1. Introduction
In this paper we study the partial regularity of minimizers of the integral functional

where $\Omega \subseteq \mathbb {R}^{n}$ is an open bounded set and
${\bf u} : \Omega \rightarrow \mathbb {R}^{N}$, with
$n$,
$N\ge 2$; i.e., we consider vectorial minimizers of
$\mathcal {F}$. The growth conditions we impose on
$f=f(x,{\bf u},{\bf P})$ are quite general, being as they permit ‘general growth condition’ with respect to the gradient variable. This allows us to treat in a unified way the degenerate (when
$p>2$) or singular (when
$p<2$) behaviour. We assume with respect to
$x$ a weak VMO condition, uniformly in
$({\bf u},{\bf P})$, and continuity with respect to
${\bf u}$. Our main result, theorem 1.1, proves that a minimizer of (1.1) is locally Hölder continuous for any Hölder exponent
$0<\alpha <1$; i.e., if
${\bf u}$ is a minimizer of (1.1), then
${\bf u}\in C_{\text {loc}}^{0,\alpha }(\Omega _0,\mathbb {R}^{N})$, where
$\Omega _0\subset \Omega$ is an open set of full measure specified in the statement of theorem 1.1 later in this section.
1.1 Literature review
We begin by explaining how the study of functional (1.1) fits into the broader regularity theory research over the past many years. Before proceeding further, we point out that Mingione [Reference Mingione35] has provided a comprehensive account of the various areas of study within regularity theory for integral functionals and PDEs; it is an excellent reference for those wishing to read a broad overview of the various areas of interest within the larger realm of regularity theory.
As already mentioned we allow $f$ to satisfy a VMO-type condition with respect to
$x$. More precisely the partial map
$\displaystyle x\mapsto ({f(x,{\bf u},{\bf P})})/({\varphi (|{\bf P}|)})$ satisfies a uniform VMO condition; here
$\varphi$ is an
$N$-function—see condition (F4) later in this section for the precise formulation. As a consequence we allow a certain controlled discontinuous behaviour with respect to the spatial variable in the integrand of (1.1). We prove partial Hölder continuity for the local minimizers. The first paper who considered low order regularity (for variational integrals) was the one by Foss and Mingione [Reference Foss and Mingione23], where they were assuming continuity with respect to
$x$ and
${\bf u}$. Thereafter Kristensen and Mingione [Reference Kristensen and Mingione29] proved Hölder continuity for convex integral functionals with continuous coefficients for a fixed Hölder exponent depending on the dimension and the growth exponent. Stronger assumptions as Dini-type conditions [Reference Duzaar, Gastel and Mingione20] lead to partial
$C^{1}$-regularity. It is worth mentioning the uniform porosity of the singular set for Lipschitzian minimizers of quasiconvex functionals [Reference Kristensen and Mingione30].
The space of functions with vanishing mean oscillation (VMO) has been introduced by Sarason in the realm of harmonic analysis, see [Reference Sarason37]. It has had several applications in connection with Hardy spaces, Riesz transforms or nonlinear commutators, see [Reference Iwaniec and Martin27, Reference Stein39] and references therein. In the early 90s, Chiarenza, Frasca and Longo [Reference Chiarenza, Frasca and Longo8] studied non-divergence form equations with VMO coefficients by means of singular integrals operators, see also [Reference Di Fazio and Ragusa18, Reference Di Fazio, Palagachev and Ragusa19].
The study of functionals satisfying a VMO-type condition has been broadened considerably over the past couple decades, see [Reference Danéćek and Viszus9, Reference Ragusa and Tachikawa38]. Recently, Bögelein, Duzaar, Habermann and Scheven [Reference Bögelein, Duzaar, Habermann and Scheven5] considered a functional of the form (1.1) under the assumption that $(x,{\bf u},{\bf P})\mapsto f(x,{\bf u},{\bf P})$ satisfies a type of VMO assumption in
$x$, uniformly with respect to
${\bf u}$ and
${\bf P}$; they further considered an analogous elliptic system of the form
$\nabla \cdot a(x,{\bf u},D{\bf u})=0$, in which, again, the coefficient
$a$ was assumed to satisfy a VMO-type condition with respect to its spatial coordinate. Moreover, the integral functional they studied was assumed to be quasi-convex. However, unlike our study, they assumed that the growth of
$f$ with respect to
${\bf P}$ was standard
$p$-growth,
$p\ge 2.$
Similarly, Bögelein [Reference Bögelein4] studied quasi-convex integral functionals in the vectorial case. But the assumed growth of the integrand with respect to the gradient was standard $p$-growth. It was also assumed that the map
$\displaystyle x\mapsto ({f(x,{\bf u},{\bf P})})/({(1+|{\bf P}|)^{p}})$ was VMO, uniformly with respect to
${\bf u}$ and
${\bf P}$. Bögelein, Duzaar, Habermann and Scheven [Reference Bögelein, Duzaar, Habermann and Scheven6] made some similar assumptions when considering a system of PDEs involving the symmetric part of the gradient
$D{\bf u}$, wherein the coefficients on the symmetric part were VMO.
Goodrich [Reference Goodrich26] then further generalized, in part, the results of [Reference Bögelein, Duzaar, Habermann and Scheven5] by considering (1.1) in the case where $x\mapsto f(x,{\bf u},{\bf P})$ was VMO, uniformly with respect to
${\bf u}$ and
${\bf P}$, and, furthermore, in which
$f$ was only asymptotically convex.
Next, the study of problems with general growth conditions has been initiated by Marcellini in a list of papers [Reference Marcellini32–Reference Marcellini and Papi34] and it is now very rich—see, e.g., [Reference Celada and Ok7, Reference De Filippis10, Reference Diening, Stroffolini and Verde15–Reference Diening, Lengeler, Stroffolini and Verde17, Reference Stroffolini40]. In particular, Marcellini and Papi proved the Lipschitz bound for a solution of an elliptic system of Uhlenbeck type with general growth. In view of comparison estimates, it is worth mentioning the paper [Reference Diening, Stroffolini and Verde15], where the $C^{1,\alpha }$ regularity is proven via an excess decay estimate. Very recently, De Filippis and Mingione have relaxed the hypotheses by considering also growth of exponential type (no
$\Delta _2$-condition) [Reference De Filippis and Mingione11].
So, we see that many papers in recent years have treated either VMO-type coefficient problems or general growth problems. To our knowledge, it seems that the combination of these two generalities has not been considered as we do in this paper. Thus, the results of this paper significantly generalize many of the previously mentioned papers.
1.2 Strategy of the proof
We briefly explain the strategy of the proof of the main result. As a major difficulty with respect to the proof by Bögelein or Duzaar et al. in the $p$-setting, we can't rely on homogeneity of the function
$\varphi$. In particular, an analogue of the Campanato excess

defined there and playing a key role in the iteration process could not be easily handled in the Orlicz setting.
Our strategy is to find carefully the two quantities which play the role both in the non-degenerate and in the degenerate cases. The first leading quantity is the excess functional

(see (3.14)). In the non-degenerate case, when

we linearize the problem, via the $\mathcal {A}$-harmonic approximation [Reference Diening, Lengeler, Stroffolini and Verde17]. This procedure, exploiting assumptions (F4)–(F5) and a freezing technique (with respect to the variables
$x$ and
${\bf u}$) based on the Ekeland variational principle, provides a comparison map which is an almost minimizer of the frozen functional and whose gradient is
$L^{1}$-close to that of the original minimizer (see lemma 3.8). Such comparison map is shown to be approximately
$\mathcal {A}$-harmonic, and this property is inherited by the minimizer itself via the comparison estimate. This allows to prove an excess-decay estimate, which, in turn, permits the iteration of the rescaled excess
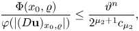
$\frac {\Phi (x_0,\varrho )}{\varphi (|(D{\bf u})_{x_0,\varrho }|)}$ and of a ‘Morrey-type’ excess

at each scale. Namely, there exists $\vartheta \in (0,1)$ such that, if the boundedness conditions

hold on some ball $B_\varrho (x_0)$, then

hold for every $m=0,1,\dots .$. Therefore,
$\Theta (x_0,\varrho )$ is the adequate excess playing the role of
$\Psi _\alpha$ in our setting.
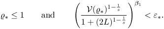
In the degenerate case, when

for some $\kappa <1$, we perform a different linearization procedure: the assumption (F7) coupled with an analogous freezing argument as before provides, now, the almost
$\varphi$-harmonicity of the minimizer via the application of the
$\varphi$-harmonic approximation [Reference Diening, Stroffolini and Verde16] to the comparison map. The corresponding excess improvement implies that if the excess is small at radius
$\varrho$ it is also small at some smaller radius
$\theta \varrho$, for
$\theta <1$. The key point in this iteration process is that the boundedness of both the excess
$\Phi$ and the Morrey excess
$\Theta$ at some scale
$\vartheta \theta ^{k_0}\varrho$ (‘switching radius’) under assumption (1.2) is satisfied exactly when the degenerate bound (1.3) fails and therefore we can proceed the iteration in the non-degenerate regime. Notice that, if on the one hand
$|(D{\bf u})_{x_0,\varrho }|$ might blow up in the iteration since we cannot expect
$C^{1}$-regularity, on the other hand the Morrey excess
$\Theta (x_0,\theta ^{k}\varrho )$ stays bounded, exactly as it should be for a
$C^{0,\alpha }$-regularity result. In addition, if at level
$k_0$ the regime is non-degenerate, the behaviour stays non-degenerate at any subsequent level
$k\geq k_0$, and the iteration can proceed. The smallness of
$\Theta$ at any level ensures Hölder continuity of
${\bf u}$ in
$x_0$ provided the excess functionals
$\Phi$ and
$\Theta$ are small at some initial radius
$\varrho$ (actually, this holds in a neighbourhood of
$x_0$, since these smallness conditions are open). Finally, it is then proven that such a smallness condition on the excesses is indeed satisfied on the complement of the set
$\Sigma _1\cup \Sigma _2$ of theorem 1.1.
1.3 Assumptions and statement of the main result
We list here the main assumptions on the integral functional that we are going to study throughout the paper. We assume that $\varphi :[0,\infty )\to [0,\infty )$ is an
$N$-function such that
(1)
$\varphi \in C^{1}([0,\infty ))\cap C^{2}((0,\infty ))$;
(2)
$0<\mu _1-1\leq \inf _{t>0}\frac {t\varphi ''(t)}{\varphi '(t)}\leq \sup _{t>0}\frac {t\varphi ''(t)}{\varphi '(t)}\leq \mu _2-1$, for suitable constants
$1<\mu _1\leq \mu _2$.
We may assume, without loss of generality, that $1<\mu _1<2<\mu _2$.
For the precise notation and definitions, as well as the additional assumptions we will require on $\varphi$, we refer to § 2.
We assume the integrand $f:\Omega \times \mathbb {R}^{N}\times \mathbb {R}^{N\times n}\to \mathbb {R}$,
$f=f(x,{\bf u},{\bf P})$ to be Borel-measurable, such that the partial map
${\bf P}\to f(\cdot ,\cdot ,{\bf P})\in C^{1}(\mathbb {R}^{N\times n})\cap C^{2}(\mathbb {R}^{N\times n}\backslash \{{\bf 0}\})$. We will denote by
$Df$ and
$D^{2}f$ the corresponding first and second gradients, respectively, for fixed
$x$ and
${\bf u}$. We require
$f$ to comply with the following assumptions:
(F1) coercivity: there exists
$\nu >0$ such that
uniformly in\begin{equation*} \nu \varphi(|{\bf P}|)\le f(x,{\bf u},{\bf P})-f(x,{\bf u},{\bf 0}) \end{equation*}
$x\in \Omega$ and
${\bf u}\in \mathbb {R}^{N}$, for every
${\bf P}\in \mathbb {R}^{N\times n}$;
(F2)
$\varphi$-growth conditions with respect to the
${\bf P}$ variable: there exists a constant
$L>0$ such that
uniformly in\begin{equation*} |D f(x,{\bf u},{\bf P})|\le L \varphi'(|{\bf P}|),\quad |D^{2} f(x,{\bf u},{\bf P})|\le L \varphi''(|{\bf P}|), \end{equation*}
$x\in \Omega$ and
${\bf u}\in \mathbb {R}^{N}$, for every
${\bf P}\in \mathbb {R}^{N\times n}$ with
$|{\bf P}|\neq 0$;
(F3)
$f$ is degenerate quasiconvex; i.e.,
for every\begin{align*} & \int_{B}{f (x, {\bf u}, {\bf P}+D \boldsymbol {\eta}(y)) -f(x, {\bf u}, {\bf P})} \, \textrm{d} y\\ &\quad \geq \nu \int_{B}\varphi'' (\mu+ \vert{{\bf P}}\vert + \vert{D \boldsymbol \eta(y)}\vert)\, \vert{D \boldsymbol \eta(y)}\vert^{2} \, \textrm{d} y, \end{align*}
$x \in \Omega$,
${\bf u} \in \mathbb {R}^{N}$, every ball
$B\subset \Omega$,
${\bf P}\in \mathbb {R}^{N\times n}$ and
$\boldsymbol \eta \in C^{\infty }_0(B, \mathbb {R}^{N})$,
$\mu \ge 0$;
(F4) the function
$x\mapsto f ( x, {\bf u}, {\bf P})/\varphi (|{\bf P}|)$ satisfies a VMO-condition, uniformly with respect to
$({\bf u}, {\bf P})$:
where\begin{equation*} {\vert{ f (x, {\bf u}, {\bf P})- (f({\cdot}, {\bf u}, {\bf P}))_{x_0, r}}\vert} \leq {v}_{x_0}(x, r) \varphi( |{\bf P}|),\quad \mbox{ for all} x\in B_r(x_0) \end{equation*}
$x_0\in \Omega$,
$r\in (0,1]$ and
${\bf P}\in \mathbb {R}^{N\times n}$ and
${v}_{x_0}:\mathbb {R}^{n}\times [0,1]\to [0,2L]$ are bounded functions such that
and\begin{equation*} \lim_{\varrho\to 0}{\mathcal{V}}(\varrho)=0 , \mbox{ where } {\mathcal{V}}(\varrho):=\sup_{x_0\in\Omega}\sup_{0< r\leq\varrho} \mathop {\int\hskip -1,05em -\,} \limits_{B_r(x_0)}{v}_{x_0}(x,r)\,\mathrm{d}x, \end{equation*}
\begin{equation*} (f({\cdot}, {\bf u}, {\bf P}))_{x_0, r}:=\frac{1}{|B_r(x_0)|}\int_{B_r(x_0)} f(x, {\bf u}, {\bf P})\,\mathrm{d}x\,; \end{equation*}
(F5)
$f$ is uniformly continuous with respect to the
${\bf u}$ variable; i.e.,
where\begin{equation*} {\vert{ f (x, {\bf u}, {\bf P})- f (x, {\bf u}_0, {\bf P})}\vert}\le L\omega ( |{\bf u}-{\bf u}_0|) \varphi(|{\bf P}|), \end{equation*}
$\omega :[0,\infty )\to [0,1]$ is a nondecreasing, concave modulus of continuity; i.e.,
$\lim _{t\downarrow 0}\omega (t)=\omega (0)=0$.
(F6) the second derivatives
$D^{2}f$ are Hölder continuous away from
$\bf {0}$ with some exponent
$\beta _0 \in (0,1)$ such that uniformly in
$(x, {\bf u})$ and for
$0<|{\bf P}|\le \frac 12 |{\bf Q}|$
\begin{equation*} {\vert{ D^{2} f (x, {\bf u}, {\bf P})- D^{2} f (x, {\bf u}, {\bf P}+{\bf Q}) }\vert} \le c_0 \,\varphi' ({\vert{{\bf Q}}\vert}) \,{\vert{{\bf Q}}\vert}^{-\beta_0} {\vert{{\bf P}}\vert}^{\beta_0}\,; \end{equation*}
(F7) the function
${\bf P} \to Df(x,{\bf u}, {{\bf P}})$ behaves asymptotically at
$0$ as the
$\varphi$-Laplacian; i.e.,
uniformly in\begin{equation*} \lim_{t\to 0} \frac{Df(x,{\bf u}, t {{\bf P}}) }{\varphi'(t)}= {{\bf P}}, \end{equation*}
$\{{\bf P}\in \mathbb {R}^{N\times n}:\, |{\bf P}|=1\}$ and uniformly for all
$x\in \Omega$ and
${\bf u}\in \mathbb {R}^{N}$.
Our main regularity result can be stated as follows. Note that the definition of ${\bf V}$ appearing in
$\Sigma _1$ can be found in (2.3).
Theorem 1.1 Let $\Omega \subset \mathbb {R}^{n}$ be an open bounded domain,
$\varphi$ a convex function satisfying assumptions (φ1)–(φ3) and consider a minimizer
${\bf u} \in W^{1,\varphi }(\Omega ,\mathbb {R}^{N})$ to the functional (1.1) under assumptions (F1)–(F7). Then there exists an open subset
$\Omega _0 \subset \Omega$ such that

for every $\alpha \in (0,1)$. Moreover,
$\Omega \setminus \Omega _0\subset \Sigma _1\cup \Sigma _2$ where

2. Preliminaries and basic results
2.1 Some basic facts on
$N$–functions
We recall here some elementary definitions and basic results about Orlicz functions. The following definitions and results can be found, e.g., in [Reference Adams1, Reference Bennett and Sharpley3, Reference Krasnosel'skií and Rutickií28, Reference Kufner, John and Fucik31].
A real-valued function $\varphi \colon \mathbb {R}^{+}_0 \to \mathbb {R}^{+}_0$ is said to be an
$N$-function if it is convex and satisfies the following conditions:
$\varphi (0)=0$,
$\varphi$ admits the derivative
$\varphi '$ and this derivative is right continuous, non-decreasing and satisfies
$\varphi '(0) = 0$,
$\varphi '(t)>0$ for
$t>0$, and
$\lim _{t\to \infty } \varphi '(t)=\infty$.
We say that $\varphi$ satisfies the
$\Delta _2$-condition if there exists
$c > 0$ such that for all
$t \geq 0$ holds
$\varphi (2t) \leq c\, \varphi (t)$. We denote the smallest possible such constant by
$\Delta _2(\varphi )$. Since
$\varphi (t) \leq \varphi (2t)$, the
$\Delta _2$-condition is equivalent to
$\varphi (2t) \sim \varphi (t)$, where ‘
$\sim$’ indicates the equivalence between
$N$-functions.
By $L^{\varphi }$ and
$W^{1,\varphi }$ we denote the classical Orlicz and Orlicz-Sobolev spaces, i. e.
$f \in L^{\varphi }$ if and only if
$\int \varphi (|{f}|)\,\textrm {d}x < \infty$ and
$f \in W^{1,\varphi }$ if and only if
$f, D f \in L^{\varphi }$. The space
$W^{1,\varphi }_0(\Omega )$ will denote the closure of
$C^{\infty }_0(\Omega )$ in
$W^{1,\varphi }(\Omega )$.
We define the function $(\varphi ')^{-1} \colon \mathbb {R}^{+}_0 \to \mathbb {R}^{+}_0$ as

If $\varphi '$ is strictly increasing, then
$(\varphi ')^{-1}$ is the inverse function of
$\varphi '$. Then
$\varphi ^{\ast } \colon \mathbb {R}^{+}_0 \to \mathbb {R}^{+}_0$ with

is again an $N$-function and
$(\varphi ^{\ast })'(t) = (\varphi ')^{-1}(t)$ for
$t>0$.
$\varphi ^{\ast }$ is the Young-Fenchel-Yosida conjugate function of
$\varphi$. Note that
$\varphi ^{*}(t)= \sup _{a \geq 0} (at - \varphi (a))$ and
$(\varphi ^{\ast })^{\ast } = \varphi$. When both
$\varphi$ and
$\varphi ^{*}$ satisfy
$\Delta _2$-condition, by elementary convex analysis it is easy to see that for all
$\delta >0$ there exists
$c_\delta$ (only depending on
$\Delta _2(\varphi )$ and
$\Delta _2(\varphi ^{\ast })$) such that for all
$t, a \geq 0$ it holds that

Proposition 2.1 Let $\varphi$ be an
$N$-function complying with (φ1) and (φ2). Then
(i) it holds that
(2.1)uniformly in\begin{equation} \varphi'(t) \sim t\,\varphi''(t) \end{equation}
$t > 0$. The constants in (2.1) are called the characteristics of
$\varphi$;
(ii) it holds that
\begin{equation*} \mu_1\leq \inf_{t>0}\frac{t\varphi'(t)}{\varphi(t)}\leq \sup_{t>0}\frac{t\varphi'(t)}{\varphi(t)}\leq\mu_2\,; \end{equation*}
(iii) the mappings
are increasing and decreasing, respectively;\begin{equation*} t\in(0,+\infty)\to \frac{\varphi'(t)}{t^{\mu_1-1}},\, \frac{\varphi(t)}{t^{\mu_1}} \mbox{ and } t\in(0,+\infty)\to \frac{\varphi'(t)}{t^{\mu_2-1}},\, \frac{\varphi(t)}{t^{\mu_2}} \end{equation*}
(iv) as for the functions
$\varphi$ and
$\varphi '$ applied to multiples of given arguments, the following inequalities hold for every
$t\geq 0$:
\begin{align*} & a^{\mu_2}\varphi(t) \leq \varphi(at) \leq a^{\mu_1}\varphi(t) \mbox{ and } \\ &a^{\mu_2-1}\varphi'(t) \leq \varphi'(at) \leq a^{\mu_1-1}\varphi'(t) \mbox{ if } 0< a\leq 1\,; \\ & a^{\mu_1}\varphi(t) \leq \varphi(at) \leq a^{\mu_2}\varphi(t) \mbox{ and } \\ &a^{\mu_1-1}\varphi'(t) \leq \varphi'(at) \leq a^{\mu_2-1}\varphi'(t) \mbox{ if } a\geq 1. \end{align*}
In particular, from (iv) it follows that both $\varphi$ and
$\varphi ^{*}$ satisfy the
$\Delta _2$-condition with constants
$\Delta _2(\varphi )$ and
$\Delta _2(\varphi ^{*})$ determined by
$\mu _1$ and
$\mu _2$. We will denote by
$\Delta _2({\varphi , \varphi ^{\ast }})$ constants depending on
$\Delta _2(\varphi )$ and
$\Delta _2(\varphi ^{*})$. Moreover, for
$t>0$ we have

We recall also that the following inequalities hold for the inverse function $\varphi ^{-1}$:

for every $t\geq 0$ with
$0< a\leq 1$. The same result holds also for
$a\geq 1$ by exchanging the role of
$\mu _1$ and
$\mu _2$.
For given $\varphi$ we define the associated
$N$-function
$\psi$ by

Notice that if $\varphi$ satisfies assumption (2.1), then also
$\varphi ^{*}$,
$\psi$ and
$\psi ^{*}$ satisfy this assumption.
Define ${\bf V}\,:\, \mathbb {R}^{N\times n} \to \mathbb {R}^{N\times n}$ in the following way:

It is easy to check that

uniformly in ${\bf Q} \in \mathbb {R}^{N\times n}$.
Another important set of tools are the shifted $N$-functions
$\{\varphi _a \}_{a \ge 0}$ (see [Reference Diening and Ettwein12]). We define for
$t\geq 0$

We have the following relations:


The families $\{\varphi _a \}_{a \ge 0}$ and
$\{(\varphi _a)^{*} \}_{a \ge 0}$ satisfy the
$\Delta _2$-condition uniformly in
$a \ge 0$. The connection between
${\bf V}$ and
$\varphi _{a}$ (see [Reference Diening and Ettwein12]) is the following:

uniformly in ${\bf P}, {\bf Q} \in \mathbb {R}^{N\times n}$. The following lemma (see [Reference Diening and Kreuzer14, corollary 26]) deals with the change of shift for
$N$-functions.
Lemma 2.2 Let $\varphi$ be an
$N$-function with
$\Delta _2(\varphi ),\Delta _2(\varphi ^{*})<\infty$. Then for any
$\eta >0$ there exists
$c_\eta >0$, depending only on
$\eta$ and
$\Delta _2(\varphi )$, such that for all
${\bf a}, {\bf b}\in \mathbb {R}^{d}$ and
$t\geq 0$

We define the function ${\bf V}_a : \mathbb {R}^{N\times n}\to \mathbb {R}^{N\times n}$ for
$a\geq 0$ by

where $\varphi _a$ is the shifted
$N$-function of
$\varphi$. Since
$\varphi _0=\varphi$, we retrieve in (2.8) the function
${\bf V}$ for
$a=0$. With the following lemma, we list some properties of functions
${\bf V}_a$ which will be useful in the sequel.
Lemma 2.3 Let $a\geq 0$ and
${\bf V}_a$ be as above. Then for any
${\bf P}, {\bf Q}\in \mathbb {R}^{N\times n}$ a Young-type inequality holds:

where the constant $c$ depends only on
$\Delta _2(\varphi )$.
Let ${\bf {P}}_0,{\bf {P}}_1\in \mathbb {R}^{N\times n}$,
$\theta \in [0,1]$ and define
${\bf {P}}_{\theta }:=(1-\theta ){\bf {P}}_0+\theta {\bf {P}}_1$. Then the following result holds (see [Reference Diening and Ettwein12, lemma 20]).
Lemma 2.4 Let $\varphi$ be a
$N$-function with
$\Delta _2(\varphi , \varphi ^{*})<\infty .$ Then uniformly for all
${\bf {P}}_0,{\bf {P}}_1\in \mathbb {R}^{N\times n}$ with
$|{\bf {P}}_0|+|{\bf {P}}_1|>0$ holds

where the constants only depend on $\Delta _2(\varphi , \varphi ^{*}).$
In view of the previous considerations, the same proposition holds true for the shifted functions, uniformly in $a\ge 0$.
From assumption (F2) we can easily infer an upper bound for $f(x,{\bf u},{\bf P})-f(x,{\bf u},{\bf Q})$, uniformly in
$x\in \Omega$ and
${\bf u}\in \mathbb {R}^{N}$, for every
${\bf P}, {\bf Q}\in \mathbb {R}^{N\times n}$; namely,

The following estimate is a consequence of (F2) and lemma 2.4 (see [Reference Diening, Lengeler, Stroffolini and Verde17, eq. (2.14)]):

for every ${\bf P}, {\bf Q}\in \mathbb {R}^{N\times n}$.
The following version of Sobolev-Poincaré inequality can be found in [Reference Diening and Ettwein12, lemma 7].
Theorem 2.5 Let $\varphi$ be an
$N$-function with
$\Delta _2(\varphi ,\varphi ^{*})<+\infty$. Then there exist numbers
$\alpha =\alpha (n,\Delta _2(\varphi ,\varphi ^{*}))\in (0,1)$ and
$K=K(n,N,\Delta _2(\varphi ,\varphi ^{*}))>0$ such that the following holds. If
$B\subset \mathbb {R}^{n}$ is any ball with radius
$R$ and
${\bf w}\in W^{1,\varphi }(B,\mathbb {R}^{N})$, then

where $\displaystyle ({\bf w})_B:=\mathop {\int\hskip -1,05em -\,} \limits_B {\bf w}(x)\,\mathrm {d}x$. Moreover, if
${\bf w}\in W^{1,\varphi }_0(B,\mathbb {R}^{N})$, then

where $K$ and
$\alpha$ have the same dependencies as before.
2.2 Some useful lemmas
The following lemma, useful in order to re-absorb certain terms, is a variant of the classical [Reference Giusti25, lemma 6.1] (see [Reference Diening, Lengeler, Stroffolini and Verde17, lemma 3.1]).
Lemma 2.6 Let $\psi$ be an
$N$-function with
$\psi \in \Delta _2$, let
$\varrho >0$ and
$h\in L^{\psi }(B_{\varrho }(x_0))$. Let
$g:[r,\varrho ]\to \mathbb {R}$ be nonnegative and bounded such that for all
$r\leq s< t\leq \varrho$

where $A,B,C\geq 0$,
$\beta >0$ and
$\theta \in [0,1)$. Then

The following lemma is useful to derive reverse Hölder estimates. It is a variant of the results by Gehring [Reference Gehring24] and Giaquinta-Modica [Reference Giusti25, theorem 6.6].
Lemma 2.7 Let $B_0\subset \mathbb {R}^{n}$ be a ball,
$f\in L^{1}(B_0)$, and
$g\in L^{\sigma _0}(B_0)$ for some
$\sigma _0>1$. Assume that for some
$\theta \in (0,1)$,
$c_1>0$ and all balls
$B$ with
$2B\subset B_0$

Then there exist $\sigma _1>1$ and
$c_2>1$ such that
$g\in L^{\sigma _1}_\textrm {loc}(B)$ and for all
$\sigma _2\in [1,\sigma _1]$

2.3
$\mathcal {A}$-harmonic and
$\varphi$-harmonic functions
Let $\mathcal {A}$ be a bilinear form on
$\mathbb {R}^{N\times n}$. We say that
$\mathcal {A}$ is strongly elliptic in the sense of Legendre-Hadamard if for all
$\boldsymbol \xi \in \mathbb {R}^{N},\boldsymbol \zeta \in \mathbb {R}^{n}$ it holds that

for some $L_{\mathcal {A}}\geq {{\kappa _{\!\mathcal {A}}}}>0$. We say that a Sobolev function
${\bf w}$ on a ball
$B_\varrho (x_0)$ is
$\mathcal {A}$-harmonic on
$B_\varrho (x_0)$ if it satisfies
$-{ {\mathrm {div}}} (\mathcal {A}D {\bf w})=0$ in the sense of distributions; i.e.,

It is well known from the classical theory (see, e.g. [Reference Giusti25, chapter 10]) that ${\bf w}$ is smooth in the interior of
$B_\varrho (x_0)$, and it satisfies the estimate

Let $\varphi$ be an Orlicz function. We say that a map
${\bf w}\in W^{1,\varphi }(B_\varrho (x_0),\mathbb {R}^{N})$ is
$\varphi$-harmonic on
$B_\varrho (x_0)$ (see [Reference Diening, Stroffolini and Verde16]) if and only if

More precisely, $D{\bf w}$ and
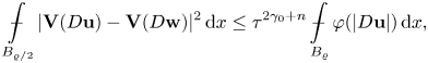
${\bf V}(D{\bf w})$ are Hölder continuous due to the following decay estimate, see [Reference Diening, Stroffolini and Verde15].
Proposition 2.8 Let $\varphi$ be a convex function complying with (φ1), (φ2) and
(φ3)
\begin{align*} \hspace{0.5cm} & \varphi' \text{ is H}\unicode{x04E7}\text{lder continuous off the diagonal:} \hspace{1cm}\\ & \hspace{2cm} \left|\varphi''(s+t)-\varphi''(t)\right|\leq c_0\, \varphi'' (t)\, \bigg( \frac{\left|s\right|}{t} \bigg)^{\beta_0}, \quad \beta_0>0, \hspace{1cm}\\ & \text{ for all } t>0 \text{ and } s \in \mathbb{R} \text{ with } \left|s\right| < \frac{1}{2} t. \end{align*}
Then there exist a constant $c\geq 1$ and an exponent
$\gamma _0 \in (0,1)$ depending only on
$n,N$ and the characteristics of
$\varphi$, such that the following statement holds true: whenever
${\bf w} \in W^{1,\varphi }(B_{R}(x_0),\mathbb {R}^{N})$ is a weak solution of the system

then for every $\tau \in (0,1)$ there hold

This result can be viewed as the Orlicz version of the milestone theorem of Uhlenbeck [Reference Uhlenbeck41] for differential forms solving a $p$-harmonic system, see also [Reference Beck and Stroffolini2].
2.4 Harmonic type approximation results
We recall here two different harmonic type approximation results. The first one is the $\mathcal {A}$-harmonic approximation: given a Sobolev function
${\bf u}$ on a ball
$B$, we want to find an
$\mathcal {A}$-harmonic function
${\bf w}$ which is ‘close’ to the function
${\bf u}$. It will be the
$\mathcal {A}$-harmonic function with the same boundary values as
${\bf u}$; i.e., a Sobolev function
${\bf w}$ which satisfies

in the sense of distributions.
Setting ${\bf z} := {\bf w} - {\bf u}$, then (2.15) is equivalent to finding a Sobolev function
${\bf z}$ which satisfies

in the sense of distributions.
The following $\mathcal {A}$-harmonic approximation result in the setting of Orlicz spaces has been proved in [Reference Diening, Lengeler, Stroffolini and Verde17, theorem 14].
Theorem 2.9 Let $B \subset \subset \Omega$ be a ball with radius
$r_B$ and let
$\widetilde {B} \subset \Omega$ denote either
$B$ or
$2B$. Let
$\mathcal {A}$ be a strongly elliptic (in the sense of Legendre-Hadamard) bilinear form on
$\mathbb {R}^{N\times n}$. Let
$\psi$ be an N-function with
$\psi \in \Delta _2(\psi , \psi ^{*})$ and let
$s>1$. Then for every
$\varepsilon >0$, there exists
$\delta >0$ only depending on
$n$,
$N$,
$\kappa _A$,
$\lvert {\mathcal {A}}\rvert$,
$\Delta _2(\psi ,\psi ^{*})$ and
$s>1$ such that the following holds. Let
${\bf u} \in W^{1,\psi }(\widetilde {B},\mathbb {R}^{N})$ be almost
$\mathcal {A}$-harmonic on
$B$ in the sense that

for all $\boldsymbol \eta \in C^{\infty }_0(B,\mathbb {R}^{N})$. Then the unique solution
${\bf z} \in W^{1, \psi }_0(B,\mathbb {R}^{N})$ of (2.16) satisfies

Remark 2.10 We will exploit the previous approximation result in a slightly modified version. Indeed, following [Reference Celada and Ok7, lemma 2.7], under the additional assumption

for some exponent $s>1$ and for a constant
$\mu >0$, and (2.17) replaced by

it can be seen with minor changes in the proof that the unique solution ${\bf z} \in W^{1, \psi }_0(B,\mathbb {R}^{N})$ of (2.16) satisfies

Now, moving on to $\varphi$-harmonic functions, the following
$\varphi$-harmonic approximation lemma ([Reference Diening, Stroffolini and Verde16, lemma 1.1]) is the extension to general convex functions of the
$p$-harmonic approximation lemma [Reference Duzaar and Mingione21], [Reference Duzaar and Mingione22, lemma 1], and allows to approximate ‘almost
$\varphi$-harmonic’ functions by
$\varphi$-harmonic functions.
Lemma 2.11 Let $\varphi$ satisfy assumption (2.1). For every
$\varepsilon >0$ and
$\theta \in (0,1)$ there exists
$\delta >0$ which only depends on
$\varepsilon$,
$\theta$, and the characteristics of
$\varphi$ such that the following holds. Let
$B\subset \mathbb {R}^{n}$ be a ball and let
$\tilde {B}$ denote either
$B$ or
$2B$. If
${\bf u}\in W^{1,\varphi }(\tilde {B},\mathbb {R}^{N})$ is almost
$\varphi$-harmonic on a ball
$B\subset \mathbb {R}^{n}$ in the sense that

for all $\boldsymbol \eta \in C^{\infty }_0(B,\mathbb {R}^{N})$, then the unique
$\varphi$-harmonic
${\bf w}\in W^{1,\varphi }(B,\mathbb {R}^{N})$ with
${\bf w}={\bf u}$ on
$\partial B$ satisfies

where ${\bf V}$ is as in (2.3).
The estimate (2.19) can be improved when $\varphi (|D{\bf u}|)$ satisfies a reverse Hölder inequality as follows (see [Reference Celada and Ok7, corollary 2.10]).
Lemma 2.12 Let $B\subset \mathbb {R}^{n}$ be a ball. Let
${\bf u}\in W^{1,\varphi }(2B,\mathbb {R}^{N})$ be such that

for $s_1>1$ and
$\tilde {c}_0>0$. Then for every
$\varepsilon \in (0,1)$ there exists
$\delta _0=\delta _0(n,N,\mu _1,\mu _2,s_1, \tilde {c}_0,\varepsilon )>0$ such that the following holds: if
${\bf u}$ is almost
$\varphi$-harmonic as in (2.18) with
$\delta _0$ in place of
$\delta$, then the unique
$\varphi$-harmonic function
${\bf w}\in W^{1,\varphi }(B, \mathbb {R}^{N})$ such that
${\bf w}={\bf u}$ on
$\partial B$ satisfies

3. Partial regularity for functionals
3.1 Caccioppoli inequalities and higher integrability results
As usual, the first step in proving a regularity theorem for the minimizers of integral functionals is to establish suitable Caccioppoli-type inequalities.
First, we state a ‘zero order’ Caccioppoli inequality. The proof is an adaptation to the $\varphi$-setting of [Reference Bögelein4, lemma 3.1], we then omit the details (see also [Reference Celada and Ok7, theorem 2.4]).
Lemma 3.1 Let ${\bf u}\in W^{1,\varphi }(\Omega ,\mathbb {R}^{N})$ be a minimizer of the functional (1.1), under assumptions (F1)–(F2). Then, for every
${\bf u}_0\in \mathbb {R}^{N}$ and
$x_0\in \Omega$ and all
$0<\varrho <\textrm {dist}(x_0,\partial \Omega )$ and
$r\in [\varrho /2,\varrho )$ there holds

for some constant $c=c(\varphi , L,\nu )>0$.
From lemma 3.1 together with the Sobolev-Poincaré inequality (theorem 2.5) and Gehring's Lemma (lemma 2.7), one can infer in a standard way the following higher integrability result (see, e.g., [Reference Celada and Ok7, theorem 2.5]).
Lemma 3.2 There exist an exponent $s_0=s_0(n,N,\varphi ,L,\nu )>1$ and a constant
$c$ depending only on
$n,N,\varphi ,L,\nu$ such that, if
${\bf u}\in W^{1,\varphi }(\Omega ;\mathbb {R}^{N})$ is a minimizer of the functional (1.1), complying with (F1)–(F2), then the following holds: for every
$s\in (1,s_0]$, for any
$x_0\in \Omega$, any radius
$0<\varrho <{\rm dist}(x_0,\partial \Omega )$ and
$r\in [\varrho /2,\varrho )$, one has

Another useful tool will be the following global higher integrability result on balls for minimizers of (1.1), which has been proven in the Orlicz setting for more general integrands in [Reference De Filippis10, lemma 4.3].
Lemma 3.3 Let ${\bf u}\in W^{1,\varphi }(B_r(x_0),\mathbb {R}^{N})$ be such that
$\varphi (|D{\bf u}|)\in L^{s_0}(B_r(x_0), \mathbb {R}^{N})$ for some
$s_0>1$. Then there exists an exponent
$s=s(n,N,\varphi ,L,\nu ,s_0)\in (1,s_0]$ and a constant
$c=c(n,N,\varphi ,L,\nu )$ such that, if
${\bf v}\in {\bf u}+W^{1,\varphi }_0(B_r(x_0),\mathbb {R}^{N})$ is a minimizer of the functional
$\mathcal {G}[{\bf v}]:=\int _{B_r(x_0)}g(D{\bf v})\,\mathrm {d}x$ with a
$C^{1}$-integrand
$g:\mathbb {R}^{N\times n}\to \mathbb {R}$ complying with the growth assumptions

for all $\boldsymbol \xi \in \mathbb {R}^{nN}$, then we have
$\varphi (|D{\bf v}|)\in L^{s}(B_r(x_0),\mathbb {R}^{N})$ and

We have the following Caccioppoli inequality of second type for local minimizers of (1.1), involving affine functions.
Lemma 3.4 There exists a constant $c=c(n,N,\Delta _2(\varphi ),\nu ,L)>0$ such that, if
${\bf u}\in W^{1,\varphi }(\Omega ;\mathbb {R}^{N})$ is a minimizer of the functional (1.1) under assumptions (F1)–(F7), and
$\boldsymbol \ell :\mathbb {R}^{n}\to \mathbb {R}^{N}$ is an affine function, say
$\boldsymbol \ell (x):={\bf u}_0+{\bf Q}(x-x_0)$ for some
${\bf u}_0\in \mathbb {R}^{N}$ and
${\bf Q}\in \mathbb {R}^{N\times n}$, then for any ball
$B_\varrho (x_0)\subseteq \Omega$ with
$\varrho \leq \varrho _0$ there holds

for every $s\in (1,s_0]$ where
$s_0$ is that of lemma 3.2.
Proof. We follow the argument of [Reference Bögelein4, lemma 3.5] for functionals with $p$-growth, just mentioning how to obtain the analogous main estimates therein. We assume, without loss of generality, that
$x_0=0$. For radii
$\frac {\varrho }{2}\leq r<\tau < t\leq \frac {3\varrho }{4}$ with
$\tau :=\frac {r+t}{2}$ we consider a cut-off function
$\eta \in C_0^{\infty }(B_\tau ;[0,1])$ such that
$\eta \equiv 1$ on
$B_r$ and
$|D\eta |\leq \frac {4}{t-r}$ on
$B_\tau$. Correspondingly, we define the functions
$\boldsymbol \xi :=\eta ({\bf u} - \boldsymbol \ell )\in W^{1,\varphi }(B_\tau ;\mathbb {R}^{N})$ and
$\boldsymbol \psi :=(1-\eta )({\bf u} - \boldsymbol \ell )\in W^{1,\varphi }(B_\tau ;\mathbb {R}^{N})$. Note that
$\boldsymbol \ell +\boldsymbol \xi ={\bf u}-\boldsymbol \psi$. From the quasi-convexity assumption (F3), (2.4) and simple manipulations we obtain

where

Now, we proceed to estimate each term above separately. From the minimizing property of ${\bf u}$ we infer that
$J_4\leq 0$, and by assumptions (F5) and (F4) we obtain the estimates

respectively. Again by exploiting property (F5), the monotonicity of $\omega$ and
$\varphi$, and the fact that

we can estimate $J_5$ as

whence, taking into account that by virtue of (2.5),

and recalling that $\omega \leq 1$, we get

For what concerns $J_6$, an analogous computation as for the estimate of
$J_5$ based on (3.2) and the VMO assumption (F4) gives

The terms $J_1$ and
$J_7$ can be combined together as

From the Cauchy-Schwarz inequality, (2.11) and the fact that $D\boldsymbol \psi ={\bf 0}$ on
$B_r$ we infer

We can estimate $J'_1$ analogously, by recalling that
$D{\bf u}-(1-\theta )D\boldsymbol \psi ={\bf Q}+D\boldsymbol \xi +\theta D\boldsymbol \psi$,
$D\boldsymbol \psi ={\bf 0}$ on
$B_r$ and applying the triangle inequality for
$\varphi '_{|{\bf Q}|}$, (2.11) and the Young's inequality (2.9). In this way we get

Recalling the definitions of $\boldsymbol \xi$ and
$\boldsymbol \psi$, by a simple computation we find that

whence

so that combining with the previous estimates we get

Since $\boldsymbol \xi ={\bf u}-\boldsymbol \ell$ on
$B_r$ and
$\tau \leq \varrho$, from (3.1) and the estimates for
$J_1-J_7$ we obtain

Now, in a standard way we ‘fill the hole’ thus obtaining

where $\sigma :=\frac {\tilde {c}}{\tilde {c}+1}<1$. In order to bound the latter term further, we exploit the higher integrability result of lemma 3.2. Thus, with fixed
$s\in (1,s_0]$, as a consequence of Hölder's inequality, the concavity of
$\omega$, the bounds
$\omega \leq 1$ and
${v}_0\leq 2L$, and Jensen's inequality also we obtain

where $c=c(n,N,\Delta _2(\varphi ),\nu ,L)$. This estimate, combined with (3.3) gives

Now, since the previous estimate holds for arbitrary radii $r,t$ such that
$\varrho /2\leq r< t\leq 3\varrho /4$, the constant
$c$ depends only on
$n,N,\Delta _2(\varphi ),\nu ,L$ and
$\sigma <1$, as a consequence of lemma 2.6 applied with
$\beta :=n(s-1)$ we obtain

In view of lemma 3.1 applied with $\varrho$ in place of
$t-s$ and from (3.2) we get

which combined with (3.4) and using the fact that $\omega \leq 1$ as well as
${\mathcal {V}}(\varrho )\leq 2L$ gives

where $c=c(n,N,\Delta _2(\varphi ),\nu ,L)$. The Caccioppoli inequality then follows by taking means on both sides of the latter inequality.
We can apply lemma 3.4 to affine functions $\boldsymbol \ell _{x_0,r}(x):=({\bf u})_{x_0,\varrho }+{\bf Q}(x-x_0)$ for some
${\bf Q}\in \mathbb {R}^{N\times n}$, and the resulting Caccioppoli inequality can be compared with that of [Reference Celada and Ok7, theorem 3.1]. We notice that, apart from an extra VMO term due to assumption (F4), the dependence of the integrand
$f$ also on
${\bf u}$ implies that the remainder term inside
$\omega$; i.e.,

is, in general, non-monotone in the radius $\varrho$. Indeed, it can be estimated from above by the Morrey-type excess

which fails to be monotone for small $\varrho$ (lemma 3.5(i)). This does not allow, in general, for an application of Gehring's lemma in order to infer an higher integrability result: for this purpose, a suitable ‘smallness’ regime (3.9) has to be imposed (lemma 3.5(ii)).
Lemma 3.5 Let $\boldsymbol \ell _{x_0,\varrho }$ be an affine function as above, and
$R(x_0,\varrho ,{\bf u},\boldsymbol \ell _{x_0,\varrho })$ be defined as in (3.5). Then
(i)
(3.7)In particular, if\begin{equation} R(x_0,\varrho,{\bf u},{\bf Q}) \leq c \Theta(x_0,\varrho) + \varrho |{\bf Q}|. \end{equation}
${\bf Q}=(D{\bf u})_{x_0,\varrho }$, we have
(3.8)\begin{equation} R(x_0,\varrho,{\bf u},{\bf Q}) \leq c \Theta(x_0,\varrho) . \end{equation}
(ii) if the smallness assumption
(3.9)holds for some\begin{equation} \mathop {\int\hskip -1,05em -\,} \limits_{B_{\varrho}(x_0)} \varphi_{|{\bf Q}|}(|D{\bf u}-{\bf Q}|)\,\mathrm{d}x \leq \Lambda\varphi(|{\bf Q}|) \end{equation}
$\Lambda \in (0,1]$, then there exists a constant
$c=c(\varphi )>0$ such that
(3.10)hence\begin{equation} \left( \mathop {\int\hskip -1,05em -\,} \limits_{B_{\varrho}(x_0)}|{\bf u}-({\bf u})_{x_0,\varrho}|^{\mu_1}\,\mathrm{d}x \right)^{\frac{1}{\mu_1}} \leq c\Theta(x_0,\varrho) \leq c \varrho ( |{\bf Q}|)\,; \end{equation}
\[ R(x_0,\varrho,{\bf u},{\bf Q}) \leq c \varrho ( |{\bf Q}|). \]
Proof. (i) First, from Poincaré inequality and Jensen's inequality we obtain

whence

Then, recalling the definition of $\boldsymbol \ell _{x_0,r}$, it is immediate to infer the estimate (3.7). As for (3.8), it follows from (3.7) since
$\varrho |(D{\bf u})_{x_0,\varrho }|\leq c \Theta (x_0,\varrho )$.
(ii) We note from (φ2) that $\varphi (t^{1/\mu _1})$ is convex for
$t\ge 0$. Applying Jensen's inequality, the Poincaré type estimate in theorem 2.5 and the change-shift formula (2.7) with
${\bf a}={\bf 0}$, and using assumption (3.9) , we obtain

which yields (3.10) up to applying $\varphi ^{-1}$ to both sides.
Now, we are in position to establish a ‘conditioned’ higher integrability result for $\varphi _{|{\bf Q}|}(|D{\bf u}-{\bf Q}|)$, under the smallness assumption (3.9). The result follows as a consequence of Gehring's lemma with increasing supports (lemma 2.7):
Corollary 3.6 If ${\bf u}\in W^{1,\varphi }(\Omega ;\mathbb {R}^{N})$ is a minimizer of the functional (1.1) under assumptions (F1)–(F7), and
${\bf Q}\in \mathbb {R}^{N\times n}$ is such that (3.9) holds for some
$\Lambda \in (0,1]$, then there exist a constant
$c=c(n,N,\Delta _2(\varphi ),\nu , L)>0$ and
$\sigma >1$ such that

holds for every $s\in (1,s_0]$ where
$s_0$ is that of lemma 3.2.
Proof. Let $y\in \Omega$ and
$r>0$ be such that
$B_{2r}(y)\subset \subset B_\varrho (x_0)$. In view of lemma 3.4 applied with
$\varrho =2r$,
$x_0=y$,
${\bf u}_0=({\bf u})_{y,2r}$ and an arbitrary
${\bf Q}$, we obtain

Here, we observe that

which, recalling that $\omega (ct)\le c\omega (t)$ when
$c\ge 1$ since
$\omega$ is concave and
$\omega (0)=0$, yields

Moreover, as $\unicode{x2A0D} _{B_{2r}(y)}{\bf u}-({\bf u})_{y,2r}-{\bf Q}(x-y)\,\textrm{d} x={\bf 0}$, by the Sobolev–Poincaré type inequality (2.12),

for some $\alpha \in (0,1)$. Therefore, plugging the preceding two estimates into (3.12) and taking into account that

we obtain

Now, since ${\bf u} -({\bf u})_{x_0,\varrho }\in L^{\mu _1}(B_{\varrho }(x_0))$, as a consequence of Gehring's lemma there exists
$\sigma =\sigma (n,N,\mu _1,\mu _2,\nu ,L)\in (1,\mu _1)$ such that

We conclude this section by introducing the excess functional and other tools useful in the sequel. Let $\boldsymbol L_{x_0,\varrho }:\mathbb {R}^{n}\to \mathbb {R}^{N}$ be the affine function associated to
${\bf u}$ defined as

where ${\bf Q}_{x_0,\varrho }:=(D{\bf u})_{x_0,\varrho }$. For
$x_0\in \Omega$ and
$\varrho \in (0,\textrm {dist}(x_0,\partial \Omega ))$,
$\varrho \leq 1$, we define the excess functional as

and

Moreover, we define also

and

where $s\in (1,s_0]$ is the exponent of lemma 3.3 and
$\Theta (x_0,\varrho )$ is the excess defined in (3.6). Since
$\omega \leq 1$ and
${\mathcal {V}}(\varrho )\leq 2L$, we have that
$H(x_0,\varrho ),\widetilde {H}(x_0,\varrho )\leq 1$, and

as a consequence of lemma 3.5(i). Under the smallness assumption $\Phi (x_0,\varrho )\leq \Lambda \varphi (|(D{\bf u})_{x_0,\varrho }|)$, by virtue of lemma 3.5(ii) there exists a constant
$\tilde {c}=\tilde {c}(\varphi )$ such that

We can rewrite the Caccioppoli inequality (3.11) as

Note also that by (2.6) and, e.g., [Reference Diening, Kaplický and Schwarzacher13, lemma A.2] we have the following equivalence:

In the case $x_0=0$, we will use the shorthands
$\Phi (\varrho )$,
$\Psi (\varrho )$,
$\Theta (\varrho )$,
$H(\varrho )$ and
$\widetilde {H}(\varrho )$ in place of
$\Phi (0,\varrho )$,
$\Psi (0,\varrho )$,
$\Theta (0,\varrho )$,
$H(0,\varrho )$ and
$\widetilde {H}(0,\varrho )$, respectively.
3.2 Comparison maps via Ekeland's variational principle
The proof of the main results will require suitable comparison functions, which will be constructed with a freezing argument in the variables $(x,{\bf u})$ based on Ekeland's variational principle. We recall below a version of this classical tool, whose proof can be found, e.g., in [Reference Giusti25, theorem 5.6].
Lemma 3.7 (Ekeland's principle)
Let $(X,d)$ be a complete metric space, and assume that
$F : X\to [0,\infty ]$ be not identically
$\infty$ and lower semicontinuous with respect to the metric topology on
$X$. If for some
$u\in X$ and some
$\kappa >0$, there holds

then there exists $v\in X$ with the properties

Although a similar analysis in the Orlicz setting, for integrands $f=f(x,\boldsymbol \xi )$, has been performed in [Reference Celada and Ok7, theorem 3.3], we will follow a quite different argument, which refers to the case of
$p$-growth as in [Reference Bögelein4, lemma 3.7]. We will also specify the appropriate complete metric space
$X$, which is not explicitly mentioned in [Reference Celada and Ok7, theorem 3.3].
To this aim, let $B_\varrho (x_0)\subseteq \Omega$ with
$\varrho \leq \varrho _0$ and set

and

where $\widetilde {H}(x_0,\varrho )$ and
$\Psi (x_0,\varrho )$ are defined as in (3.17) and (3.15), respectively.
As for the complete metric space $(X,d)$, following [Reference Ok36, lemma 4.4] we consider

with the metric

for ${\bf w}_1,{\bf w}_2\in{\bf u}+W_0^{1,1}(B_{\varrho/2(x_0)},\mathbb{R}^{N})$, and note that the functional

is lower semicontinuous in the metric topology. We would get a comparison map ${\bf v}\in {\bf u} + W^{1,1}_0(B_{\varrho /2}({x}_0),\mathbb {R}^{N})$ by proving the following lemma.
Lemma 3.8 Assume that ${\bf u}\in W^{1,\varphi }(\Omega ,\mathbb {R}^{N})$ is a minimizer of the functional (1.1), under assumptions (F1)–(F6). Then there exists a minimizer
${\bf v}\in {\bf u} + W^{1,1}_0(B_{\varrho /2}({x}_0),\mathbb {R}^{N})$ of the functional

that satisfies

for some constant $c_*=c_*(n,N,\Delta _2(\varphi ),\nu ,L)$. Moreover,
${\bf v}$ fulfils the following Euler-Lagrange variational inequality:

for every $\boldsymbol \eta \in C^{\infty }_0(B_{\varrho /2}(x_0),\mathbb {R}^{N})$.
Proof. We may assume, without loss of generality, that $x_0=0$ and, correspondingly, we use the shorthand
$K(\varrho )$ for
$K(0,\varrho )$. As a first remark, we recall that from lemma 3.1 with
$r=\frac {3}{4}\varrho$ we have

where $c=c(\Delta _2(\varphi ),L,\nu )$. We then denote by
${\tilde {\boldsymbol {v}}{\in }} X$ a minimizer of the functional (3.21) whose existence is ensured by the direct method under assumptions (F1)–(F2). From the minimality of
$\tilde {\boldsymbol {v}}$, assumption (F1) and (2.10) we get

By the sublinearity of $\varphi$, the Poincaré inequality (theorem 2.5), Jensen's inequality and (3.24) this gives

whence

where $c=c(\varphi ,n,L,\nu )$. Moreover, as a consequence of the higher integrability results of both lemmas 3.2 and 3.3, together with (3.25) and (3.24), we infer the higher integrability result

where $c=c(n,N,\varphi ,\nu ,L)$ and
$s=s(n,N,\varphi , \nu , L)\in (1,s_0]$.
Now we prove that ${\bf u}$ is an almost minimizer of the functional
$\mathcal {G}$. Indeed, from the minimality of
${\bf u}$ and assumptions (F4), (F3) we get

Then, by using Jensen's inequality, the concavity and sub-linearity of $\omega$, (3.26) and (3.27), from the previous estimate we obtain

where $c=c(n,N,\Delta _2(\varrho ), \nu , L)$. Arguing similarly, we can estimate

where the constant $c$ has the same dependencies as before. Adding term by term (3.28)–(3.29) and taking into account the minimality of
$\tilde {\boldsymbol {v}}$, we infer

for a constant $c_*=c_*(n, N, \Delta _2(\varphi ), \nu , L)$. Finally, Ekeland's variational principle (lemma 3.7) with the choice
$\kappa =c_*K(\varrho )$ provides the existence of a function
${{\bf v}\in X}$ with the desired property of minimality for the functional
$\widetilde {\mathcal {G}}$ and such that
${d({\bf u},{\bf v})\leq 1}$, which corresponds to (3.22). The inequality (3.23) follows from the validity of the associated Euler-Lagrange variational inequality for
${\bf v}$ in a standard way.
3.3 Approximate
$\mathcal {A}$-harmonicity and
$\varphi$-harmonicity
In this section, we provide two different linearization strategies for the minimization problem, along the lines of [Reference Bögelein4, section 3.2], where an analogous analysis has been performed for functionals with $p$-growth. On the one hand, with lemma 3.9 we will show that the minimizer
${\bf u}$ of
$\mathcal {F}$ is an almost
$\mathcal {A}$-harmonic function for a suitable elliptic bilinear form
$\mathcal {A}$. On the other hand, this
${\bf u}$ turns out to be an almost
$\varphi$-harmonic function (see lemma 3.10). These results will allow us to apply the
$\mathcal {A}$-harmonic approximation lemma, respectively the
$\varphi$-harmonic approximation lemma. The proof will require, in both cases, the comparison maps obtained with lemma 3.8.
We start by proving the approximate $\mathcal {A}$-harmonicity of a minimizer to (1.1). To this aim, only assumptions (F1)–(F6) are required on
$f$.
Let $\boldsymbol L_{x_0,\varrho }$ be the affine function associated to
${\bf u}$ as in (3.13), which complies with
$\boldsymbol L_{x_0,\varrho }(x_0)=({\bf u})_{x_0,\varrho }$ and
$D\boldsymbol L_{x_0,\varrho }=(D{\bf u})_{x_0,\varrho }=:{\bf Q}_{x_0,\varrho }$. We set

We point out that $\mathcal {A}$ defined above is a bilinear form on
$\mathbb {R}^{N\times n}$, satisfying the ellipticity assumption (2.13) by virtue of (F2) and (F3).
Lemma 3.9 Let ${\bf u}\in W^{1,\varphi }(\Omega ,\mathbb {R}^{N})$ be a minimizer of the functional (1.1), under assumptions (F1)–(F6), and assume that for a ball
$B_\varrho (x_0)\subseteq \Omega$ the non-degeneracy assumptions

are satisfied. Then, ${\bf u}$ is approximately
$\mathcal {A}$-harmonic on the ball
$B_{\varrho /2}(x_0)$, in the sense that there exists
$\beta _1=\beta _1(n,N,\mu _1,\mu _2,\nu ,L,\beta _0)\in (0,\frac {1}{2})$ such that

holds for every $\boldsymbol \eta \in C^{\infty }_c(B_{\varrho /2}(x_0),\mathbb {R}^{N})$ for some constant
$c = c(n,N,\mu _1, \mu _2,\nu , c_0, L)>0$, where
$\mu _1,\mu _2$ are the characteristics of
$\varphi$ and
$c_0,\beta _0$ are the constants of assumption (F6).
Proof. See [Reference Celada and Ok7, lemma 4.1].
If, in addition, $f$ complies also with (F7), we can show that each local minimizer of the functional
$\mathcal {F}({\bf u})$ (eq. (1.1)) is almost
$\varphi$-harmonic.
For this, we preliminarily note (see [Reference Celada and Ok7, eq. (4.19)–(4.20)]) that assumption (F7) implies the following:

for every ${\bf P}\in \mathbb {R}^{N\times n}$ with
$0<|{\bf P}|\leq \sigma$, where the function
$g$ has been introduced in (3.19).
We then have the following result.
Lemma 3.10 Let ${\bf u}\in W^{1,\varphi }_\textrm {loc}(\Omega ,\mathbb {R}^{N})$ be a local minimizer of the functional (1.1), and assume that
$f$ complies also with (F7). Then there exists
$\beta _2=\beta _2(n,N,\mu _1,\mu _2,c_0,L)\in (0,\frac {1}{2})$ such that, for every
$\delta >0$ and for
$\sigma =\sigma (\delta )>0$ given by (3.31), the inequality

holds for every $\boldsymbol \eta \in C^{\infty }_c(B_{\varrho /2}(x_0),\mathbb {R}^{N})$ for some constant
$c=c(n,N,\mu _1,\mu _2,c_0, \nu ,L)>0$.
Proof. See [Reference Celada and Ok7, lemma 4.3].
3.4 Excess decay estimates: the non-degenerate regime
We start by establishing excess improvement estimates in the non-degenerate regime characterized by (3.33) below, i.e. the fact that $\Phi (x_0,\varrho )\leq c\varphi (|(D{\bf u})_{x_0,\varrho }|)$. The strategy of the proof is to exploit lemma 3.9 to approximate the given minimizer by
$\mathcal {A}$-harmonic functions, for which suitable decay estimates are available from theorem 2.9.
We introduce the hybrid excess functional

where $\beta _1$ is the exponent of lemma 3.9. Since
$\beta _1<1/2$ and
$H(x_0,\varrho )\leq 1$, we deduce, in particular, that
$H(x_0,\varrho )\leq [H(x_0,\varrho )]^{\beta _1}$. Thus, the Caccioppoli inequality (3.18) can be re-read as

where $c=c(n,N,\mu _1,\mu _2,\nu ,L)$.
Lemma 3.11 For every $\varepsilon \in (0,1)$ there exist
$\delta _1,\delta _2\in (0,1]$, where
$\delta _i=\delta _i(n,N,\mu _1,\mu _2, \beta _0, \nu ,L,\varepsilon )$,
$i=1,2$, with the following property: if


then the excess improvement estimate

holds for every $\vartheta \in (0,1)$ for some constant
$c_\textrm {dec}=c_\textrm {dec}(n,N,\mu _1,\mu _2,\nu ,L,c_1)>0$, where
$\Phi _*$ is defined in (3.32).
Proof. The proof follows the argument of [Reference Celada and Ok7, lemma 4.2]. We emphasize that corollary 3.6 is crucial in order to obtain the estimate

which comes into play in applying the $\mathcal {A}$-harmonic approximation theorem in the modified version of remark 2.10.
Lemma 3.12 Let $\vartheta \in (0,1)$, and assume that

where $c_{\mu _2}$ is the constant of the change of shift formula (2.7) with
$\eta =\frac {1}{2^{\mu _2+1}}$. Then it holds that

Proof. As a consequence of (2.7) for $\eta =\frac {1}{2^{\mu _2+1}}$ and with (3.36) we get

whence, passing to $\varphi ^{-1}$ and taking into account (2.2), we obtain

Now,

whence (3.37) follows by re-absorbing the first term of the right-hand side into the left.
The excess-decay estimate (3.35) can be iterated, as the non-degeneracy conditions (3.33)–(3.34) are also satisfied on any smaller ball $B_{\vartheta ^{m}\varrho }(x_0)$,
$m\in \mathbb {N}$,
$\vartheta <1$.
Lemma 3.13 Let $\Phi (x_0,\varrho )$ and
$\Theta (x_0,\varrho )$ be defined as in (3.14) and (3.6), respectively. Then there exist constants
$\delta _*$,
$\varepsilon _*$,
$\varrho _*\in (0,1]$ and
$\vartheta$ such that the following holds: if the conditions

hold on $B_\varrho (x_0)\subseteq \Omega$ for
$\varrho \in (0,\varrho _*]$, then

for every $m=0,1,\dots .$. As a consequence, for any
$\alpha \in (0,1)$ the following Morrey-type estimate holds:

for all $y\in B_{\varrho /2}(x_0)$ and
$r\in (0,\varrho /2]$.
Proof. As usual, we omit the explicit dependence on $x_0$. Let
$\vartheta \in (0,1)$ be such that

where $c_\textrm {dec}$ is the constant of lemma 3.11 depending only on
$n,N,\mu _1,\mu _2,\nu ,L,c_0$. Correspondingly, let
$\delta _i=\delta _i(n,N,\mu _1,\mu _2,\beta _0,\nu ,L,\vartheta )$,
$i=1,2$ be the constants of lemma 3.11, applied with the choice
$\varepsilon =\vartheta ^{n+2}$. We choose
$\varepsilon _*>0$ such that

where $c_{\frac {1}{2}}$ is the constant in the change-shift formula (2.7) with
$\eta =\frac {1}{2}$, and we fix the constant
$\delta _*>0$ so small that

Moreover, we choose a radius $\varrho _*>0$ such that

As a consequence, $\varepsilon _*$,
$\delta _*$ and
$\varrho _*$ have the same dependencies as
$\delta _1$,
$\delta _2$. In addition,
$\delta _*$ depends also on
$\omega$, while
$\varrho _*$ also on
$\omega$ and
$\mathcal {V}$.
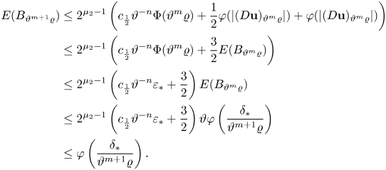
We argue by induction on $m$. Since (3.39) are trivially true for
$m=0$ by assumption (3.38), our aim is to show that if (3.39) holds for some
$m\geq 1$, then the corresponding inequalities hold with
$m+1$ in place of
$m$. Setting

in order to prove the second inequalities in (3.39) it will suffice to show that

We have, with (3.39) at step $m$, the shift-change formula (2.7) with
$\eta =\frac {1}{2}$ and (3.42), the estimate

Now, we prove by induction the first inequality in (3.39) for $m+1$. From (3.39) at step
$k$ and the choices of
$\delta _*$ and
$\varrho _*$ as in (3.43)–(3.44), we have

and

Then, by virtue of lemma 3.11 and lemma 3.12 applied with radius $\vartheta ^{m}\varrho$ in place of
$\varrho$, and recalling the choice of
$\vartheta$ (3.41), we get

Finally, since the iteration starting from $m\,{=}\,0$ of the estimate
$\varphi ^{-1}(E(B_{\vartheta ^{m+1}\varrho }))\leq 2^{\frac {\mu _2}{\mu _1}}\varphi ^{-1}(E(B_{\vartheta ^{m}\varrho }))$, obtained by (3.46) and (2.2), with (3.41) yields

and this estimate a fortiori holds if we consider $E(B_{\vartheta ^{m}\varrho }(y))$ for
$y\in B_{\varrho /2}$ in place of
$E(B_{\vartheta ^{m}\varrho })$, we deduce the Morrey-type estimate

for all $y\in B_{\varrho /2}$ and
$r\leq \varrho /2$, which is equivalent to (3.40). The proof is now concluded.
3.5 Excess decay estimate: the degenerate regime
In this section, with lemma 3.14 we will establish an excess improvement estimate for the degenerate case which is characterized by the fact that $\Phi (x_0,\varrho )$ is ‘large’ compared to
$\varphi (|(D{\bf u})_{x_0,\varrho }|)$.
In view of lemma 3.10, this will be achieved via the $\varphi$-harmonic approximation lemma (lemma 2.11) which allows to approximate the original minimizer by a
$\varphi$-harmonic function. In this way, one can transfer the a priori estimates for
$\varphi$-harmonic functions (proposition 2.8) to the minimizer.
Lemma 3.14 Let $\gamma _0>0$ be the exponent of proposition 2.8. Then, for every
$0<\gamma <\gamma _0$ and every
$\kappa ,\mu \in (0,1)$ there exist
$\varepsilon _\#, \tau \in (0,1)$ and
$\varrho _\#\in (0,1]$ depending on
$n,N,\mu _1,\mu _2, c_0, \beta _0$,
$L,\nu ,\gamma ,\gamma _0,\mu$ and
$\kappa$ (
$\varepsilon _\#$ also depends on
$\tau$ and
$\sigma (\delta )$, where
$\delta$ satisfies (3.51) below, and
$\varrho _\#$ also depends on
$\omega$ and
$\mathcal {V}$) with the following property: if

for $B_\varrho (x_0)\subseteq \Omega$ with
$\varrho \in (0,\varrho _\#]$, then

Proof. Without loss of generality, we assume that $x_0=0$ and, correspondingly, we use the abbreviations
$\Phi (\varrho )=\Phi (0,\varrho )$,
$\Psi (\varrho )=\Psi (0,\varrho )$,
$\Theta (\varrho )=\Theta (0,\varrho )$. Let
$0<\gamma <\gamma _0$ be fixed,
$\tau \in (0,\frac {1}{2^{\mu _2}}]$ to be specified later, and we set
$\varepsilon :=\tau ^{2\gamma _0+n}$. Furthermore, let
$\delta _0=\delta _0(n,N,\varphi ,\nu ,L,\varepsilon )\in (0,1]$ be the constant according to the
$\varphi$-harmonic approximation (lemma 2.11) with
$\theta$ the exponent of higher integrability as in (2.19).
Now, we have to check that ${\bf u}$ complies with (2.18), in order to apply lemma 2.11. From the Poincaré inequality, the shift change formula (2.7) with
$\eta =\kappa$ and (3.47) we have

where $c(\kappa ,\mu _2):=2^{\mu _2-1}(c_{\kappa }+1+{\kappa }^{-1})>1$. An analogous computation and the concavity of
$\varphi ^{-1}$ give

whence

In applying lemma 3.10 we choose $\delta >0$ (which, in turn, determines
$\sigma =\sigma (\delta )>0$ such that (3.31) holds) in such a way that

where $c_*$ is the constant of lemma 3.10. Then, we choose
$\varepsilon _\#<1$ such that

so that, with (3.49)–(3.50), we have

We also determine a radius $\varrho _\#\in (0,1]$ according to

where $\beta _2$ is defined in lemma 3.10. Recalling the definition of
$\widetilde {H}(\varrho )$, for
$\varrho \leq \varrho _\#$ we then have

For such choice of $\varepsilon _\#$ and
$\varrho _\#$ it holds that

so that, by lemma 2.11, there exists a unique $\varphi$-harmonic
${\bf w}\in W^{1,\varphi }(B_{\varrho /2},\mathbb {R}^{N})$ with
${\bf w}={\bf u}$ on
$\partial B_{\varrho /2}$ that satisfies

and

Taking into account the higher integrability result of lemma 3.2, lemma 2.12 implies that

and since $\tau <\frac {1}{2}$, from proposition 2.8 we also have

Thus, with (3.52) and (3.53) we infer

for some constant $\tilde {c}_1=\tilde {c}_1(n,N,\mu _1,\mu _2,c_1)>0$. Now, by virtue of the computation in (3.49) we conclude that

whence (3.48) follows if we choose $\tau$ such that

As for the second assertion in (3.48), the shift change formula (2.7) for $\eta =\frac {1}{2}$, with (3.47), (3.50) and the choice of
$\varepsilon _\#$ shows that

whence the assertion follows since $\tau \leq \frac {1}{2^{\mu _2}}$.
3.6 Proof of theorem 1.1
Lemma 3.15 Under the assumptions of theorem 1.1, let $\alpha \in (0,1)$. Then there exist constants
$\varepsilon _\#$,
$\delta _*$ and
$\tilde {\varrho }$ such that the conditions

for $B_\varrho (x_0)\subseteq \Omega$ with
$\varrho \in (0,\tilde {\varrho }]$ imply

Proof. Without loss of generality, we assume that $x_0=0$ and, correspondingly, we omit the dependence on it. Let
$\varepsilon _*,\delta _*$,
$\vartheta \in (0,1)$ and
$\varrho _*\in (0,1]$ be the constants of lemma 3.13. We then choose
$\mu =\delta _*$ in lemma 3.14 leaving
$\kappa$ unchanged. This fixes the constants
$\varepsilon _\#, \tau$ and
$\varrho _\#$. We set
$\tilde {\varrho }:=\min \{\varrho _*,\varrho _\#\}$.
We introduce the set of integers

and we distinguish between the cases $\mathbb {S}=\mathbb {N}_0$ and
$\mathbb {S}\neq \mathbb {N}_0$.
The case $\mathbb {S}=\mathbb {N}_0$. We prove by induction that the bounds

hold for every $k\in \mathbb {N}_0$. The case
$k=0$ is trivial from the assumption (3.54). Now, since
$k\in \mathbb {S}=\mathbb {N}_0$, the assumption (3.47) of lemma 3.14 hold with
$\tau ^{k}\varrho$ in place of
$\varrho$. Then, an application of lemma 3.14 gives (3.56) for
$k+1$ (recall that
$\tau <1$). The validity of (3.56) implies, as in lemma 3.13, that the Morrey-type estimate

holds for every $\alpha \in (0,1)$, for all
$y\in B_{\varrho /2}(x_0)$ and
$r\in (0,\varrho /2]$. For
$y,z\in B_{\varrho /2}$, with
$|y-z|\leq \varrho /4$ we estimate the telescopic sum

where $B_{r_j}:=B_{2^{1-j}|y-z|(y)}$ for
$j\geq 0$ and
$B_{r_j}:=B_{2^{1+j}|y-z|(z)}$ for
$j<0$. Now, with the Poincaré inequality we get

Finally, with the estimate (3.57) we infer

which, in particular, implies that ${\bf u}\in C^{0,\alpha }(\overline {B_{\varrho /2}})$.
The case $\mathbb {S}\neq \mathbb {N}_0$. In this case, there exists
$k_0:=\min \mathbb {N}\backslash \mathbb {S}$. Since
$k\in \mathbb {S}$ for any integer
$k< k_0$ we can iterate as in the case
$\mathbb {S}=\mathbb {N}_0$ for
$k=0,1,\dots ,k_0-1$ to infer that (3.56) holds for any
$k\leq k_0$. By the definition of
$\mathbb {S}$ we have

which together with the second inequality in (3.56) with $k=k_0$ ensures that the assumptions (3.38) of lemma 3.13 are satisfied for
$\varrho$ replaced by
$\tau ^{k_0}\varrho$. Then, by virtue of this lemma, we have

for every $m\in \mathbb {N}_0$.
Now, we consider an arbitrary radius $r\in (0,\varrho ]$. If
$r\in (\tau ^{k_0}\varrho /2, \varrho ]$ we find
$0\leq k \leq k_0$ such that
$\tau ^{k+1}\leq r \leq \theta ^{k}$ and then we can argue as in the case
$\mathbb {S}=\mathbb {N}_0$. In the case
$r\in (0,\tau ^{k_0}\varrho /2]$, instead, we find
$m\in \mathbb {N}_0$ such that
$\vartheta ^{m+1}\tau ^{k_0}\varrho < r\leq \vartheta ^{m}\tau ^{k_0}\varrho$. Then arguing as in the proof of (3.40) and taking into account the second estimate in (3.59), we have

for every $y\in B_{\vartheta ^{m}\tau ^{k_0}\varrho /2}\subseteq B_{\varrho /2}$ whence

At this point, we can argue as in the case $\mathbb {S}=\mathbb {N}_0$ for the proof of (3.58), whence (3.55) follows thus concluding the proof.
Proof of theorem 1.1. Let $\varepsilon _\#$,
$\delta _*$ and
$\tilde {\varrho }$ be the constants of lemma 3.15. Let
$\Sigma _1$ and
$\Sigma _2$ be defined as in the statement of theorem 1.1. Note that, by Lebesgue's differentiation theorem, it holds that
$|\Sigma _1\cup \Sigma _2|=0$. Thus, we are reduced to show that each
$x_0\in \Omega \backslash (\Sigma _1\cup \Sigma _2)$ belongs to the set

where $U_{z_0}$ is an open neighbourhood of
$z_0$. For this, let
$x_0\in \Omega$ be such that both the conditions

hold.
We set

where the constants $c_\varphi$,
$c_\frac {1}{2}$ are specified later and, correspondingly, with (3.60) we can find a radius
$\bar {\varrho }$ such that

and

Now, recalling that

and observing that, as a consequence of the shift-change formula (2.7) with $\displaystyle \eta =\frac {1}{2}$, conditions (3.63) imply

with the choice of $\sigma$ (3.61), corresponding to the radius
$\bar {\varrho }\in (0,\tilde {\varrho }]$ as in (3.62) there holds

By the absolute continuity of the integral, we can find an open neighbourhood $U_{x_0}$ of
$x_0$ such that

for every $x\in U_{x_0}$. We can apply lemma 3.15 at each point of
$U_{x_0}$, proving that
${\bf u}\in C^{0,\alpha }(U_{x_0},\mathbb {R}^{N})$ for every
$\alpha \in (0,1)$. Thus,
$x_0\in \Omega _0$ and the proof is concluded.
Acknowledgments
G. Scilla has been supported by the Italian Ministry of Education, University and Research through the Project Variational methods for stationary and evolution problems with singularities and interfaces (PRIN 2017). The research of B. Stroffolini was supported by PRIN Project 2017TEXA3H.