TDQ score could be calculated. Food-group items are mostly compatible with those in the TDQ and the 1-month assessment period of the FFQ covers the 1-week assessment period of the TDQ. Small adaptations were made to the FFQ to reflect culturally appropriate foods and terminology (e.g. sugared milk replaced with flavoured milk) and to capture intake over the past month rather than that over the past year.
Comparative validity was assessed to evaluate dietary risk scores determined using the nineteen-item TDQ relative to those determined using the fifty-four-item (forty-seven-food item) FFQ. The final FFQ included six frequency categories (never, 1–3 d/month, 1 d/week, 2–4 d/week, 5–6 d/week and every day) and three quantity categories (representing ‘small’ (e.g. < 40 g), ‘medium’ (e.g. 40–120 g) and ‘large’ (e.g. ≥ 120 g) portions). FFQ data were converted to a third dietary risk score using a standardised format based on comparative quantity and frequency categories, and the risk score was calculated. That is, responses ‘never’ and ‘1–3 d/month’ were translated to ‘nil’ in the TDQ, ‘1 d/week’ to ‘once’, ‘2–4 d/week’ to ‘2–4 times’, and ‘5–6 d/week’ and ‘everyday’ to ‘ ≥ 5 times’. Quantity responses were translated to the most appropriate TDQ quantity category (‘small’, ‘medium’ or ‘large’) based on gram amount.
Statistical analysis
Data were analysed using SPSS statistical software package for Windows version 19.0 (SPSS, Inc.). The level of significance was set at P< 0·05.
Individual Toddler Dietary Questionnaire item agreement
The proportion of parents reporting within the same response category (product of frequency and quantity; data not shown) between each administration of the TDQ (TDQ1 and TDQ2) was determined and the percentage of agreement calculated. The percentage of agreement between the administrations beyond that expected by chance( Reference Sim and Wright 39 ) was determined by calculating weighted kappa (K w) (for ordinal data) using MedCalc statistical software version 12.7.7.0 (Microsoft). K w values were defined as poor ( < 0·20), fair (0·21–0·40), moderate (0·41–0·60), good (0·61–0·80) and very good (0·81–1·00)( Reference Altman 40 , Reference Landis and Koch 41 ).
Reliability and validity of dietary risk scores
Risk scores were evaluated for test–retest reliability and relative validity of section and total scores. Reliability was assessed by comparing scores obtained during the first administration (TDQ1) and second administration (TDQ2) of the TDQ and relative validity by evaluating average scores (termed ‘TDQave’) derived from two administrations of the TDQ ((TDQ1+TDQ2)/2) against FFQ risk scores. Average risk scores were used in the validity analysis instead of the TDQ1 or TDQ2 scores as these cover a 2-week period of intake, more in line with the 4-week assessment period of the FFQ, and are thus a better representation of ‘usual’ intake and risk. As the majority of scores were normally distributed, parametric tests were used in all analyses for consistency.
To assess reliability and relative validity at the individual level, intra-class correlations (ICC) and Pearson's correlations, defined as low ≤ 0·50, moderate 0·51–0·69, and high ≥ 0·70( Reference Pallant 42 ), were used. At the group level, paired t tests were used for both analyses. A Bland–Altman plot was constructed to assess the strength of agreement between the two tools by plotting the mean bias, i.e. difference between the TDQave and FFQ risk scores, against the mean of the tools. The plot was assessed visually and linear regression analysis performed to test for any systematic bias. Agreement at the individual level is defined as the limits of agreement ( ± 2 sd) of the mean bias and that at the group level by the mean bias and slope of the mean bias line( Reference Magarey, Golley and Spurrier 17 ).
Cross-classification into dietary risk categories (low–very high)
Classification analysis was conducted to determine whether the participants were classified into the same dietary risk category (low, moderate, high and very high) during each TDQ administration and by TDQave scores compared with the FFQ scores.
Results
Sample characteristics
Of the 117 parents (100 % biological mother), 111 completed all the study measures. Mothers (mean age 34 (sd 4) years) were mostly partnered (94 %), Australian born (95 %), in paid employment (74 %) with a university education (67 %), and in the top five SEIFA deciles (range 5–9). Children (54 % girls) were, on average, 23·0 (sd 6·9) months of age, primarily Australian born (95 %), and lived in a household of 4 (sd 1) members.
Reliability and validity
The duration between the repeat administrations of the TDQ ranged from 1·0 to 11·9 weeks (average 3·2 (sd 1·8) weeks). The average dietary risk scores ranged from 30·2 (sd 8·6) for TDQ1 to 31·4 (sd 8·1) for the TDQ derived from the FFQ (Table 2). Over two-thirds of children were classified as moderate risk and less than one-third as low risk (Table 2).
Table 2 Section and total dietary risk scores for each administration of the Toddler Dietary Questionnaire (TDQ; TDQ1 and TDQ2), average TDQ (TDQave) and FFQ and classification into dietary risk categories (n 111) (Mean values and standard deviations; number of participants and percentages)

* TDQave= ((TDQ1 risk scores+TDQ2 risk scores)/2).
Test–retest reliability
The percentage of agreement and K w for each TDQ item are summarised in Table 3. The percentage of agreement ranged from 32 % for vegemite-type spreads to 85 % for non-milk drinks. K w values ranged from 0·40 to 0·78, indicating fair (grains), moderate (fruit, vegetables (orange, green and other), red meat, fish, vegemite-type spreads, snack products, hot potato products, meat products, sweet biscuits and cakes, chocolates and ice creams) and good (yogurt, spreadable fats, bread, milk drinks and non-milk drinks) agreement.
Table 3 Agreement of Toddler Dietary Questionnaire (TDQ) items (product of frequency and quantity categories, categorical) between each administration among Australian children aged 12–36 months (n 111)

K w, weighted kappa.
* Percentage within the same category response, i.e. combination of frequency and quantity categories for sections 1 and 2 (n 10). For question 1 on bread type in section 3, one response was allowed and five response options were provided: (1) none white:all non-white; (2) some white:mostly non-white; (3) mostly white:some non-white; (4) all white:none non-white; (5) does not eat bread. For question 2 on milk drinks in section 3, multiple responses were allowed and eight response options were provided: (1) breast milk or plain milk only; (2) formula only; (3) flavoured milk only; (4) no milk drinks; (5) breast milk/plain milk and formula; (6) breast milk/plain milk and flavoured milk; (7) breast milk/plain milk and formula milk and flavoured milk; (8) formula and flavoured milk. For question 3 on non-milk drinks in section 3, multiple responses were allowed and eight response options were provided: (1) water; (2) diluted juice only; (3) water and diluted juice; (4) water and undiluted juice; (5) water and cordial/soft drink; (6) water and diluted juice and cordial/soft drink; (7) water and diluted juice and undiluted juice; (8) water and undiluted juice and cordial/soft drink.
† K w was calculated for categorised data as described above.
The results of the test–retest analysis of dietary risk scores are given in Table 4. The total risk scores calculated from each TDQ administration were highly correlated (ICC = 0·90, P< 0·001) and not statistically different (30·2 (sd 8·6) v. 30·9 (sd 8·9); P= 0·14). For section risk scores, all ICC were good (0·88–0·91). Risk scores for section 3 (6·2 (sd 6·4) v. 7·1 (sd 7·3); P= 0·017), but not for section 1 (P= 0·55) or section 2 (P= 0·45), were significantly different between each administration. Mean bias ranged from − 0·88 for section 3 to − 0·71 for section 1 (TDQ1 scores were lower than the TDQ2 scores). All children were classified into the same (n 83, 75 %) or adjacent (n 28, 25 %) dietary risk category during each administration (Table 5).
Table 4 Test–retest reliability of the Toddler Dietary Questionnaire (TDQ) risk scores and relative validity of the average TDQ (TDQave) and FFQ risk scores for each section and total risk scores (n 111) (Correlations, 95 % confidence intervals and 95 % limits of agreement (LOA))

ICC, intra-class correlation.
* TDQave= ((TDQ1 risk scores+TDQ2 risk scores)/2).
† For all correlations, P< 0·001.
‡ Paired t test was used to compare differences in risk scores.
§ Linear regression analysis of difference in risk scores (TDQave− FFQ) and the mean of difference of risk scores ((TDQave− FFQ)/2). Agreement at the individual level is defined as the LOA ( ± 2 sd) of the mean bias and that at the group level by the mean bias and slope of the mean bias line.
Table 5 Cross-classification of participants into dietary risk categories (low, moderate, high and very high) between the administrations of the Toddler Dietary Questionnaire (TDQ) and average TDQ (TDQave) and FFQ (n 111)* (Number of participants and percentages)

* No subject was classified as ‘very high risk’ by the TDQ1, TDQ2, TDQave or FFQ.
† TDQave= ((TDQ1 risk scores+TDQ2 risk scores)/2).
Relative validity
The total and section dietary risk scores derived from the TDQave and those derived from the FFQ were highly correlated (all r 0·71 or greater, P< 0·001; Table 4). Risk scores were significantly different for section 1 (TDQave 56·3 (sd 17·7), FFQ 61·0 (sd 18·1); P< 0·001) and section 3 (TDQave 6·6 (sd 6·6), FFQ 5·3 (sd 5·9); P= 0·005), but not for section 2 (P= 0·69), and total risk scores were not significantly different (TDQave 30·5 (sd 8·4), FFQ 31·4 (sd 8·1); P= 0·05). Mean bias between the TDQave and FFQ risk scores ranged from − 4·68 (section 1; TDQave scores were lower than the FFQ scores) to 1·31 (section 3; TDQave scores were greater than the FFQ scores).
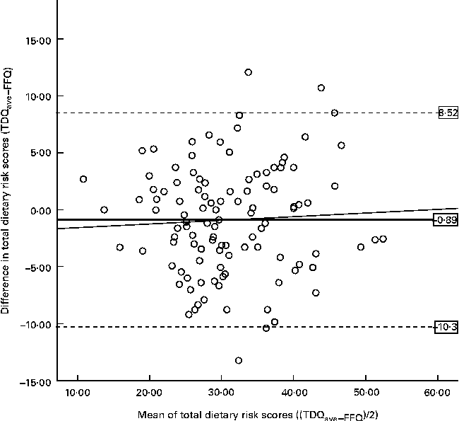
The Bland–Altman plot (Fig. 1) revealed a small negative mean difference between the TDQave and FFQ risk scores; i.e. the TDQave tends to provide a lower estimate of risk than the FFQ (mean bias − 0·89 ( − 1·79, 0·02)). However, most measurements fell within the 95 % limits of agreement and there was no significant linear trend for the fitted regression line (β = 0·51, 95 % CI − 0·08, 0·15; P= 0·60), i.e. no systematic bias between the two tools. Classification analysis between the TDQave and FFQ revealed that all the participants were classified into the same (n 88, 79 %) or adjacent (n 23, 21 %) dietary risk category (Table 5).

Fig. 1 Bland–Altman plot assessing the validity of total dietary risk scores derived from the average Toddler Dietary Questionnaire (TDQave) v. those derived from the FFQ among Australian children (n 111) aged 12–36 months. The plot shows the mean difference (
), the 95 % limits of agreement (- - - - - -) and the fitted regression line (——) for total dietary risk scores (P for linear trend = 0·595). R
2 linear = 0·003.
Discussion
In the present article, the development and testing of a nineteen-item TDQ that assesses the dietary risk of children aged 12–36 months are described. Our findings revealed that the TDQ-derived dietary risk scores of toddlers in the study sample were highly correlated and not significantly different between the two administrations or on comparison with scores derived from a fifty-four-item FFQ. The TDQ is a reliable and valid screening tool for assessing the dietary risk of Australian toddlers from relatively advantaged backgrounds and categorising them into dietary risk categories. The reliability and validity of the TDQ in samples that include Australian toddlers from the lower five SEIFA deciles are yet to be assessed.
The TDQ performed well in terms of reliability. Repeatability analysis of individual questionnaire items revealed predominately moderate agreement. The percentage of agreement (32–86 %; n 19 items) was slightly lower than that reported for a FFQ tested in Australian 2- to 5-year-olds (53–97 %; n 16 items)( Reference Flood, Wen and Hardy 37 ). Yet K w values derived from the FFQ (0·37 (red meat)–0·85 (take-away foods)) and those derived from the TDQ used in the present study (0·40 (grains)–0·78 (bread)) were similar; the reproducibility of the TDQ was predominately ‘moderate’ (n 13/19 items) or ‘good’ (n 5/19 items). Test–retest analysis of dietary risk scores revealed that the TDQ is reliable for assessing individuals' dietary risk. At the group level, total risk scores were not significantly different, with less than one risk score point being observed between the mean scores during each administration. The mean bias was greatest for section 3, with risk scores being statistically, but not meaningfully different (0·9 points out of 48; 1·9 %), between the administrations. Classification analysis revealed three-quarters of the children to be in the same dietary risk category during each TDQ administration. Overall, these results suggest that the TDQ is reliable for assessing dietary risk in this population, an important finding considering that the validity of a tool requires reliability( Reference Vogt 43 ).
The TDQ performed well in terms of validity. The nineteen-item TDQ accurately derives dietary risk scores and assigns toddlers to risk categories in comparison with a longer fifty-four-item FFQ. The total dietary risk scores derived from the TDQave and those derived from the FFQ were highly correlated and not significantly different. The Bland–Altman plot for total dietary risk scores revealed narrow limits of agreement, indicating that the TDQ can accurately distinguish dietary risk at the individual level( Reference Bland and Altman 44 ). As the slope of the mean bias line indicated no overall bias, the TDQ is acceptable for measuring the dietary risk of toddlers at the group level( Reference Magarey, Golley and Spurrier 17 ). Classification analysis revealed promising results with the majority of children (approximately three-quarters) being classified into the same dietary risk category by the TDQave and FFQ. Thus, the TDQ is a valid toddler dietary risk assessment tool suitable for this population in a clinical (individual) or community (group) setting.
The fifty-four-item FFQ developed by Huybrechts et al. ( Reference Huybrechts, De Backer and De Bacquer 34 , Reference Huybrechts, De Bacquer and Matthys 35 ) was chosen as the reference tool to assess validity. In the absence of a gold standard to measure dietary intake, this FFQ was determined to be the best available validation tool. It has been shown to be reliable and valid in terms of food( Reference Huybrechts, De Backer and De Bacquer 34 ) and nutrient( Reference Huybrechts, De Bacquer and Matthys 35 ) intake assessment compared with the estimated diet records and provides a reasonable measure when compared with the TDQ, capturing the intake data of key foods of interest over a similar time period. Despite this, minor changes were made to the FFQ primarily to reflect cultural differences, possibly altering the reliability and validity of the tool. Ideally, the tool would have been retested in the Australian population; however, this was not feasible within the study constraints. Additionally, translation of items from the FFQ into the TDQ was challenged by incompatible portion-size categories for some items (e.g. fish, snack products, chocolates and ice creams/frozen yogurt). That is, a ‘small’ response in the FFQ was translated to ‘medium’ in the TDQ, while both ‘medium’ and ‘large’ responses in the FFQ were translated to ‘large’ in the TDQ. Nonetheless, this FFQ was the most compatible tool that allowed derivation of dietary risk scores, could be completed in the participants' own time and was considered least burdensome for the participants.
The novelty of the TDQ is demonstrated by the innovative approach to the selection of food items, through the use of principal component analysis-derived dietary patterns and the formation of portion-size categories, based on toddlers' intakes. Due to its novel nature, there are few similar tools evaluating an overall score of diet quality in young children with which it can be compared. In a Canadian study of 3- to 5-year-old preschool children, a seventeen-item Nutritional Screening Tool for Every Preschooler questionnaire, which derives a nutrition risk score from five food-group questions and twelve questions on other nutrition risk constructs, was reliable between the administrations (ICC = 0·89) and valid (r 0·48) on comparison with a dietitian rating( Reference Randall Simpson, Keller and Rysdale 45 ). The total dietary risk scores (reliability, ICC = 0·90; validity, r 0·83) obtained in the present study were comparatively better.
Besides the reliability and validity results of the TDQ, the present study provides information on the dietary risk of Australian toddlers. Scores derived from the TDQ categorised approximately one-third of the study sample as ‘low’ risk and two-thirds as ‘moderate’ risk. Few toddlers were categorised as ‘high’ risk and none as ‘very high’ risk. This is probably explained by our homogeneous sample, whereby the majority were highly educated, in paid employment and of a relatively high socio-economic status. Additionally, enrolment in the present study was voluntary and thus the participants were likely to be highly motivated parents. The assessment of dietary risk in a more representative sample of toddlers may yield higher proportions at ‘high’ or ‘very high’ risk.
There are several potential uses of the TDQ. In the clinical setting, it could be used by health professionals to rapidly screen the dietary intakes of toddlers from relatively advantaged backgrounds, accurately identify those at risk, and facilitate referral to a dietitian for detailed assessment and intervention to improve dietary patterns. Once tested in a more generalisable sample, the TDQ could be applied in this manner to low-socio-economic status populations. This is important considering that diet quality is socially patterned, whereby consumption of a less-healthy diet is observed in socio-economically disadvantaged populations( Reference Turrell, Bentley and Thomas 46 , Reference James, Nelson and Ralph 47 ). Furthermore, it could potentially be useful in the research setting, for population health monitoring of toddlers' dietary risk, for exploring the sociodemographic predictors of dietary risk, and for furthering our understanding of the relationship between dietary risk and health outcomes. Additionally, as contemporary interventions commonly focus on food-based dietary guidelines, the food-group-based TDQ is particularly useful for developing relevant interventions that aim to improve toddlers' dietary patterns and for determining the effectiveness of these interventions. Thus, further testing of the TDQ is warranted to ensure wider applicability.
The findings of the present study should be interpreted within the context of the strengths and limitations. The TDQ is a novel tool developed based on population-specific evidence and age-appropriate public health dietary recommendations. It is easy and inexpensive to administer and calculates an overall dietary risk score. It does not rely heavily on memory, particularly, in comparison with other short tools( Reference Huybrechts, De Backer and De Bacquer 34 , Reference Huybrechts, De Bacquer and Matthys 35 , Reference Lanfer, Hebestreit and Ahrens 48 , Reference Ebenegger, Marques-Vidal and Barral 49 ). Additionally, the high participation rate in the present study suggests that completion of the TDQ is not burdensome for the respondents. Reliability and validity testing was undertaken in a sample size consistent with that recommended for validation studies (>100( Reference Bland and Altman 44 , Reference Bland and Altman 50 )) and the size was comparatively larger than that used in similar studies( Reference Flood, Wen and Hardy 37 , Reference Marriott, Robinson and Poole 51 , Reference Andersen, Lande and Arsky 52 ). Furthermore, we investigated the repeatability of individual questionnaire items in addition to the reliability and validity of dietary risk scores. Nonetheless, our findings may not be representative of those in the general population due to the highly educated and motivated study sample, although social desirability bias is possible given the self-reporting nature of dietary intake( Reference Hebert, Clemow and Pbert 53 ). Moreover, while attempts were made to ensure that stage 2 questionnaires were completed approximately 2–4 weeks after the completion of stage 1 questionnaires, this could not be standardised. Consequently, participants completing each stage within 1–2 weeks (n 15) may have remembered their previous responses, while true changes in diet may have occurred for those completing each stage over 5 weeks apart (n 7). To overcome this, however, average risk scores from each TDQ administration were used in the validity analysis. Lastly, despite its limitations( Reference Maclure and Willet 54 , Reference Roberts and McNamee 55 ), we used K w as a measure of agreement as it is frequently used for ordinal food frequency data( Reference Flood, Wen and Hardy 37 , Reference Lanfer, Hebestreit and Ahrens 48 ) and chose linear analysis over quadratic analysis due to its lower sensitivity to increasing number of categories( Reference Brenner and Kliebsch 56 ).
In conclusion, the TDQ is a short assessment tool that provides information on toddlers' dietary risk, allowing identification of those requiring intervention. The present study showed that the TDQ is reliable and valid and accurately categorises toddlers from relatively advantaged backgrounds into dietary risk categories. The TDQ may be useful in the clinical setting, enabling screening of toddlers to identify those at risk requiring intervention, and potentially in the research setting for the development and evaluation of interventions. Overall, the TDQ is a multi-purpose tool ideal for preventative nutrition promotion efforts.
Supplementary material
To view supplementary material for this article, please visit http://dx.doi.org/10.1017/S0007114514001184
Acknowledgements
The authors thank the families that took part in the present study and all child care centre directors for their help with recruitment. The present study was funded by the National Health and Medical Research Council of Australia and Health. R. K. G. is supported by a National Heart Foundation Fellowship and L. K. B. by an Australian Postgraduate Award.
The authors' contributions are as follows: A. M. M. and R. K. G. designed the research; L. K. B., A. M. M. and R. K. G. contributed to the development of the TDQ; L. K. B. was responsible for the conduct of the study and performed the statistical analysis; L. K. B. wrote the manuscript. All authors reviewed, edited and approved the final manuscript.
None of the authors has any conflicts of interest to declare.




