Introduction
Hand, foot and mouth disease (HFMD) is a common infectious disease caused by a group of enteroviruses, including coxsackievirus A16 (CA16) and enterovirus 71 (EV71) [1]. Since the late 1990s, HFMD has been a concern in Asia-Pacific countries [Reference Hii, Rocklöv and Ng2], including China, Japan, South Korea, Vietnam and Singapore. In March 2008, an outbreak led to the death of 23 children infected with EV71 in Fuyang city, Anhui Province, China [Reference Wan, Zhu and Liu3]. According to statistics from the National Health and Family Planning Commission regarding category C infectious diseases, there were 994 882 cases of paediatric HFMD reported in China in 2014, including 16 872 (1.69%) severe cases and 624 (0.06%) fatal cases [Reference Sun4]. From January 2000 to December 2015, there were 2 521 199 cases of HFMD reported in Japan. The majority of cases involved were children under the age of 5 years; this age group accounted for, and more than 80.4% of the reported cases from 2000 to 2014 [Reference Sumi5]. In Vietnam, the number of reported cases in 2008 and 2009 was approximately 10 000, twice that of 2007. The outbreak of HFMD in Vietnam in 2012 resulted in 157 654 cases, and the incidence remained high in the following years [Reference Nguyen6]. In 2008, the largest ever outbreak in Singapore was reported, a total of 29 686 cases, with one case resulting in death [Reference Wu7]. HFMD caused a heavy economic and social burden, resulting in an important public health problem that seriously threatened the life and health of children and infants.
Although China pioneered the development of an innovative EV71 HFMD vaccine, this vaccine was only effective to prevent HFMD caused by EV71 infection, and could not prevent HFMD caused by infection with other enteroviruses (including CA16) [Reference Carlton8]. Therefore, identification of risk factors for HFMD, and targeted prevention and control would be of assistance in reducing the incidence of HFMD. Currently, a large number of studies at home and abroad have focused on the impact of meteorological factors on the incidence of HFMD [Reference Zhao9–Reference Du11]. Analysis and comparison of the HFMD data with the corresponding meteorological data revealed a certain correlation between incidence of HFMD and temperature, humidity and air pressure. Although these studies were able to show that the incidence of HFMD was closely related to meteorological factors, the results of the studies were not consistent. For example, a study conducted by Zhao et al. [Reference Zhao9] reported a positive correlation between mean temperature and HFMD incidence, while Wei et al. [Reference Wei and Zhang12] reported a negative result. In another example, Chen et al. [Reference Chen13] found that the mean pressure and HFMD incidence was negatively correlated, while Du et al. [Reference Du11] reported a positive correlation. Wei et al. also reported no significant correlation between mean pressure and the incidence of HFMD. These inconsistencies also existed with respect to other meteorological factors.
It was clear from previous studies that the correlation between meteorological factors and HFMD were not consistent. Therefore, the current study was conducted to perform a meta-analysis of published articles, with the aim of identifying meteorological risk factors for HFMD and the role of these risk factors in the pathogenesis of HFMD. The aim is to provide baseline information and a scientific basis for prevention and control measures of HFMD.
Material and methods
Search strategy
A literature search was performed using PubMed, Web of Science, Embase, China National Knowledge Infrastructure, Wanfang Data and Weipu Database. We used the following key words: hand foot and mouth disease (HFMD), meteorological, climate change, temperature, precipitation, air pressure, humidity, wind speed and sunshine. Articles published before May 2018 were included in the current study. References from the retrieved documents were also checked to include any additional relevant articles.
Selection criteria
The inclusion criteria were as follows: (1) article language was Chinese or English; (2) study with a reported sample size; and (3) study provided clear correlation coefficient (COR), risk ratio (RR), odds ratio (OR) and incidence rate ratio (IRR) between meteorological factors and HFMD incidence.
Exclusion criteria were as follows: (1) review article; (2) repeatedly published papers; (3) articles with irrelevant data or lack of required information.
Data collection and quality assessment
The first author, year of publication, title, location, study period, time sample size, meteorological factors and COR were recorded on a form. To evaluate the impact of study quality on the results of the study, we designed an assessment programme according to standard guidelines [Reference Higgins and Green14–Reference Macfarlane, Glenny and Worthington16]. The evaluation scheme included nine items assessing reporting quality, external validity and bias, with possible scores ranging from 0 (poor quality) to 10 (high quality). Each document was independently scored by two researchers and discrepancies were resolved jointly [Reference Carlton8].
Statistical analysis
R software (R Foundation for Statistical Computing, Vienna, Austria) was used for meta-analysis. First, Q and I 2 statistics were used to estimate heterogeneity among studies. According to the Q-statistic, if P value of <0.10 indicates heterogeneity in the risk factors among studies, then in such cases the random-effect model was used for the meta-analysis. Otherwise, the fixed-effect model was used. When we extracted data from the included literature, we found that most of the articles used Spearman correlation to analyse the relationship between meteorological factors and HFMD, for instance, Chen et al. [Reference Chen13], and the others used Pearson correlation to analyse this association, for example, Song et al. [Reference Song17]. If the COR was not given in the article, we could extract the RR (risk ratio) [Reference Tian18–Reference Onozuka and Hashizume21], OR [Reference Wu22,Reference Bo23] and IRR (incidence rate ratio) [Reference Hii, Rocklöv and Ng2] values. Among the Southeast Asian countries researched, the incidences were all <5% [Reference Hii, Rocklöv and Ng2,Reference Phung20,Reference Onozuka and Hashizume21,Reference Bo23–Reference Kim25]. When the disease incidence is <5%, OR is an excellent approximation of RR, and IRR can be regarded as OR [Reference Rothman, Greenland and Lash26]. Then methods were available to convert the OR to COR [Reference Borenstein27]. The steps are as follows.
We converted from the log OR to the standardised mean difference (SMD) using
 $${\rm SMD} = {\rm lgOR\;} \displaystyle{{\sqrt 3} \over \pi}, $$
$${\rm SMD} = {\rm lgOR\;} \displaystyle{{\sqrt 3} \over \pi}, $$where π is the mathematical constant (approximately 3.14).
We then could convert from the standardised mean difference (SMD) to the correlation (r value) using
 $$r = \displaystyle{{{\rm SMD}} \over {\sqrt {{\rm SM}{\rm D}^2 + A}}}, $$
$$r = \displaystyle{{{\rm SMD}} \over {\sqrt {{\rm SM}{\rm D}^2 + A}}}, $$where A is the parameter related to the sample size (n 1 and n 2) of the two sets of data in the correlation analysis, where n 1 ≠ n 2
 $$\; A = \displaystyle{{{(n_1\; + {\rm \;} n_2)}^2} \over {n_1n_2}}.$$
$$\; A = \displaystyle{{{(n_1\; + {\rm \;} n_2)}^2} \over {n_1n_2}}.$$The parameter (A) depends on the ratio of n 1 to n 2, rather than the absolute values of these numbers. Therefore, if n 1 and n 2 are not sure, using n 1 = n 2, this will yield A = 4.
Summary statistics were then calculated, as most meta-analyses do not directly use CORs when combining CORs, because the variance of each COR is too dependent on the correlation [Reference Borenstein27–Reference Hedges and Olkin29]. The commonly used method is to calculate the sample COR (summary r value) of each study by Fisher's Z transform. We calculated Fisher's Z value and its standard error SEz for analysis, which yield the summary effect (summary Z) and 95% confidence interval (CI). Then the summary Z value was transformed into the summary r value [Reference Hedges and Olkin29]. The formulas are as follows.
The transformation from sample COR (r value) to Fisher's Z value is given by
 $${\rm Fisher^{\prime}s\;} Z = 0.5\ln \displaystyle{{1 + r} \over {1-r}}.$$
$${\rm Fisher^{\prime}s\;} Z = 0.5\ln \displaystyle{{1 + r} \over {1-r}}.$$The standard error of Z is
 $${\rm SE}z = \sqrt {\displaystyle{1 \over {n-3}}{\rm \;}}, $$
$${\rm SE}z = \sqrt {\displaystyle{1 \over {n-3}}{\rm \;}}, $$where n is the time sample size.
Then we convert each of summary Z values back to CORs (summary r) using
 $${\rm Summary}\; r = \displaystyle{{e^{2Z}-1} \over {e^{2Z} + 1}}.$$
$${\rm Summary}\; r = \displaystyle{{e^{2Z}-1} \over {e^{2Z} + 1}}.$$To calculated the summary r, and 95% CI. Based on the heterogeneity test results, we then judged the combination of effect values (summary r) using a random-effect model or a fixed-effect model. The hypothesis test was used to judge whether the correlation was statistically significant. The data were calculated and transformed using R software. Finally, forest plots were used to indicate the effect size. Publication bias was assessed with funnel plots and Egger's test.
Results
Characteristics of eligible studies
A total of 2437 articles were retrieved and 51 articles were included in the present study (Fig. 1). Detailed information regarding the meta-analysis is provided in Tables 1 and 2.

Fig. 1. Flowchart of study selection.
Table 1. Characteristics of the 51 publications included in the meta-analysis

Table 2. Summary of the studies included on the relationships between meteorological factors with HFMD

n.a., Data were not searched; *no statistical significance, P > 0.05.
All studies shown in Tables 1 and 2 were conducted in the Asia-Pacific areas; the time unit was month, week and day. The number of included studies were as follows: mean temperature (49 studies), mean maximum temperature (15 studies), mean minimum temperature (15 studies), mean air pressure (28 studies), rainfall (41 studies), average relative humidity (42 studies), hours of sunshine (24 studies) and mean wind speed (25 studies).
Correlation between meteorological factors and HFMD
Heterogeneity test: mean temperature (I 2 = 97%, P < 0. 001) suggested that there was heterogeneity, using the random-effects model to pool the effect values. The combined effect showed that the correlation between mean temperature and HFMD was statistically significant. CORs (mean temperature, mean air pressure and average wind speed with HFMD) were 0.52 (95% CI 0.42–0. 60), −0.51(95% CI −0.63 to −0.36) and 0.10 (95% CI −0.03 to 0.23) (Figs 2, 5, 9), the other CORs were displayed in the diagram (Figs 3, 4, 6, 7, 8), respectively, indicating that mean temperature and mean air pressure were correlated with HFMD.

Fig. 2. Forest plot of the correlation between mean temperature and incidence of HFMD. COR, correlation coefficient; CI, confidence interval.

Fig. 3. Forest plot of the correlation between mean maximum temperature and incidence of HFMD. COR, correlation coefficient; CI, confidence interval.

Fig. 4. Forest plot of the correlation between mean minimum temperature and incidence of HFMD. COR, correlation coefficient; CI, confidence interval.

Fig. 5. Forest plot of the correlation between mean air pressure and incidence of HFMD. COR, correlation coefficient; CI, confidence interval.

Fig. 6. Forest plot of the correlation between rainfall and incidence of HFMD. COR, correlation coefficient; CI, confidence interval.

Fig. 7. Forest plot of the correlation between mean relative humidity and incidence of HFMD. COR, correlation coefficient; CI, confidence interval.

Fig. 8. Forest plot of the correlation between hours of sunshine and incidence of HFMD. COR, correlation coefficient; CI, confidence interval.

Fig. 9. Forest plot of the correlation between mean wind speed and incidence of HFMD. COR, correlation coefficient; CI, confidence interval.
The forest plots of other meteorological factors can be found in Table 3. The results of heterogeneity testing demonstrated statistically significant heterogeneity with respect to mean temperature, average maximum temperature, average minimum temperature, mean air pressure, rainfall, average relative humidity, sunshine hours and average wind speed, using a random-effects model to merge effect values (Table 3).
Table 3. Meta-analysis of the correlation between meteorological factors and HFMD

*No statistical significance, P > 0.05; COR, correlation coefficient.
Subgroup analysis
The study also included subgroup analysis. In Table 4, the studies of daily resolution show that CORs of mean temperature, mean maximum temperature, mean minimum temperature, mean air pressure, rainfall and mean wind speed were highest compared with those of the remaining two groups, and the CORs of these factors were 0.70 (0.40–0.86), 0.79 (0.77–0.81), 0.77 (0.74–0.79), −0.57 (−0.89 to −0.16), 0.36 (0.09–0.58) and 0.21 (−0.17 to 0.54), respectively. In the subgroup analysis of humidity and hours of sunshine, the CORs in the subgroup of the month were 0.25 (0.09–0.41) and 0.21 (−0.17 to 0.54) higher than the values of the other groups.
Table 4. Subgroup analysis of the correlation between meteorological factors and HFMD (time resolution)

*No statistical significance, P > 0.05.
In subgroup analysis by regional climate, the studies of subtropical climate showed a slightly lower COR than the non-stratified group in relation to all the meteorological factors except average relative humidity, and the association of hours of sunshine with HFMD was not statistically significant and showed less heterogeneity (I 2 = 19.7%, P = 0.003). The studies of tropical climate found no statistically significant correlation between the incidence of HFMD and any of the meteorological factors. The results of subgroup analysis based on exposed time resolution (climate group) were consistent with those without stratification, as shown in Table 4 (Table 5).
Table 5. Subgroup analysis of the correlation between meteorological factors and HFMD (regional climate)

*No statistical significance, P > 0.05; n.a., data were not searched.
Sensitivity analysis and publication bias
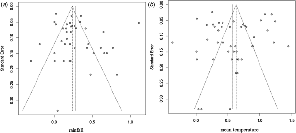
Sensitivity analyses were performed to evaluate the effect of each study on the pooled results by excluding single studies sequentially. The findings showed that the stability of results not significantly differ after exclusion of individual studies. Funnel plot asymmetry was observed for studies of rainfall and mean temperature (Fig. 13). The funnel plots of other meteorological factors are shown in Table 6 (Figs 10–12). Egger's test was used to assess funnel plot asymmetry, as shown in Table 6. No publication bias existed in the meta-analysis.

Fig. 10. Funnel plots of hours of sunshine and mean wind speed.

Fig. 11. Funnel plots of mean air pressure and mean relative humidity.

Fig. 12. Funnel plots of mean maximum temperature and mean minimum temperature.

Fig. 13. Funnel plots of rainfall and mean temperature.
Table 6. The publication bias of meteorological factors

Discussion
The current study found associations between meteorological factors and HFMD and indicated that these factors play an important role in the occurrence of HFMD. The COR for mean temperature was 0.52 (95% CI 0.42–0.60), that for mean maximum temperature was 0.43 (95% CI 0.23–0.59). CORs for mean minimum temperature, rainfall, mean relative humidity and sunshine were 0.43 (95% CI 0.23–0.60), 0.27 (95% CI 0.19–0.35), 0.19 (95% CI 0.02–0.35) and 0.19 (95% CI 0.11–0.27), respectively. These meteorological factors showed positive correlations with HFMD. However, mean air pressure was negatively correlated with HFMD, while mean wind speed showed no significant association (COR 0.10; 95% CI −0.03 to 0.23). The mechanism of meteorological factors on HFMD remains unclear. Possible reasons to explain these findings may be that, first, elevated temperatures contribute to the survival, reproduction and transmission of enterovirus in the outside environment [Reference Salo and Cliver63]. There is also a threshold for the influence of temperature on the incidence of foot and mouth disease [Reference Sumi5]. With increases in relative humidity and total rainfall, HFMD-causative pathogens are more likely to adhere to the surfaces of objects in the environment, and the probability of human contact with infectious agents increases [Reference Yeager and O'Brien64, Reference Cheng65]. Decreases in air pressure result in lowered immunity in humans, thus increasing the risk of disease [Reference Maes and De66]. With decreases in the duration of sunshine, the time people spend in outdoor activities is reduced, thus reducing the chance of patient contacts [Reference Liu67]. Although the mechanism is not clear, our study examines the association between weather factors and HFMD, indicating that weather factors affect the incidence of HFMD infection.
The results of this study were consistent with the majority of research findings. However, a study conducted by Wei et al. [Reference Wei and Zhang12] reported that the average temperature had a negative correlation with HFMD incidence (r = −0.36, P = 0.005), a finding that might be accounted for by a gap between the star time of the study and the establishment and improvement of the HFMD surveillance system [Reference Du, Zhang and Hao68]. In addition, most of the results of Wang et al. [Reference Wang52] were not statistically significant. Therefore, we should be cautious in interpretation of this and other studies to prevent over-generalisation and drawing the wrong conclusion. There was no significant correlation in the present study between the average wind speed and the incidence of HFMD; although this finding was consistent with the conclusion of most of the other studies, the COR was small and conclusions should not be arbitrarily drawn.
In subgroup analysis, no statistical significance was reported between mean relative humidity and subgroup of days. The same pattern was reported for hours of sunshine. It is possible that different time scales have an impact on the results of the study; while on the other hand, the effect was non-significant among the larger sample size studies. On the time scale, there was a lag effect in the subgroup of weeks, and there were seasonal problems in the monthly subgroup, all of which should be considered. It was concluded that time scales might be the factors affecting heterogeneity. As shown in Table 5, we found statistically significant association between meteorological factors and incidence of HFMD in subtropical and temperate regions. The subtropical and temperate climates are considered as those that are more suitable for the survival and reproduction of enteroviruses. Individuals living in these climates may participate in more outdoor activities, thereby increasing their exposure to pathogens [Reference Suminski69, Reference Bélanger70]. In the tropics, due to the existence of threshold, the excessive temperature may inhibit the survival and reproduction of the virus, thus reducing the opportunity for disease infection [Reference Sumi5, Reference Salo and Cliver63].
The strength of our study is based on its design as a meta-analysis; this was the first meta-analysis to examine correlations between eight meteorological factors and the incidence of HFMD. We observed that some meteorological factors such as temperature, air pressure, duration of sunshine, humidity and rainfall might be risk factors for HFMD and confirmed that these meteorological factors might affect the incidence of HFMD to a certain extent, more reliable and power than the conclusions obtained from single studies. As shown in Table 6, we found that publication bias was not statistically significant.
The study has some limitations. First, we found the significant heterogeneity between the studies included in this meta-analysis. All of the included studies were conducted in Southeast and East Asia, especially in China. So differences in regional and analytical methods might result in high heterogeneity in estimates from the literature. Most of the included studies that were conducted in subgroup analysis only analysed time resolution and regional climate. Additional possibilities such as national income should be considered to better understand sources of heterogeneity. The second limitation is that we only considered the eight meteorological factors affecting HFMD, ignoring other factors. In the present study, there were few studies of some of the meteorological factors involved, such as mean maximum temperature, so the results might be biased. Confirmation and clarification of these findings will require larger sample size and wider research region, such as the studies reviewed were from other Asian countries or throughout the world. Lastly, the studies we examined in this meta-analysis were studies of association. The researches we included were cross-sectional designs that limited the causal inference. The true relationship between meteorological factors and HFMD could be more complex, and there are potential difficulties in accurately measuring complex associations. Therefore, the association between meteorological factors and HFMD might be one of many influencing factors.
In summary, among the eight meteorological factors examined, the average temperature, average maximum temperature, mean minimum temperature, mean air pressure, rainfall, mean relative humidity and sunshine were related to HFMD, indicating that these factors play important roles in the incidence of HFMD. However, only eight major meteorological factors were analysed in this study. HFMD is a multifactorial disease that may be affected by additional meteorological factors (such as evaporation, water vapour pressure and radiation). Further analyses should examine various comprehensive indicators.
In conclusion, the results of this meta-analysis provide epidemiological evidence that meteorological factors (such as temperature and air pressure) may increase the incidence of HFMD in the Asia-Pacific regions. Further research should be performed to explain clearly the correlation between meteorological factors and HFMD in other areas of the world, outside the Asia-Pacific region. At the same time, monitoring these meteorological factors would play a warning role in the occurrence and prevalence of HFMD and could provide information useful in the development of prevention and control measures for HFMD, particularly in subtropical and temperate climates.
Financial support
Chinese National Natural Fund (81573258); Science Technology Demonstration Project for Emerging Infectious Diseases Control and Prevention (BE2015714); Jiangsu Provincial Six Talent Peak (WSN-002); Jiangsu Provincial Key Medical Discipline (ZDXKA2016008).
Conflict of interest
None.
 
 


















