Introduction
Tanzania contains an estimated 34.6 million ha of forest and woodland habitats. The main forest types are the extensive miombo woodlands in lowland areas across the central and southern parts of the country (White, Reference White1983), the Acacia woodlands in the northern regions (White, Reference White1983), the coastal forest/woodland mosaic in the east (Burgess & Clarke, Reference Burgess and Clarke2000), mangrove forests along the Indian Ocean (White, Reference White1983), and closed canopy forests on the ancient mountains of the Eastern Arc in the east (Lovett & Wasser, Reference Lovett and Wasser1993; Burgess et al., 2002; Burgess et al., Reference Burgess, Butynski, Cordeiro, Doggart, Fjeldså and Howell2007), in the Albertine Rift in the west (Plumptre et al., Reference Plumptre, Davenport, Behangana, Kityo, Eilu and Ssegawa2007), and on the younger volcanic mountains in the north (White, Reference White1983).
Of these various forest types, 14.3 million ha are found within gazetted Forest Reserves, 2.5 million ha are proposed as Forest Reserves and c. 2 million ha are in Game Reserves or National Parks (URT, 2001; Akida & Blomley, Reference Akida and Blomley2006). Forest Reserves fall under the legal authority of central government (National Forest Reserves), local government (Local Authority Forest Reserves), or village government (Village Land Forest Reserves and Community Forest Reserves) and are either designated for production (managed for timber and other productive uses) or protection (managed for water catchment or biodiversity conservation functions). The remaining 15.8 million ha of forest, found outside the reserve network, lies on village and general land (URT, 2001; Akida & Blomley, Reference Akida and Blomley2006). Whereas many of these unreserved forests are poorly managed, traditional and customary management practices have also supported the conservation and maintenance of forest cover for sacred, religious or social purposes (Mgumia & Oba, Reference Mgumia and Oba2003; Monela et al., Reference Monela, Chamshama, Mwaipopo and Gamassa2005).
The management of Tanzanian Forest Reserves dates back to the German colonial period and has mainly been characterized by policing, exclusion and enforcement of laws. From the mid 1980s a broad international movement, starting in Asia but spreading rapidly to Africa, stressed the decentralization and delegation of forest management rights and responsibilities to the local level to enhance sustainable forest management (Wily, Reference Wily2002). Drawing upon common-pool resource theory it was assumed that forests can be better managed when forest users are involved in making and adapting rules on the exclusion or inclusion of participants, defining their obligations, agreeing appropriate management strategies, monitoring impacts and resolving conflicts (Ostrom, Reference Ostrom1999).
After a long period of debate, pilot activities involving local communities in forest management were started in northern and eastern Tanzania in the mid 1990s (Wily, Reference Wily1998). Key responsibilities for forest management were transferred from central to village government, representing a major shift in the Tanzanian approach to forest management. Following the success of these pilot projects other forest areas across eastern and southern Tanzania were brought under community management or community/government co-management (Blomley, Reference Blomley2006).
In parallel to the development of pilot projects, a review was conducted of Tanzanian forest policy (URT, 1998) and legislation (URT, 2002) that, together with sweeping reforms in Tanzania's economic and political spheres, provided a favourable legal environment for advancing participatory forest management where local communities either alone, or together with government authorities, manage natural forest resources for sustainable use and conservation purposes (Blomley, Reference Blomley2006; Blomley & Ramadhani, Reference Blomley and Ramadhani2006). Mainland Tanzania now has one of the most advanced community forestry jurisdictions in Africa as reflected in policy, law and practice (Wily, Reference Wily2000; Lund & Nielsen, Reference Lund, Nielsen, Charton and Médard2006).
The three stated policy objectives of participatory forest management in Tanzania are (1) improved forest quality through sustainable management practices, (2) improved livelihoods through increased forest revenues and secure supply of subsistence forest products, and (3) improved forest governance at village and district levels through effective and accountable natural resource management institutions (URT, 2003). Despite significant expenditure by the Tanzanian government and development partners to support such management (currently c. USD 1.9 million per year), there have been few attempts to evaluate whether participatory forest management is achieving these objectives and hence to make recommendations on the way forward with this major forest management strategy.
Here we assess the success of implementing participatory forest management in Tanzania over the past 15 years and in relation to the first objective of improving forest condition. Success is measured firstly in terms of the absolute area of forests now under such management arrangements and, secondly, in terms of the impact of such management on forest quality. We also draw conclusions that relate to the further implementation of participatory forest management in Tanzania.
Methods
Definitions
Two main approaches for implementing participatory forest management are being promoted in Tanzania (URT, 2006). The first approach is joint forest management. This is a collaborative management strategy that divides forest management responsibility and returns between the forest owner (usually central or local government but occasionally the private sector) and communities living adjacent to the forest. It takes place on land reserved for forest management such as National or Local Authority Forest Reserves. The second approach is community-based forest management. This takes place in forests on village land, i.e. land that has been surveyed and registered under the provisions of the Tanzanian Village Land Act (URT, 1999) and managed by the village council. The village council and the village assembly are elected institutions that form the basis of village governments in Tanzania (of which there are > 10,500). Under community-based forest management villagers take full ownership and management responsibility for an area of forest within their jurisdiction, and it is declared by village government as a Village Land Forest Reserve and registered by the district council. The underlying policy goal of community-based forest management is to bring large areas of unprotected woodlands and forests under village management and protection.
Status inventory
We undertook an assessment of the spread and current extent of participatory forest management across mainland Tanzania. Data were gathered by staff in the Forestry and Beekeeping Division of the Ministry of Natural Resources and Tourism. The approach involved sending inventory sheets to each of the 126 districts in mainland Tanzania, and to all forestry projects and NGOs active in the facilitation of participatory forest management at the local level. Data returned from 83 of these sources were tabulated and checked. This inventory is presented in terms of the adoption of participatory forest management over time in different districts and regions, within different forest/woodland vegetation types, and across different tenure and management regimes.
Measurement of impact
We analyse changes in forest condition using data from three case studies that used somewhat different study designs and data collection methodologies. The first case study is of temporal changes in forest condition under participatory and non-participatory forest management. Data were gathered from 13 forests over 1997–2007 in five regions across eastern, central and northern Tanzania (Fig. 1; Table 1). The sample includes nine forests with community-based management, two with joint forest management, one under exclusive local government management, and one in open access land owned by a village but lacking forest management objectives. Field data were collected in 20 × 20 m permanent sample plots in which basal area, volume and stems per ha were measured over a minimum of 2 and a maximum of 10 years. A total of 246 forest plots from the 13 sites were assessed.

Fig. 1 Tanzania, with the location of the sites mentioned in the text. The inset indicates the location of the main figure in East Africa.
Table 1 Study sites and characteristics of the 13 forests (Fig. 1) under various management regimes assessed during 1997–2007.

The second case study is a spatial comparison of forest condition in three matched pairs of forests under participatory and non-participatory forest management. Data on forest condition were collected in 2005–2006 using retrospective experimental design (De Vaus, Reference De Vaus2002). The six Forest Reserves in Morogoro Rural and Kibaha Districts were arranged in three paired sets, each set including one under joint forest management (the experimental group) and the other under traditional state management (the control group; Table 2). At each site data were collected on forest condition using transects 10 m wide and 1 km in length, aligned on a base map either north-south or east-west, and positioned randomly within the forest. The area sampled was 0.4–0.6% of the total forest area. Methods followed those developed by Frontier-Tanzania (Frontier Tanzania, Reference Frontier, Doody, Howell and Fanning2001; Ahrends, Reference Ahrends2005). Each transect was sub-divided into 10 × 50 m sampling units, or plots. Within each plot the number of live, naturally dead, old cut and recently cut timber trees, poles and withies were recorded. Timber trees were defined as all trees with a diameter at breast height (DBH) > 15 cm and a straight stem of at least 3 m; poles as 5–15 cm DBH with a straight stem of at least 2 m, and withies (locally known as fitu) of 2.5 ≤ 5 cm DBH with a straight stem of at least 2 m. A timber tree, pole or withy was classified as recently cut when the cutting surface was still a fresh cream or green colour with no blackening or any other signs of decomposition. Depending on a variety of factors, signs of decomposition are visible over 0–6 months. Detailed DBH measurements were taken for each recorded timber tree at the standard height of 1.3 m above ground, and the height of each such tree estimated. For each plot any other human use of forest resources was also recorded and included: burn marks on trees, traps and snares, pit-saw timber harvesting sites, charcoal production pits, farming (both old and recent), mining, debarking for medicinal use, the use of parts of trees for tool making, and evidence of grazing.
Table 2 Study sites and characteristics of the three joint and three non-joint forest management forests around the Uluguru Mountains (Fig. 1).

The third case study is a spatial comparison of forest condition in 49 forests under joint and non-joint forest management. Data on forest condition were compiled from a total of 477 km of transects in the Eastern Arc Mountain forests and lowland coastal forests that have been surveyed between 1997 and 2005 using the same Frontier-Tanzania transect methodology as described for the second case study. Forest disturbance information was analysed for 24 Forest Reserves under joint forest management and 25 Forest Reserves under exclusive local or central government management.
Results
Spread of participatory forest management
Over the past 15 years participatory forest management has spread rapidly from a few pilot sites to being operational in 53 districts (out of a total of 126) across mainland Tanzania, in over 1,800 villages (18% of total), and across > 3.6 million ha of forest land (11% of total). By 2006, joint forest management was being implemented in 209 Forest Reserves nationwide (34% of National and Local Authority Forest Reserves), of which 150 are National and 59 Local Authority Forest Reserves. At present 1.37 million ha (85% of the total forest area covered by joint forest management arrangements) are found in National Forest Reserves and 1.26 million ha (or 78% of the total area) in forests managed for water catchment and biodiversity conservation purposes (Table 3). Community-based forest management is being implemented on 2.06 million ha of forest land with 1,102 villages. Currently there are 329 Village Land Forest Reserves that have been declared by village and district governments and an additional 53 that have been declared through the optional national gazettement and registration process.
Table 3 Distribution of joint forest management (JFM) across Forest Reserves under the authority of central and local government, managed for protection and production purposes.

In 2006 57% of the 1.6 million ha of land covered by joint forest management agreements was in high biodiversity montane evergreen forest, primarily located within the Eastern Arc Mountains and lowland coastal forests in the east of the country (Table 4). In addition, of the estimated 172,900 ha of mangrove forest and saltpans on mainland Tanzania and Pemba (Semesi, Reference Semesi1992), which are by law under the authority of central government, 65% is covered by joint forest management. In comparison, over two-thirds of the 2.06 million ha covered by community-based forest management is found in miombo woodland habitats, which are of low biodiversity importance and more tolerant of disturbance.
Table 4 Distribution of community-based and joint forest management across the main forest types of mainland Tanzania by June 2006.

Impact of participatory forest management
Temporal changes in forest condition In the 13 forests sampled there were increases in basal area and volume in sites managed under both joint and community-based forest management, and declines in both of these variables in forests under government or open access management (Fig. 2a,b). There were also declines in stems ha-1 in forests managed under community-based forest management, and increases in joint forest management areas and forests under exclusive state management (Fig. 2c). Although the data come from different areas of Tanzania and different ecological conditions, they tend to suggest that forest areas managed under joint and community-based forest management are recovering compared with forests managed by government alone, or under open access regimes.

Fig. 2 Mean annual changes in (a) stems per ha, (b) basal area, and (c) volume increment in 13 forests under different management and ownership regimes: nine under community-based forest management (CBFM), two under joint forest management (JFM), one under local government management as Forest Reserves (FR), and one an open access area (Open).
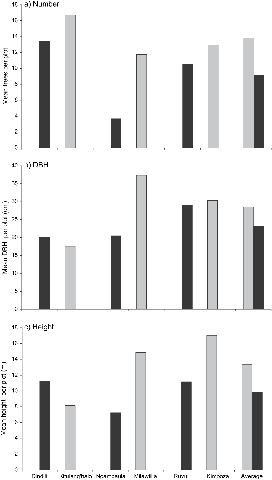
Six forests under joint and non-joint management In the spatial comparison of forest condition in three matched pairs of lower altitude coastal/Eastern Arc forest and miombo woodlands around the Uluguru Mountains, those under joint forest management have higher numbers of live and naturally dead trees, poles or withies, and fewer cut timber trees, compared with forests managed exclusively by the state (Fig. 3a-c). The average number of trees was 13.8 and 9.2 in joint and non-joint forest management plots, respectively, average DBH of standing trees was 28.4 and 22.9 cm, respectively, and average height of standing trees was 13.3 and 9.9 m, respectively (Fig. 4a–c). Forests under joint management also have 68% fewer freshly cut timber trees than in non-joint forest management areas, whereas incidences of freshly cut trees for poles was 70% less frequent in the former than in the latter. Similarly, there were almost 34% more live timber trees, 45% more live poles, and > 55% more withies recorded in joint forest management areas, and lower incidences of freshly cut poles and withies. Other forms of forest disturbance in joint and non-joint forest management plots are shown in Fig. 5. Incidence of fire is six times higher, and incidence of traps, charcoal pits, signs of active farming, small scale mining, and the harvesting of trees for tools are higher in non-joint management plots. Whereas the frequency of old pit-sawing sites and pole cutting was higher in joint than non-joint forest management plots, the incidence of new pit-sawing sites and pole cutting was lower in the former. Only debarking for medicinal purposes and incidence of grazing appear to be higher in joint forest management plots.

Fig. 3 Number of live, naturally dead, old and new cut trees per plot suitable for (a) timber, (b) poles, and (c) withies in three joint (grey) and three non-joint forest management (black) sites in Morogoro Rural District.

Fig. 4 Mean (a) number of trees, (b) DBH of standing trees, and (c) height of standing trees per plot for paired comparisons of joint (grey) and non-joint forest management (black) sites around the Uluguru Mountains.

Fig. 5 Incidences per 50 × 10 m plot of disturbance and human use within joint (grey) and non-joint forest management (black) sites around the Uluguru Mountains.
Forty-nine forests under joint and non-joint management Across the broader sample of 49 Eastern Arc Mountain and lowland coastal forests there are also clear trends in forest condition. Comparing non-joint management sites with forests where joint management has been implemented for increasing numbers of years shows overall declines over time in rates of pole and timber harvesting in the combined Eastern Arc and coastal forest sites (Fig. 6). After 10 years of joint forest management implementation there is a dramatic decline in rates of cutting. Applying statistical tests to these data is problematic because of the small sample sizes in some classes (Fig. 6) but regression analysis shows declining trends in cutting over time. Whereas time since the implementation of joint forest management is an important (but not significant) variable in explaining the variation in poles (β = -0.46, P = 0.25, R 2 = 0.21), timber (β = -0.58, P = 0.14, R 2 = 0.33) and overall cutting (β = -0.51, P = 0.2, R 2 = 0.26) in the coastal forests, correlations are even lower in the Eastern Arc Mountains (R 2 < 0.1 in all analyses).

Fig. 6 Percentage cutting of (a) poles and (b) trees within seven coastal forests (grey portion of bars) and 42 Eastern Arc mountain forests (black portions) under non-joint forest management (control) and under increasing numbers of years of implementing participatory forest management (PFM). Control based on data from 23 Eastern Arc and two coastal forests managed by the State. Implementation of participatory forest management arrangements between the State and communities for 1–5 years duration based on data from eight Eastern Arc and one coastal forest; implementation for 6–9 years based on data from nine Eastern Arc and one coastal forest; implementation for ≥ 10 years based on data from one Eastern Arc and four coastal forests.
Discussion
The national assessment of participatory forest management shows that its spread across the country, whilst having increased rapidly, is far from even. Given that this approach is primarily defined by central government as a strategy for sustainable forest management, it is perhaps not surprising that many of the resources directed towards it have been targeted at the forest resources with the highest national values, at least from biodiversity and water catchment perspectives. The Eastern Arc forests feature heavily in the list of sites where participatory forest management (primarily joint forest management) has been implemented, as do the lowland coastal forests and mangroves along the coastal strip. Less effort has been put into establishing participatory forest management in forests and woodlands with lower biodiversity values but with a higher utilization potential for local communities. The more recent expansion of participatory forest management into miombo and Acacia woodland habitats may have been because of the increased emphasis placed by both the government of Tanzania and its development partners on poverty reduction objectives (Blomley & Ramadhani, Reference Blomley and Ramadhani2006) but may also be due to concerns being voiced about the lack of community benefits in some of the existing joint forest management schemes in the Eastern Arc Mountain forests (Meshack et al., Reference Meshack, Ahdikari, Doggart and Lovett2006; Pfliegner & Moshi, Reference Pfliegner and Moshi2007).
All three of our case studies indicate that participatory forest management appears to be contributing to sustainable forest management. A range of variables, such as increases in basal area, mean annual growth rates, levels of harvesting, presence of trees used for timber and poles, and recorded incidences of forest disturbance through human activity, all point to this conclusion. This contrasts with measurements taken on land administered solely by government agencies with no community involvement, or on village land under open access arrangements, where forest condition is typically declining.
Joint forest management in the coastal forest and Eastern Arc habitats appears to have become more effective over time, especially in the coastal forests. This is perhaps not surprising as it takes a number of years for such management regimes to be established and further time for any impacts to be seen in forest condition. The lower impact in the Eastern Arc may be related to the fact that the forests there are generally in better condition, and hence there is less scope for improvement.
The data presented in Fig. 2 suggest there is increased volume and basal areas under joint compared to community-based management. In addition, the data show clear indications of reduced disturbance and improved forest condition under joint forest management when compared to state or open access regimes. While we urge caution when disaggregating these data (as the sample was small and growth rates between forests will vary independently of management regime because of local climatic conditions), they do pose some interesting questions that merit further discussion. Joint forest management in Tanzania has been strongly criticized because of its failure to deliver tangible benefits to forest dependent communities and its inherent inequity in terms of how forest management costs and benefits are distributed between the state and forest users (Blomley & Ramadhani, Reference Blomley and Ramadhani2006; Lund & Nielsen, Reference Lund, Nielsen, Charton and Médard2006; Meshack et al., Reference Meshack, Ahdikari, Doggart and Lovett2006; Pfliegner & Moshi, Reference Pfliegner and Moshi2007).
Joint forest management, it has been argued, is a strategy that allows government to shed its responsibilities in forest management by co-opting communities for minimal tangible returns, as the legal status of so-called protection forests severely restricts local use beyond a few non-timber forest products such as medicinal plants, thatching grass and honey. Common-pool resource theory stipulates that for community-based management of natural resources to be viable in the long term, a group must feel that the benefits gained from collective action must outweigh the costs (Ostrom, Reference Ostrom1999; Poteete & Ostrom, Reference Poteete and Ostrom2002), expressed here in terms of transaction cost of establishing joint forest management, costs of foregone use, and costs of long-term management and monitoring. Consequently, forests wholly managed and owned by communities (under community-based management) with the potential to generate considerable local economic returns, would be expected to provide greater incentives for sustainable management than those managed under joint management where incentives and returns are lower. The data we present tend to suggest otherwise: while the benefits enjoyed at household and community level from joint forest management may be minimal, we suggest it has played, and continues to play, an important role in the conservation of valuable forests. Similarly, our data suggest that joint forest management is far from being non-viable in the long term, rather it appears to be more effective over time (Fig. 6). This raises an important further question: why, after a number of years, are communities continuing to undertake active management in forests that are delivering little to them in terms of tangible benefits? One possible explanation is the reported tendency towards so-called elite capture in joint forest management arrangements, reported in Tanzania and further afield (Kumar, Reference Kumar2002; Adhikari et al., 2006; Blomley, Reference Blomley2006; Meshack et al., Reference Meshack, Ahdikari, Doggart and Lovett2006; Pfliegner & Moshi, Reference Pfliegner and Moshi2007).
Poor facilitation of participatory forest management planning and establishment processes can result in a small group of villagers (typically the Village Natural Resource Committee or other village leaders) capturing and retaining benefits to the detriment of others. The same leaders ensure that the monopoly over benefit flows (such as illegal charcoal or timber harvesting) are maintained through limited patrols and exclusion of other potential competitors. This phenomenon may be particularly acute when the total flow of local forest benefits is limited. By concentrating these benefits within a small group of people, incentives may become sufficient to maintain active management. Although inequitable, and of questionable sustainability, it is likely that the level of forest protection offered under such an arrangement may be greater than under exclusive state management or open access regimes. For confirmation of this more research is required at a variety of sites.
Our findings are supported by other studies undertaken in Tanzania that have sought to assess the effectiveness of traditional Forest Reserves (managed by customary traditional institutions) on improving forest condition, compared with state managed forest reserves. Mgumia & Oba (Reference Mgumia and Oba2003) established that although traditional Forest Reserves in Tabora Region were relatively small in size, they had a greater woody species richness and taxonomic diversity than a neighbouring state-managed Forest Reserve with comparable ecological conditions. Similarly, Mwihomeke et al. (Reference Mwihomeke, Msangi, Mabula, Ylhäisi and Mndeme1998) estimated that > 7,000 ha of montane forest in 1,740 sites (locally known as mshitu) in North Pare mountains and Handeni districts were being managed through the application of traditional management practices for the protection of sacred forests. A third study from Shinyanga region documents the impact of establishing ngitili, a traditional system of reserving pasture lands and dry season grazing areas by Sukuma pastoralists, which results in a rapid regeneration of trees (Monela et al., Reference Monela, Chamshama, Mwaipopo and Gamassa2005). The study was able to document the re-establishment of a total of 152 different trees, shrub and climber species within ngitili, as well as of 145 bird and 21 mammal species. This contrasted with a general decline of forest condition in areas outside established ngitili.
We have not attempted to present any findings regarding the degree to which participatory forest management addresses its two other stated policy objectives, namely improved livelihoods and improved forest governance at village and district levels. This is partly because of the fact that it was beyond the scope of this study but also because available data on these issues are limited. This highlights the need for further research to be focused on assessment of whether and under which conditions participatory forest management can contribute to all of its three stated objectives of improved forest condition, livelihoods and forest governance at local levels. Such a study has recently been launched by the Tanzania Forestry Research Institute through a partnership between the Sokoine University of Agriculture and a consortium of international research bodies (including the Universities of Copenhagen, Cambridge and Manchester).
Acknowledgements
We thank the staff of the Forestry and Beekeeping Division for sharing data obtained through the national assessment of PFM in Tanzania, and their agreement to use these data. The national PFM assessment, as well as the forest assessment work undertaken by J. Isango, was made possible by a grant to the government of Tanzania from the Danish government under a wider grant in support of PFM. The work by K. Pfliegner around Uluguru was supported by a research grant from the Critical Ecosystem Partnership Fund (CEPF) and undertaken in cooperation with the Wildlife Conservation Society of Tanzania. Much of the work undertaken by E. Zahabu was supported by the Netherlands Directorate for Development Cooperation through the University of Twente, Netherlands. Disturbance transect data from the Eastern Arc Mountains analysed by A. Ahrends come from reports produced mainly by Frontier-Tanzania (a collaboration of the Society for Environmental Exploration and the University of Dar es Salaam). We gratefully acknowledge the efforts of the Society for Environmental Exploration staff in London (especially E. Fanning) and the many Frontier-Tanzania staff and volunteers who collected data, especially N. Doggart, K. Doody, C. Bracebridge, V. Williams and N. Owens. Data for the coastal forests were primarily collected by A. Ahrends and B. Mhoro using funding from CEPF, WWF-Tanzania and the University of Greifswald, Germany. We also thank WWF-US and University of Cambridge, UK (Valuing the Arc) for covering the time of N. Burgess during the preparation of this paper. A. Ahrends was funded by the Marie-Curie Excellence programme of the European 6th Framework under contract MEXT-CT-2004-517098 to Dr. Rob Marchant, who we also thank for useful comments on an earlier draft. Two anonymous referees also provided valuable suggestions. Fig. 1 was prepared by J. Green, supported by WWF-US.
Biographical sketches
Tom Blomley is a community-based natural resource management specialist, currently working as an adviser to the Ministry of Natural Resources and Tourism in Tanzania. Kerstin Pfliegner is an environmental economist currently studying the ecological, institutional and socio-economic impacts of participatory forest management in Tanzania. Jaconia Isango is a forest mensuration specialist working for the Tanzania Forest Research Institute with particular research interests in assessing forestry impacts of participatory forestry. Eliakimu Zahabu is a forest mensuration specialist working for the Sokoine University of Agriculture and with interests in assessing incremental change in stored forest carbon. Antje Ahrends is a forest ecologist and conservationist specialized in the forests of East Africa. Neil Burgess is a conservationist specializing in Africa, working primarily on African biogeography, conservation priorities, protected areas and the high biodiversity forests of East Africa.









