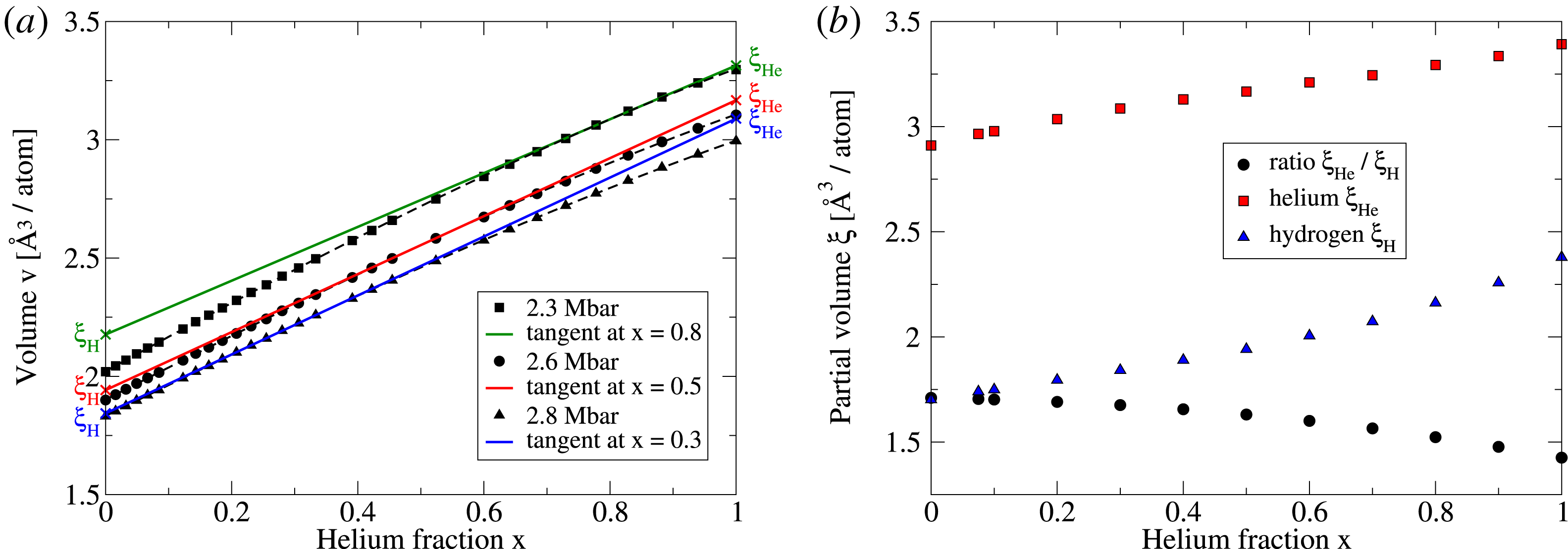
We hereby correct an error in figure 4(b) of Schöttler & Redmer (Reference Schöttler and Redmer2018). The shown data corresponds to a temperature of 1000 K and not 10 000 K as indicated in the caption. The correct data for 10 000 K is given in figure 1. Note that the ratio of partial volumes is not changed significantly. This error only affects the displayed data. All conclusions of Schöttler & Redmer (Reference Schöttler and Redmer2018) remain unchanged.

Figure 1. (a) Volume versus He fraction for three pressures at 10 000 K. The determination of partial volumes for H and He is demonstrated for three He fractions. Partial volumes are indicated by the crosses. (b) Partial volumes and their ratio at
$T=10\,000$
K and
$r_{\text{s}}=1.4~a_{0}$
for all considered He fractions.
Acknowledgement
We thank M. Desjarlais for bringing the hereby corrected error to our attention.
