I. INTRODUCTION
Clarivate’s Web of Science (WoS) Core Collection is today the most complete source of bibliometric information for history of economics journals: it includes the journals History of Political Economy (HOPE), the Journal of the History of Economic Thought (JHET), the European Journal of the History of Economic Thought (EJHET), and History of Economic Ideas (HEI). However, over the whole period of existence of these journals, WoS does not contain information for several documents. Therefore, the History of Economics Journal Database Complement 1969–2009 (JDC hereafter), completes the information missing in that collection. As of 2019, the JDC, together with the WoS Core Collection, include a total of 7,184 documents published in HOPE volumes 1–50 (1969–2018), JHET volumes 1–40 (1979–2018), EJHET volumes 1–25 (1993–2018), and HEI volumes 1–26 (1993–2018). These records include all cited references available in the different documents.
This User Guide describes the process of creating the JDC (section II), and explains the content (i.e., the variables) in that dataset (section III). In doing so, it suggests ways for using this new resource together with the WoS Core Collection.
II. CREATING THE JOURNAL DATABASE COMPLEMENT 1969–2009
Creating the JDC required, first of all, identifying all documents missing from the WoS Core Collection for HOPE, JHET, EJHET, and HEI. This process involved comparing the information in the WoS Core Collection and the four journals for 1969 to 2009. Once identified, records for the missing documents were created by coding the respective information from the journals into the JDC using the WoS format. The objective was to create a dataset compatible with the WoS Core Collection.Footnote 1
HOPE is accessible in the WoS Core Collection since its first volume (1969). However, not all documents are listed, with missing information for volumes 35, 36, 37 (i.e., 2003–2005), and also a few in several other years. Information for all missing documents was obtained from the HOPE website (https://read.dukeupress.edu/hope).
The JHET (or History of Economics Society Bulletin for 1979–1989) is available in the WoS Core Collection for volumes 31 (only partially) onwards (i.e., since 2009). The JDC thus comprises the entire volumes 1–30 and the missing items of volume 31. The information for all missing documents was obtained from the JHET website (https://www.cambridge.org/core/journals/journal-of-the-history-of-economic-thought).
The EJHET is available in the WoS Core Collection for volumes 12 onwards (i.e., since 2005). It was, therefore, necessary to include volumes 1–11 in the JDC (also a few documents for 2007), and the information missing was obtained from the EJHET website (https://www.tandfonline.com/toc/rejh20/current).
HEI is available in the WoS Core Collection from volume 17 onwards (i.e., since 2009). In this case, the information missing for volumes 1–16 was obtained not only from the journal’s website (http://www.historyofeconomicideas.com) but also from JSTOR (https://www.jstor.org/journal/histeconidea) and from physical copies, because not all HEI issues are digitized.Footnote 2
III. USING THE JOURNAL DATABASE COMPLEMENT 1969–2009, TOGETHER WITH CLARIVATE’S WEB OF SCIENCE CORE COLLECTION
Merging the JDC together with the WoS Core Collection (file available in the online appendix to this User Guide) allows for analyzing all documents published in HOPE, JHET, EJHET, and HEI for the last full fifty-year period (1969 to 2018).
Documents
Figure 1 represents the 7,184 documents in the whole dataset by year (dashed line), and also separately for the JDC (dark line; 2,514 documents) and the WoS Core Collection (gray line; 4,670 documents).

Figure 1. HOPE, JHET, EJHET, and HEI documents (7,184) as in the JDC (2,514) and WoS (4,670).
Variables
Because the JDC was created to be compatible with the WoS Core Collection, it borrows the latter’s variables list. Out of sixty-eight possible, the JDC contains information on the twenty-four following variables.Footnote 3
Publication Type (PT), Authors (AU, AF), Document Titles (TI), Publication Names (SO), and Languages (LA)
The JDC is a journal database, and thus the Publication Type variable (PT) is always J=Journal. All authors (AU) and their full names (AF) are listed, and separated with semicolons (;) for coauthored documents. All Document Titles (TI) are listed as appearing in their respective journals (or Publication Names—SO; more below). The documents’ Language (LA) is English, although there are a few titles (of Book Reviews) in mainly French, German, Italian, and Spanish.
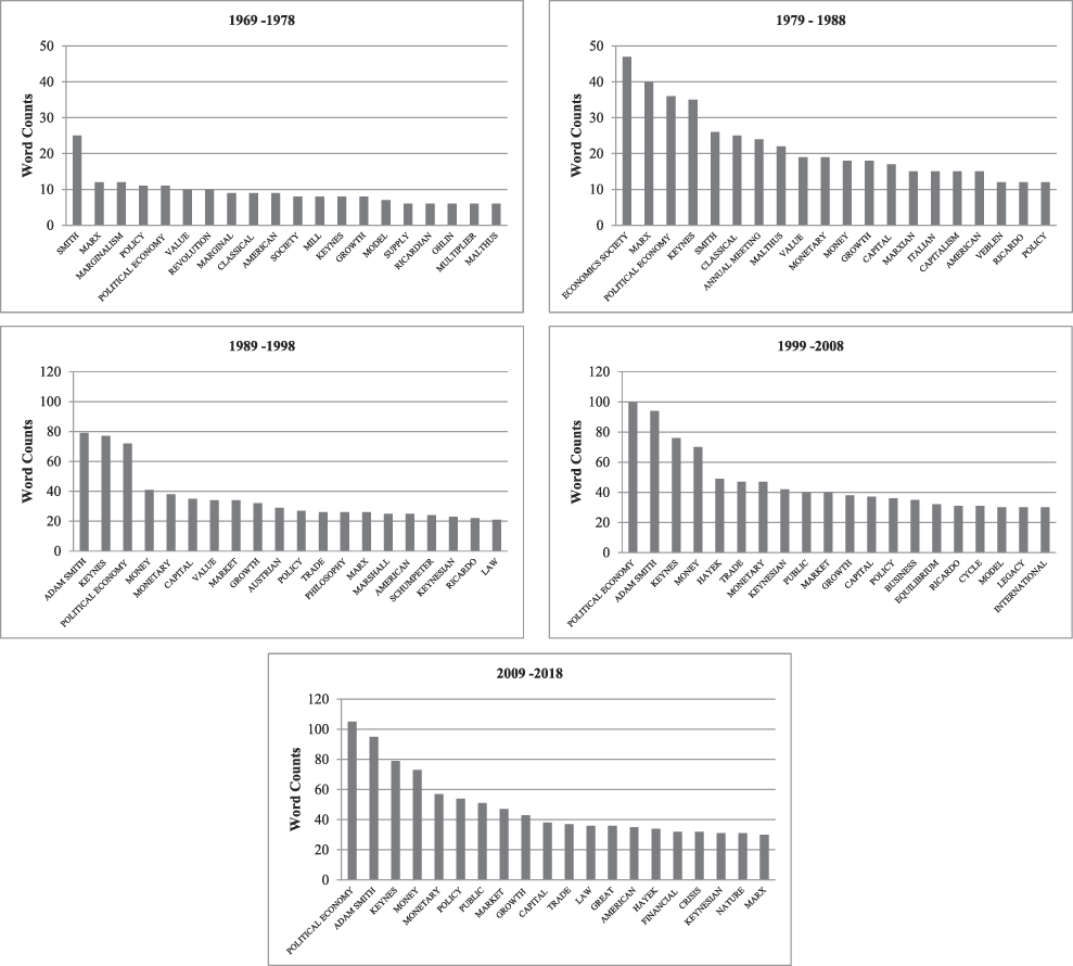
Figure 2 reproduces the twenty most frequent names and concepts appearing in all document titles, by decades. They give an (admittedly rough) idea of the content in the dataset.

Figure 2. 20 most frequent last-names and concepts, by decades (TI variable).
Document Types (DT)
Table 1 lists all documents in both the WoS Core Collection and JDC by Document Type (DT), and separated by Publication Names (SO). Of the 7,184 total, 3,721 are Articles or Proceedings Papers, 2,677 are Book Reviews, and 786 are other document types.
Table 1. 3,084 HOPE, 1,530 JHET, 1,463 EJHET and 1,107 HEI Documents by Type (1969–2018)

Cited References (CR) and Cited Reference Counts (NR)
Processing reference lists was (by far) the main task in creating the JDC, and most of the information in the dataset is listed under the Cited References (CR) variable. Cited Reference Counts (variable NR) contains the information of the number of cited references in the different documents. For a few early documents, which include their cited references in footnotes, NR counts the number of footnotes instead. Cited references are further discussed below.
Publishers (PU, PI, PA), International Standard Serial Numbers (SN), Source Abbreviations (J9, JI), Publication Years (PY), Volumes (VL), Issues (IS, SU, SI), and Pages (BP, EP, PG)
Information about the publishers of HOPE, JHET, EJHET, and HEI is included in variables PU, PI, and PA, as are the International Standard Serial Numbers (ISSNs) for the four journals (SN), and abbreviations of their titles (J9, JI). Information about the publication Year, Volume, Issue, and Pages for each document is also available in the respective variables.
Accession Numbers (UT)
This variable serves as an identifier for each document in the WoS Core Collection. We created codes under this variable for all documents in the JDC using the form “JOURNAL/Volume/Issue/First-page.” For example, EJHET01010047 identifies the document in EJHET Volume 1, Issue 1, and beginning on page 47.
Reference Lists
The variable Cited References (CR) contains the different cited references (either in a reference list or in footnotes), which are separated by semicolons. Cited Reference Counts (NR) correspond, indeed, to the number of semicolons within the CR variable for each document plus one. Figure 3 shows the total of 184,098 Cited Reference Counts (NR), by year, in both the JDC (47,899 cited references) and the WoS Core Collection (136,199 cited references). It reveals the growing number of cited references in these journals and the increase in the number of articles published as new journals were created and expanded, a trend that is also observable in academic literature more generally.

Figure 3. Cited references in HOPE, JHET, EJHET, and HEI (184,098 references).
A simple processing of the Cited References (CR) variable allows for analyzing citations from all 7,184 documents published in HOPE, JHET, EJHET, and HEI (1969–2018). Some more processing—as the one described by François Claveau and Yves Gingras (Reference Claveau and Gingras2016) and Reference EdwardsJosé Edwards (Forthcoming)—allows for coupling the different documents by degrees of similarity of their cited references (i.e., making bibliographic couplings), and creating document networks.
Figure 4 shows the result of a simple examination of the Cited References (CR) variable in both the JDC and the WoS Core Collection (1969–2018). It reveals the twenty most frequent economists’ last names in all Cited References (CR), by decades. These occurrences represent 19.05% of the total cited references count, and suggest a few general trends for the citing practices of historians of economics during the last fifty-year period.Footnote 4 Together with Figure 2, Figure 4 hints at a few dynamics over the last five decades, such as the prominence (still today!) of Joseph A. Schumpeter as a reference among historians of economics.

Figure 4. 20 most frequent economists’ last-names, by decades (CR variable).
IV. CONCLUDING REMARKS
This User Guide describes the process of creating the History of Economics Journal Database Complement (1969–2009) (JDC), together with a description of its content, which suggests (a few) ways for using this new resource.
As in the more general case of economic research, historians of economics are now also exploring new sources of information and methodologies (e.g., Edwards et al. Reference Edwards, Giraud and Schinckus2018; Düppe and Weintraub Reference Düppe and Weintraub2019). The JDC will, we hope, help develop this new trend.
SUPPLEMENTARY MATERIAL
To view supplementary material for this article, please visit https://doi.org/10.1017/S1053837219000440.




