Hostname: page-component-68c7f8b79f-fc4h8 Total loading time: 0 Render date: 2025-12-18T11:55:13.142Z Has data issue: false hasContentIssue false

Extreme rainfall and corporate leverage dynamics: evidence and theory

Published online by Cambridge University Press:  05 December 2025

Li Li*
Affiliation:
School of Finance, Nankai University , Tianjin, China
Yue He
Affiliation:
School of Finance, Nankai University , Tianjin, China
Liutang Gong
Affiliation:
Institute For Advanced Study, Wuhan University, Wuhan, China Key Laboratory of Mathematical Economics and Quantitative Finance, Peking University, Beijing, China
Shimei Wu
Affiliation:
School of Economics and Trade, Hunan University, Changsha, China
*
Corresponding author: Li Li; Email: nklili0903c@nankai.edu.cn

Abstract

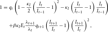
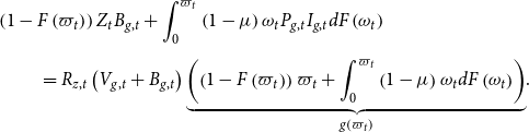
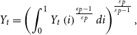
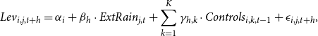
Extreme precipitation events have become more frequent and severe in recent years, leading to devastating natural disasters around the world. This paper investigates the impacts of extreme rainfall on corporate leverage dynamics. We find that the increase of extreme precipitation brings about a significant drop in firm’s leverage. The channel tests show that extreme rainfall would generate the recession of firm’s balance sheet and thus tighten the financing constraints, inducing firm to cut down leverage. On the other hand, intense rainfall would depress the land price and heighten local government’s debt risk, which crowds out the credit resources allocated to private sector, contributing to the deleveraging of firms. Simulations from the new Keynesian DSGE model with extreme rainfall shock and local government land finance system, lend further support to our empirical findings. Furthermore, our model shows that the welfare cost of extreme rainfall risk can amount to 2.2% of the agent’s lifetime utility. Lower welfare cost can be achieved by accommodating monetary policy and active fiscal policy.

Information

Type
Articles
Copyright
© The Author(s), 2025. Published by Cambridge University Press

Access options

Get access to the full version of this content by using one of the access options below. (Log in options will check for institutional or personal access. Content may require purchase if you do not have access.)

Article purchase

Temporarily unavailable

References

Addoum, J.M., Ng, D.T. and Ortiz-Bobea, A.. (2020). Temperature shocks and establishment sales. The Review of Financial Studies 33(3), 13311366.10.1093/rfs/hhz126CrossRefGoogle Scholar
Addoum, J.M., Ng, D.T. and Ortiz-Bobea, A.. (2023). Temperature shocks and industry earnings news. Journal of Financial Economics 150(1), 145.10.1016/j.jfineco.2023.07.002CrossRefGoogle Scholar
Aguilar-Gomez, S., Gutierrez, E., Heres, D., Jaume, D. and Tobal, M.. (2024). Thermal stress and financial distress: extreme temperatures and firms’ loan defaults in Mexico. Journal of Development Economics 168, 103246.10.1016/j.jdeveco.2023.103246CrossRefGoogle Scholar
Bakkensen, L.A. and Barrage, L.. (2025). Climate shocks, cyclones, and economic growth: bridging the micro-macro gap[J]. The Economic Journal, ueaf050.10.1093/ej/ueaf050CrossRefGoogle Scholar
Barrios, S., Bertinelli, L. and Strobl, E.. (2010). Trends in rainfall and economic growth in Africa: a neglected cause of the African growth tragedy. The Review of Economics and Statistics 92(2), 350366.10.1162/rest.2010.11212CrossRefGoogle Scholar
Basu, S. and Fernald, J.G.. (1997) Returns to scale in US production: estimates and implications. Journal of Political Economy 105(2), 249283.10.1086/262073CrossRefGoogle Scholar
Bernanke, B.S., Gertler, M. and Gilchrist, S.. (1999). The financial accelerator in a quantitative business cycle framework. Handbook of macroeconomics 1, 13411393.Google Scholar
Burke, M., Hsiang, S. M. and Miguel, E.. (2015). Global non-linear effect of temperature on economic production. Nature 527(7577), 235239.10.1038/nature15725CrossRefGoogle ScholarPubMed
Calabrese, R., Dombrowski, T., Mandel, A., Pace, R. K. and Zanin, L.. (2024). Impacts of extreme weather events on mortgage risks and their evolution under climate change: A case study on Florida. European Journal of Operational Research 314(1), 377392.10.1016/j.ejor.2023.11.022CrossRefGoogle Scholar
Calderón, C., Moral-Benito, E. and Servén, L.. (2015). Is infrastructure capital productive? A dynamic heterogeneous approach. Journal of Applied Econometrics 30(2), 177198.10.1002/jae.2373CrossRefGoogle Scholar
Cevik, S. and Jalles, J.T.. (2022). This changes everything: climate shocks and sovereign bonds. Energy Economics 107, 105856.10.1016/j.eneco.2022.105856CrossRefGoogle Scholar
Chang, C., Chen, K., Waggoner, D.F. and Zha, T.. (2016). Trends and cycles in China’s macroeconomy. NBER Macroeconomics Annual 30(1), 184.10.1086/685949CrossRefGoogle Scholar
Chang, C., Liu, Z., Spiegel, M.M. and Zhang, J.. (2019). Reserve requirements and optimal Chinese stabilization policy. Journal of Monetary Economics 103, 3351.10.1016/j.jmoneco.2018.08.005CrossRefGoogle Scholar
Chen, S., Liu, S., Zhang, J. and Zhang, P.. (2023). The effect of extreme rainfall on corporate financing policies. Journal of Economic Behavior & Organization 216, 670685.10.1016/j.jebo.2023.11.005CrossRefGoogle Scholar
Chen, X., Lin, Y. and Zhu, P.. (2025).The impact of rainfall on productivity: Implications for Chinese manufacturing. Journal of Comparative Economics 53(2), 389411.10.1016/j.jce.2025.03.005CrossRefGoogle Scholar
Chen, X. and Yang, L.. (2019). Temperature and industrial output: Firm-level evidence from China. Journal of Environmental Economics and Management 95, 257274.10.1016/j.jeem.2017.07.009CrossRefGoogle Scholar
Damania, R., Desbureaux, S. and Zaveri, E.. (2020). Does rainfall matter for economic growth? Evidence from global sub-national data (1990–2014). Journal of Environmental Economics and Management 102, 102335.10.1016/j.jeem.2020.102335CrossRefGoogle Scholar
Davenport, F.V., Burke, M. and Diffenbaugh, N.S.. (2021). Contribution of historical precipitation change to US flood damages. Proceedings of the National Academy of Sciences 118(4), e2017524118.10.1073/pnas.2017524118CrossRefGoogle ScholarPubMed
Dell, M., Jones, B.F. and Olken, B.A.. (2012). Temperature shocks and economic growth: evidence from the last half century. American Economic Journal: Macroeconomics 4(3), 6695.Google Scholar
Donadelli, M., Jüppner, M., Riedel, M. and Schlag, C.. (2017). Temperature shocks and welfare costs. Journal of Economic Dynamics and Control 82, 331355.10.1016/j.jedc.2017.07.003CrossRefGoogle Scholar
Fernández-Villaverde, J. and Levintal, O.. (2018). Solution methods for models with rare disasters. Quantitative Economics 9(2), 903944.10.3982/QE744CrossRefGoogle Scholar
Fernández-Villaverde, J. and Rubio-Ramírez, J.F.. (2006). Solving DSGE models with perturbation methods and a change of variables. Journal of Economic Dynamics and Control 30(12), 25092531.10.1016/j.jedc.2005.07.009CrossRefGoogle Scholar
Futagami, K., Morita, Y. and Shibata, A.. (1993). Dynamic analysis of an endogenous growth model with public capital. The Scandinavian Journal of Economics 95(4), 607625.10.2307/3440914CrossRefGoogle Scholar
Gertler, M. and Karadi, P.. (2011). A model of unconventional monetary policy. Journal of Monetary Economics 58(1), 1734.10.1016/j.jmoneco.2010.10.004CrossRefGoogle Scholar
Ginglinger, E. and Moreau, Q.. (2023). Climate risk and capital structure. Management Science 69(12), 74927516.10.1287/mnsc.2023.4952CrossRefGoogle Scholar
Gourio, F. (2012). Disaster risk and business cycles. American Economic Review 102(6), 27342766.10.1257/aer.102.6.2734CrossRefGoogle Scholar
Gyourko, J., Shen, Y., Wu, J. and Zhang, R.. (2022). Land finance in China: analysis and review. China Economic Review 76, 101868.10.1016/j.chieco.2022.101868CrossRefGoogle Scholar
Hadlock, C.J. and Pierce, J.R.. (2010). New evidence on measuring financial constraints: moving beyond the KZ index. The Review of Financial Studies 23(5), 19091940.10.1093/rfs/hhq009CrossRefGoogle Scholar
Hallstrom, D.G. and Smith, V.K.. (2005). Market responses to hurricanes. Journal of Environmental Economics and Management 50(3), 541561.10.1016/j.jeem.2005.05.002CrossRefGoogle Scholar
Hashimoto, R. and Sudo, N.. (2024). Transmission of flood damage to the real economy and financial intermediation: Simulation analysis using a DSGE model. Journal of Environmental Economics and Management 128, 103058.10.1016/j.jeem.2024.103058CrossRefGoogle Scholar
He, F., Ren, X., Wang, Y. and Lei, X.. (2025). Climate risk and corporate bond credit spreads. Journal of International Money and Finance 154, 103297.10.1016/j.jimonfin.2025.103297CrossRefGoogle Scholar
Hsiang, S.M., Burke, M. and Miguel, E.. (2013). Quantifying the influence of climate on human conflict. Science 341(6151), 1235367.10.1126/science.1235367CrossRefGoogle ScholarPubMed
Huang, H.H., Kerstein, J. and Wang, C.. (2018). The impact of climate risk on firm performance and financing choices: An international comparison. Journal of International Business Studies 49, 633656.10.1057/s41267-017-0125-5CrossRefGoogle Scholar
Iacoviello, M. (2005) House prices, borrowing constraints, and monetary policy in the business cycle. American Economic Review 95(3), 739764.10.1257/0002828054201477CrossRefGoogle Scholar
Iacoviello, M. (2015). Financial business cycles. Review of Economic Dynamics 18(1), 140163.10.1016/j.red.2014.09.003CrossRefGoogle Scholar
Jordà, Ò. (2005). Estimation and inference of impulse responses by local projections. American Economic Review 95(1), 161182.10.1257/0002828053828518CrossRefGoogle Scholar
Kiyotaki, N. and Moore, J.. (1997). Credit cycles. Journal of Political Economy 105(2), 211248.10.1086/262072CrossRefGoogle Scholar
Kotz, M., Levermann, A. and Wenz, L.. (2022). The effect of rainfall changes on economic production. Nature 601(7892), 223227.10.1038/s41586-021-04283-8CrossRefGoogle ScholarPubMed
Li, W., Chen, J. and Yuan, K.. (2025). Changes in corporate employment under climate risk. Journal of International Money and Finance 157, 103368.10.1016/j.jimonfin.2025.103368CrossRefGoogle Scholar
Lis, E.M. and Nickel, C.. (2010). The impact of extreme weather events on budget balances. International Tax and Public Finance 17, 378399.10.1007/s10797-010-9144-xCrossRefGoogle Scholar
Ortega, F. and Taṣpınar, S.. (2018). Rising sea levels and sinking property values: Hurricane Sandy and New York’s housing market. Journal of Urban Economics 106, 81100.10.1016/j.jue.2018.06.005CrossRefGoogle Scholar
Painter, M. (2020). An inconvenient cost: the effects of climate change on municipal bonds. Journal of Financial Economics 135(2), 468482.10.1016/j.jfineco.2019.06.006CrossRefGoogle Scholar
Pankratz, N., Bauer, R. and Derwall, J.. (2023). Climate change, firm performance, and investor surprises. Management Science 69(12), 73527398.10.1287/mnsc.2023.4685CrossRefGoogle Scholar
Pencavel, J. (1986). Labor supply of men: a survey. In Handbook of labor economics. Amsterdam: Elsevier Science, Vol. 1, pp. 3102.Google Scholar
Rao, S., Koirala, S., Thapa, C. and Neupane, S.. (2022). When rain matters! investments and value relevance. Journal of Corporate Finance 73, 101827.10.1016/j.jcorpfin.2020.101827CrossRefGoogle Scholar
Rotemberg, J. J. (1982). Sticky prices in the United States. Journal of Political Economy 90(6), 11871211.10.1086/261117CrossRefGoogle Scholar
Ruge-Murcia, F. (2012). Estimating nonlinear DSGE models by the simulated method of moments: With an application to business cycles. Journal of Economic Dynamics and Control 36(6), 914938.10.1016/j.jedc.2012.01.008CrossRefGoogle Scholar
Schmitt-Grohé, S. and Uribe, M.. (2007). Optimal simple and implementable monetary and fiscal rules. Journal of Monetary Economics 54(6), 17021725.10.1016/j.jmoneco.2006.07.002CrossRefGoogle Scholar
Sims, E. and Wu, J.C.. (2021). Evaluating central banks’ tool kit: past, present, and future. Journal of Monetary Economics 118, 135160.10.1016/j.jmoneco.2020.03.018CrossRefGoogle Scholar
Somanathan, E., Somanathan, R., Sudarshan, A. and Tewari, M.. (2021). The impact of temperature on productivity and labor supply: evidence from Indian manufacturing. Journal of Political Economy 129(6), 17971827.10.1086/713733CrossRefGoogle Scholar
Whited, T. M. and Wu, G.. (2006). Financial constraints risk. The Review of Financial Studies 19(2), 531559.10.1093/rfs/hhj012CrossRefGoogle Scholar
Wu, G.L. (2018). Capital misallocation in China: Financial frictions or policy distortions? Journal of Development Economics 130, 203223.10.1016/j.jdeveco.2017.10.014CrossRefGoogle Scholar
Zhang, P., Deschenes, O., Meng, K. and Zhang, J.. (2018). Temperature effects on productivity and factor reallocation: evidence from a half million Chinese manufacturing plants. Journal of Environmental Economics and Management 88, 117.10.1016/j.jeem.2017.11.001CrossRefGoogle Scholar
Zhu, X. (2012). Understanding China’s growth: past, present, and future. Journal of Economic Perspectives 26(4), 103124.10.1257/jep.26.4.103CrossRefGoogle Scholar
Supplementary material: File

Li et al. supplementary material

Li et al. supplementary material
Download Li et al. supplementary material(File)
File 223.9 KB