Introduction
Within an ice sheet, thermal energy is transferred primarily by conduction but other heat-transfer mechanisms can also Contribute to varying degrees. Non-conductive processes can include wind-generated ventilation of the snowpack (wind-pumping), latent-heat transfer by water-vapor migration, convection of air in the pore spaces and solar radiative heating. These non-conductive mechanisms are limited to the uppermost few meters of the snow where there is permeability to airand water vapor, and penetration of solar radiation. Aelvection of heat with the movement of ice and generation of heat from basal sliding and ice deformation can also occur (Reference ColbeckColbeck, 1993). Although the bulk of an ice sheet experiences only conduetive-heat transfer, the possibility has been raised that non-conductive processes near the surface could cause shifts in ice-sheet temperatures (Reference Clarke, Fisher and WaddingtonClarke and others, 1987; Reference ColbeckColbeck, 1993) and vertical mixing of air within the snowpack (Reference ColbeckColbeck, 1989; Reference Clarke and WaddingtonClarke and Waddington, 1991; Reference AlbertAlbert, 1995), as well as movement and deposition of atmospheric aerosols within the snow pack (Reference Cuffey, Clow, Alley, Stuiver, Waddington and SaltusCunningham and Waddington, 1993; Harder and others, 1996). These effects could alter both ice-sheettemperatures and the geochemical record in ice cores, complicating reconstructions of paleoclimate (Waddington and Morse, 1994; Reference Cuffey, Clow, Alley, Stuiver, Waddington and SaltusCuffey and others, 1995).
By comparing snow-temperature measurements taken over a period of 10 months at South Pole Station to a one-dimensional model of heat transfer by conduction only, we seek to determine how well simple vertical conduction can explain observed short-term temperature changes. We then examine the departures of the model as a function of depth in an attempt to detect evidence for an effect of windpumping on temperature profiles in snow on the Antarctic Plateau. During the entire 6 months between the March equinox and the September equinox, solar radiative heating of the snow is negligible at the South Poleand temperatures are so low (< −40°C) that lalent-heat transport is also insignificant. Heat transfer by inter-grain thermal radiative exchange is also small, as shown below. By comparing periods of strong and weak wind, we can therefore hope to identify the contributions of windpumping and conduction without the complications of radiative heating and water-vapor migration.
Snow Temperatures and Related Measurements
Temperatures were measured at a site in the “Clean Air Sector” upwind from the South Pole Station buildings, about 200m from the nearest building (Clean Air Facility) and 300 m from the Dome (Station Center). Temperatures were recorded every 15 min from January to November 1992 at ten levels from the surface down to 3 m. Type YSI 44033 thermistors were spaced at 20 cm intervals to l m, then at 2 and 3 m. They were installed horizontally approximately 20 cm into the corner of a 2 m pit. This was done by first inserting a 3 mm tube with an attached level into the pit wall and removing a small core, then inserting a thermistor with leads stiffened by white heatshrink tubing until the thermistor was pressed into the end of the hole. A small amount of snow was then tamped in from the pit to secure the leads. We estimate an accuracy of ±6 mm for the burial depth of each thermistor, with errors caused by the insertion procedure and by the slight compaction during the 10 month observation period. The 3 m thermistor was buried into the bottom of thepit using the same method. Excavated snow was then finely chopped and the pit was back-filled with special care taken not to leave voids or to overcompress the snow. This back-filling procedure could have disrupted the snow texture near thethermistors and did cause some of the non-vertical heat fluxes that were detected near the surface during the first 2 months after installation, as shown below. Two thermistors were attached to a dowel 10 cm and 20 em above the snow surfaceand switched on when they became buried by snowfall during the winter. An Onmidata Polycorder datalogger was used to provide a constant voltage source and to record the voltage drop across the thermistors in a voltage-divider circuit with reference resistors of 100 Ω chosen to minimize self-heating. The datalogger was housed in a small insulated box buried in the snow about 7 m from the thermistor string. It was maintained at operating temperature by electrical heatingwith a power cord from an underground seismic vault about 30 m away in the direction of the station. Temperature disturbances caused by the thermistor installation were allowed to dissipate for 2 months before the temperature data were usedto calculate average thermal conductivity as described below.
The thermistors were “interchangeable precision” thermistors, factory-calibrated at absolute temperature to 0.1 K. We improved this calibration to ±0.03 K by applying an offset correction during tests at 0°C in an ice-slush bath and at −77.55°C in a bath of CO2ice and ethanol. Selective radiative heating of thermistors during sunlit times was reduced to 0.2 K. using aluminized mylar covers as described by Reference Brandt, Grenfell and WarrenBrandt and others (1991).
The datalogger was retrieved every 9 d for downloading the raw data. At this time, the snow accumulation and surface characteristics were documented. The downloading procedure introduced 31 data gaps of approximately 1.5 h each. Three longer data gaps of 61. 126 and 247 h occurred due to failure of the datalogger’s battery or the heater during the months of June, August and November, respectively.
The six thermistors spaced at 20 cm intervals became more deeply buried as snow accumulated during the winter, as shown in Figure 1. Because of windpacking, the density of new snow is close to that of year-old snow. Therefore, the changein depth of burial was simply set equal to the accumulation. Error due to snow settlement is included in the error analysis below and is shown to be small compared to other errors. Nearly all the accumulation during the 10 month study period occurred during the polar night (April-September). As the snow ages, it slowly densities due to further windpacking, metamorphism and compaction under pressure. Density profiles of the top 1 m of snow measured in January 1992 and the top 2 m in December 1992 are plotted in Figure 2. For both profiles, the density was measured twice at each depth in 5 cm increments using a Taylor-LaChapelle snow-density kit. The scatter due to the sampling of different layers in the snow at the same depth (because layers exhibit variable thickness on horizontal scales of less than 1 m) greatly exceeds the systematic densification with time over the 10 months (estimated to be 3%). For our model, we therefore use the linear fit to all the observed densities as a function of depth as shown in Figure 2, varying in depth from the December surface but not varying in time. For the same reason, relative thermistor position is assumed not to vary with time and the error in thermistor position due to snow settling is combined with the error in initial thermistor placement for the error analysis below.

Fig. 1. Depth below the Snow surface, as a function of time, for the six thermistors used in the conductivity analysis. Thermistor Tl was initially above the snow surface in January: it was switched on when it became buried in late June. This figure assumes no differential compaction of the upper meter of snow over the 10 month experimental period.

Fig. 2. Snow density at the thermistor site on 30 January and 30 December 1992 as a function of depth below the December surface. Linear regression is calculated assuming that all the scatter is due to density variation; that there is no error in depth measurement.
Wind speed at 10 m and air temperature at 2 m were recorded hourly by the South Pole Weather Office; they were measured on a mast 250 m from our snow-temperature experiment. Figure 3shows the time series of air temperature, wind speed and surface pressure taken at South Pole Station and used in our analysis below. The lowest air temperatures occur throughout the 6 month night (April-September) when the snow surface approaches radiative equilibrium with the sky. This “coreless winter” is normal at South Pole (Wexler. 1958; Schwerdtfeger, 1977). The warm intervals during these 6 months (Fig. 3) are usually times of strong wind and extensive cloud cover. The strong wind mixes warm air down from the top of the inversion layer (Schwerdtfeger, 1970) and the clouds emit longwave radiation downward more intensely than does the clear atmosphere. The strong winds that occur during the polar night are responsible for the growth of longitudinal snow dunes (sastrugi) during that season (Gow, 1965). Wind speeds in excess of about 7 m s−1are required for significant drifting leading to the formation of sastrugi. Sasirugi of 10 cm height sometimes migrated pastthe observation site where they probably caused significant non-vertical heat conduction in the top 20 cm, which will bediscussed below.

Fig. 3. Time series of hourly values of 2 m air temperature, 10 m wind speed and surface air pressure during1992 at South Pole Station. Wind speed has been smootheed for display by a five-point running-mean filler.
Time series of temperatures measured by the six thermisiors used in this study are plotted in Figure 4. Thermistor t1was mounted on the dowel and became buried at the end of June. Thermistor T6 was switched on briefly in April and then permanently in mid-May when another thermistor (not used in this analysis) was switched off. The other four thermistors were operative for the entire sampling period except for the three data gaps that affected all ther-mistors. The filtering of high frequencies as thermistor T2 became more deeply buried in March can be seen in Figure 4. Also, the temperaturespike toward the end of April provides a good example of the attenuation and phase lag that occurs as an event moves deeper into the snowpack. Compared to thermistor T2 at 10 cm depth, T6 at 90 cm exhibits a peak only one-sixth as large andlagged by 80 h. The attenuation with depth of surface-temperature changes is further apparent in Figure 5where monthly average temperature profiles are shown. Figure 5shows that at 3 m depth an annual cycle of amplitude 4 K remains, with a phase lag such that the summer maximum is reached in March and the winter minimum in October.

Fig. 4. Time series fo sub-surface temperature measured by the six thermistors used in the conductivity analysis.

Fig. 5. Monthly average snoe-temperature profiles for February through November 1992. The annual average 2 mair temperature is −49.3°C (Schwerdtfeger, 1977); the snow temperature at 10 m depth is −50.9°C (Reference Dalrymple and RubinDalrymple, 1966).
A 2 d segment of the 1 m temperature is shown as the points in Figure 6. This is the deepest of the thermistors used in the conductivity analysis below. Note that the recorded temperature varies by only 0.04 K over this 2 d period. To smooth the digital steps in the data seen in Figure 6, we have chosen to filter all our temperature records using a five-point running mean as shown by the continuous line in Figure 6. This filter was chosen for two reasons. First, the span of five points represents 1 h; this matches the spacing of the meteorological observations which we correlate to our model output. Secondly, the ability of our model to predict temperature changes in the deepest levels was improved by increases of the averaging time up to 1 h but averaging over times longer than 1 h did not cause further improvement. Althoughthe absolute accuracy of a temperature measurement is ± 0.03 K, Figure 6suggests that the changes of temperaturewith time at a single thermistor are accurate to about ± 0.002 K. The five-point averaging reduces this error by the square-root of five, to about ±0.001 K.

Fig. 6. Time series of temperature recorded at 1.2 m depth by thermistor T6 over a 2 d period in September. The vertical axis spans a temperature range of 0.04 K. The points are individual measurements at 15 min intervals. A five-point running mean is shown as the continuous line.
During each 9 d period between downloads of the datalogger, about 860 temperatures were recorded at each thermistor, at 15 min intervals. Afler the 1 h smoothing, the change in temperature ΔTwas computed for eachthermistor for each 15 min interval. For each 9 d period, the largest of the 860 values of ΔT, as well as the average ΔT, is plotted in Figure 7. Although the air temperature can change by more than 1 K in 15 min, below adepth of 20 em the maximum 15 min temperature change throughout 1992 was only 0.1 K, and at1 m depth 0.007 K. Aliasing (temperatures fluctuating on time-scales less than our 15 min sample rate) can occur for thermistors within 3 mm of the surface, but temperatures change more slowly at a depth of 20 cm, and the smoothness of thermistor T3 (initial depth 20 cm) in Figure 4suggests that aliasing is not a problem at our 15 min sampling interval except when the topmost thermistor is just below the surface. As will be shown below in Figure 8a, an air-temperature oscillation with a period of 30 min is attenuated by a factor of about 105at 20 cm depth. Figure 7shows that, at depths of 2 m and 3 m, the l5 min temperature changes are mostly below the estimated noise level. In the conductivity analysis below, we therefore do not use the data from those deepest thermistors.

Fig. 7. Average 15 min temperture change ΔT, and maximum 15 min temperature change, for each thermistor for each 9 d data-colletion period, plotted at the depth where the ther-mistor was located during that particular 9 dperiod. About 860 values of ΔT (after the 1 h smoothing) contribute to each point plotted here. The temperature change is converted to a heating rate (upper horizontal axis) using the density of snow and heat capacity of ice. The points above the snow surface are air temperatures measured by one of the thermistors before it was buried; only the temperature scale (not the heating-rate scale) applies to these point.

Fig. 8. (a) Theoretical e-folding depth of a periodic sinusoidal temperature variation imposed on a snow surface as a function of forcing period, for two snow densities, with conductivities from Reference AndersonAnderson’s (1976)parameterization. The e-folding depath d is defined such that ΔTd= ΔT0/e, where #x0394;T0is the temperature amplitude at the surface and #x0394;Tdis the amplitude at depth d. (b) Theoretical phase lag in days as a function of depth and period of surface-temperature forcing for homogeneous snow with a density of 350 kg m−3and a conductivity of 0.3 W m 1K 1.
Effective Thermal Conductivity of Snow
The effective thermal conductivity of snow k effis defined by:

where Fis the vertical heat flux (W m−2) and dT/dzis the vertical temperature gradient. The conductivity k effhas been measured both in the laboratory and in situin a wide rangeof experiments reviewed by Mellor (1977), Yen (1981) and most comprehensively by Sturm and others (in press). As Mellor pointed out, effective thermal conduction in snow includes heat transfer through the ice network, across air spacer orpores and by vapor diffusion through voids. It is important to note that windpumping, convection and radiative beating cannot be included in an effective thermal conductivity of snow, because these proeesses do not follow the Fourier heat-flow law and occur at different time-scales. Several attempts to parameterize heat conduction have expressed the effective conductivity as a function only of snow density. However, the variation among the experiments used to establish the parameterizations at a particular density exceeds a factor of 2, with greater scatter at lower densities, indicating that conduction of heat in snow depends not only on density but also on snow texture (Mellor, 1977).
Reference Adams and SatoAdams and Sato (1993)developed a model for the thermal Conductivity of dry snow idealized as spherical grains and used it to examine the effects of intergranular bonding and snow micro-structure. They concluded that, although the thermal conductivity of snow does depend strongly on density, it also depends on the intergranular bonding of snow grains which they quantified as the ratio of grain-contact radius to grain radius (r e/r s). Theyalso found that the temperature-dependence of snow conductivity depends on r e/r s. Well-bonded snow with r e/r s= 0.2 behaves like pure ice in that it shows a decrease inconductivity with increasing temperature, indicating that the principal heat-transfer mechanism is through the ice network. However, the conductivity of poorly bonded snow, with r e/r s= 0.01, increaseswith temperature above approximately −30°C. This is because the primary heat transfer in this case isby means of conduction in ice grains and in vapor-filled pores in series, and at these temperatures the latent-heat transfer by water vapor is significant and increases with temperature.
Several recent field measurements have demonstrated the influence of texture on snow conductivity. On the Filchner Ice Shelf, Lange (1985) found conductivity to vary by a factor of 5 for different snow samples at the same density, which he attributed to variation in grain structure. And for low-density depth hoar in Alaska. Sturm and Johnson (1992) found that differences in texture at constant density caused up to a seven-fold difference in conductivity. Our experiment, however, was not designed to measure the conductivity on a grain scale but rather on an engineering scale, because our thermistors were spaced 20 cm apart.
Estimating Effective Thermal Conductivity from Changes in Snow Temperature
Several methods have been developed to estimate the thermal-conductivity profile of an ice sheet from time series of temperature. An approach using harmonic analysis of snow temperatures to determine the attenuation and time lag of either the diurnal or annual temperature cycle was first used by Hjeltström (1889) and Reference AbelsAbels (1892). For the case of snow on the Antarctic Plateau, this same method was pursued by Reference Dalrymple and RubinDalrymple and others (1966)and Weller and Schwerdtfeger (1977). However, this method does not account for snow accumulation and also assumes that non-cnuduclive processes can headded to the effective thermal conductivity. The latler assumption fails in the case of windpumping where the conductiveand advective terms in the heat-How equation cannot be combined.
Lettau (1967) used snow-temperature measurements taken at South Pole Station over several individual 2 d periods to estimate the terms in the diffusion equation and to derive the thermal conductivity in the top 25 cm of the snowpack. He found values of conductivity (0.05-0.25 W m−1K−1that were lower than expected for the snow density that was likely encountered (300-400 kg m−3). Reference Bintanja and van den BroekeBintanja and van den Broeke (1995)estimated the effective conductivity in snow 290 km inland from the coast of Antarctica near 75°S, 12°W by analyzing the change in phase and amplitude as the diurnal temperature cycle propagated downward. They obtained a conductivity of 0.25 W m−1K−1for a density of 400 kg m−3, which is lower than the average given by the parameterizations reviewed by Mellor (1977) and Yen (1981). As described below, we obtain results similar to Lettau (1967) and Reference Bintanja and van den BroekeBintanja and van den Brocke (1995)in the uppermost snow and will attempt an explanation.
Heat flow in horizontally homogeneous snow and ice can be approximated using a one-dimensional finite-difference model to explain measured temperatures (Reference Brandt and WarrenBrandt and Warren, 1993). This type of model is necessary if non-linear heat fluxes are to be included, such as volumetric heating by solar radiation. Trowbridge (1993) used a finite-difference model in an attempt to quantify the thermal effects of wind-pumping in the near-surface firn at Taylor Dome, Antarctica. His approach was to estimate the thermal diffusivity of the snow by analyzing the phase shift and amplitude attenuation of the diurnal cycle and also by using the parameterizations of Yen (1981) and Reference AndersonAnderson (1976). He estimated the spectral radiative heating by the method of Reference Brandt and WarrenBrandt and Warren (1993)and compared his computed temperatures to measured temperatures to determine residual heating rates that might be associated with windpumping.
Our model follows the approach of Trowbridge (1993), by using a Crank-Nicholson finite-difference scheme to model conductive-heat How. We then examine differences between modeled and measured temperature changes to estimate the contribution of non-conductive thermal fluxes. Our data set has the added benefit of 6 months without solar radiation and at temperatures below −40°C where the contributions to the effective conductivity by latent-heat transfer and infrared-radiative transfer are both unimportant, as shown next.
Heat Transfer by Water Vapor and Thermal Radiation
Yen (1981, equation (47)) estimated a thermal conductivity of 0.094 W m−1K−1caused by vapor diffusion in snow at 0°C. Although this could be significant for low-density snow, the same calculation gives only 0.003 W m−1K−1at °40°C and 0.0002 W m−1K1at −60°C, because of the low-saturation vapor pressure and correspondingly low gradientof vapor pressure, at low temperatures (saturation vapor pressure is 6.l mbar at 0°C but only 0.1 mbar at °40°C and 0.01 mbar at −60°C). The snow temperatures measured during our experiment were usually below −40°C, so latent-heat transport by vapor diffusion accounts for at most 1% of the heal flux.
We can also show that beat transfer by thermal radiation within the snow pack is small by the following argument. We model the snow grains as black bodies because the e-folding distance for absorption of thermal infrared radiationin ice is only 2-70 μm (Schaaf and Williams, 1973; Warren, 1984), whereas the snow-grain diameters are typically a few hundred μm.
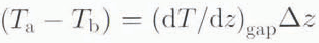
Using the Stefan-Boltzmann law, the thermal radiation energy flux exchanged between two neighboring black-body snow grains aand bis
where σ is the Stefan-Boltzmann constant and (T a− T b), the inter-grain temperature difference, is
with Δz the inter-grain spacing and (dT/dz)gapis the temperature gradient across the gap. This is larger than the bulk temperature gradient dT/dzused in Equation (1), because air is much less conductive than ice. Because the porosity of South Polar snow is about 50% and assuming that each snow grain is nearly isothermal we therefore set (dT/dz)gap≈ 2dT/dz. Then comparing Fradto the total heat flux Ffrom Equation (1), we obtain the ratio
We estimate the inter-grain spacing Δzto be similar to the snow-grain diameter, which increases with depth but averages about 0.5 mm in the top meter of snow (Grenfell and others, 1994). Using k eff= 0.3W m−1K−1, we then find that the infrared heat flux is about 1 % of the total in thesummer (T ≈ 240 K) and somewhat less in winter.
Model of Heat Transfer in Snow
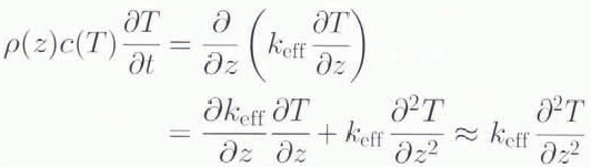
The model of simple vertical conduction starts with a one-dimensional diffusion equation:

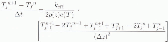
where ρ(z) is the snow density, c(T) is the heat capacity of ice, k effis the effective thermal conductivity, Tis temperature, tis time and zis depth. We assume that k effdoes not vary significantly within each 40 cm depth interval used in the model, which reduces the righthand side of Equation (5) to one term. This source of error is diseussed in the analysis below. Equation (5) is approximated using the Crank Nicholson finite-difference method (Press and others, 1992, equation 17.2.13):

where
is the temperature in level jat time step n. The system of equations in this approximation form a tridiagonal matrix which is efficient to compute. This method was chosen for its second-order accuracy and unconditional stability at any depth step for a given time step. All model runs used 57 depth steps of Δz= 7.02 mm each. We chose this number of depth steps by testing the model for the ease of a sinusoidal periodic surface-temperature forcing whose solution can bedetermined analytically as described by Turcotte and Schubert (1982, p. 155). Comparing analytic and modeled temperatures driven by a surface forcing period of 30 min (the shortest we can resolve at a 15 min sampling rate), our model showedno significant improvement using more than 57 levels. We also ran the model atdifferent vertical resolutions to solve for conductivity during the 9 d period with the most rapidly fluctuating temperatures. The derived conductivity became insensitive to the number of levels when the number of levels reached 29, so our choice of 57 levels ensures adequate vertical resolution. (An odd number of levels is chosen so that the center thermistor coincides with a model level.) This method differs from Lettau’s (1967) and Zhang and Qsterkamp’s (1995) methods to solve Equation (5) which require a thermistor at each level or node. We do not have sufficient vertical resolution in our data set to use the type of finite-difference method they used. For the time step Δtwe used either 15 min, the same as the original data, or 1 h, the smoothing interval. The derived conductivities were insensitive to the choice of time step. For the figures shown inthis paper, the model used a 15 min time step.
Although the air temperature can change significantly in less than 30 min, such high-frequency temperature changes attenuate rapidly in the near-surface snow. The analytical e-folding depth for a wide range of forcing periods is shown in Figure 8a. Changes of temperature with periods less than 1 h are expected to dissipate within the top 5 cm of the snowpack. Likewise, the phase lag of thermal-wave propagation through the snowpack depends on the period of surface-temperature forcing, with longer-period temperature changes moving more slowly through the snowpack as shown in Figure 8b.For the annual cycle, Figure 8a indicates an e-folding depth of 2 in and a phase lag at 3 m of 75 d, consistent with the measurements shown in Figure 5.
Three thermistors are used to constrain each model run: one each for the upper and lower boundary conditions and an intermediate one to compare with a modeled center temperature. The residual temperature change ϵ(t) is the difference between the computed temperature change at the center of the modeled region and the measured temperature change there. With the thermistors spaced a fixed 20 cm apart, the regions modeled are 40 cm in vertical extent and thermal conductivity is assumed to be constant within a 40 cm region. This assumption is acceptable ar our scale of interest, although an average conductivity over 40 cm does not address variation in effective conductivity at the grain scale or at the scale of variation in density. Given six thermistors with equal 20 cm spacing (Fig. 1), we can model four overlapping regions and determine a conductivity profile.
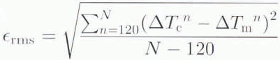
With no diurnal cycle at the South Pole and as our data do not cover a complete annual cycle, we are not able to use the harmonic methods described above to determine the effective thermal conductivity. Instead, for each of the 32 periods (approximately 200 h each) and for each of the four depth groups, we ran the model repeatedly with different specifiedconductivities to find the conductivity that minimized the r.m.s. difference ϵrmsbetween measured andmodeled temperature changes:

where
is the computed and
the measured change in centertemperature at time step nand Nis the total number of time steps. The least-squares norm was chosen because it determines the most probable value of ϵ assuming that the residuals are randomly distributed. The initial profile of temperature at the 57 levels for each model run was estimated by applying a cubic spline to the three measured temperatures. Computation of ϵrmswas started at time step n= 120, so as not to include initial transients in the model due to the interpolation of the initial temperature profile. By examining the error caused by this interpolation, in the case of a periodic surface forcing whose solution is known, we found that 120 time steps (30 model hours) was an adequate delay to avoid the transient effects of errors in the initial temperature profile. To minimize data “lost” by this initial delay, we calculated conductivity only for the 32 data-collection periods which contained the longest continuous data segments (approximately 200 model hours each).
Examples of model runs are shown in Figure 9for each of the four depth groups for the four data-collection periods (D6, D15, D20 and D31) with the lowest average wind speed. The top group has only two curves and the bottom group three; their thermistors were not all recording for some of the low-wind periods. Each curve displays a single minimum which ismore clearly defined for periods in which there was more variation in temperature. These four data-collection periods had an average wind speed less than 2.5 m s−1and a peak wind speed less than 5.1 m s−1. This is compared to an average wind speed of 6.0 m s−1and a stan-dard deviation of 2.6 m s−1during the 8 month period when conductivities were calculated.

Fig. 9. Root-mean-square difference between computed and measured 15 min temperature changes (ΔTm- ΔTc) (Equation (7)), using the pure-conduction model (Equation (6)), as a function of the conductivity specified in the model, for the four 9 d data-collection periods of lowest mind speed (indicated by download-number D06, D15, D20, D31). The four frames are for four sets of three thermistors each, labeled by the range of depths occupied by the central thermistor of the set over the course of these four-data-collection periods (Fig. 1). Note that the vertical scale is expanded by a factor of 2 in (c) and a factor of 5 in (d) to display the much smaller temperature changes experienced by the deeper snow.
These low-wind periods were chosen to estimate conductivity when windpumping effects would be smallest. Our initial intention was to use low-wind periods to establish the conductivity for each thermistor group: however, the average conductivity of all the periods for each group differed by less than 0.01 W m−1K −1fromthe average of the low-wind periods.
The accuracy of the calculated conductivity is dependent on errors in the assumed density profile, the measured temperatures, the thermistor positions and the time of measurement. The standard error in the mean of the density measurements in Figure 2over a 40 cm region is less than 5 kg m−3, or a relative error of < 1.5%. This translates to an equal relative error in conductivity, because ρ is proportional to k effin Equation (5). Error due to the time of data acquisition is insignificant as the Polycorder’s clock is accurate to better than0.1 s in 15 min. To estimate the contributions of errors in temperature and thermistor position, the model was run 500 times with an offset error introduced in each of the three temperatures and each of the three thermistor positions, from a random Gaussian distribution with standard deviations of 0.03 K for temperatures and 6 mm for thermistor positions. A 9% relative error in conductivity was the maximum estimated in the case of the deepest thermistors where temperatures are changing more slowly and conductivity is not as well constrained. Combined with the error due to density variation, the total uncertainty in k eff(for individual 9 d periods) is 10% at 60-100 cm depth and 8% at shallowerdepths, with errors in Δzand ΔTcontributing about equally.
For each depth group, the conductivity that minimized ϵrmsand its uncertainty is shown for each data-collection period in Figure 10. Horizontal lines indicate the average conductivity for groups B, C and D. A transientperiod in February is apparent in groups B and C, probably due to the disturbance of the thermal regime in the nearby backfilled snow pit, or to solar heating. Therefore, the average conductivity was computed beginning at sunset (21 March),2 months after the thermistor installation, so that temperatures in the snow pit would have equilibrated to their surroundings and so that solar heating would be negligible. For group A, a least-squares linear fit. rather than an average, is shown; the motivation for this exception is discussed below. To obtain the error bars for Figure 10, we make a judgment about the accuracy to which k effis determined in curves such as those of Figure 9. Curves with sharp minima indicate well-defined values of k effWe first compute the r.m.s. temperature change For a given thermistor for a 9 d data-collection period:


Fig. 10. Best-fit model conductivities for all periods for the four thermistor groups. Error bars indicate conductivities that gave ±10% relative error in computed temperature changes, as explained in the text. The horizontal lines in (b), (c) and (d) are averages over the experimental period, excluding the first 2 months (see text). The straight line in (a) is a least-squares fil to the points.
We then locate (e.g. on Figure 9) the values of k efffor which ϵrms= 0.1 ΔT rms, indicating 10% relative error, consistent with the uncertainly estimate above. These values of k effdefine the top and bottom of the error bars in Figure 10. In general, the conductivity is less narrowly constrained For the deeper thermistors, because temperatures change more slowly at depth.
The Four average conductivities from Figure 10are plotted vs depth in Figure 11, along with the density-dependent parameterizations of Reference AndersonAnderson (1976)and Yen (1981):
where kis in W m−1K−1and ρis density in Mg m−3. Error bars in Figure 11show the range of conductivities and depths for each thermistor group from the individual periods shown in Figure 10. The conductivities for the lower two thermistor groups are consistent with the Reference AndersonAnderson (1976)and Yen (1981) parameterizations but the top two groups have significantly lower conductivities, although they still remain within the scatter of measurements used by Anderson and Yen to compute their parameterizations. The snow in whichour low near-surface conductivities were measured fell mostly during the polar night and had never experienced high temperatures and solar radiation. Although an increase of bonding with time due to the snow grains’ small radius of curvature (Kelvin effect) might still occur at low temperatures, this winter snowfall had probably not become well bonded, whichcould explain the low conductivities measured. Fhis condition would correspond to a small value of (r c/r s) in the Reference Adams and SatoAdams and Sato (1993)model.

Fig. 11. Average conductivity of each thermistor group as a function of depth. Error bars indicate the range of modeled conductivity and range of depths of the center thermistor for all periods. Lines indicate parameterizations based on density (Equations (9) and (10)), using densities one standard deviation above and below the measured values shown in Figure 2.
The conductivity of group A increased slowly with time from June to October. This increase is probably typical as newsnow ages. The parameterizations of Reference AndersonAnderson (1976)and Yen (1981) were based primarily on measurements of old snow: Figure 11show; that the South Polar snow approaches agreement with the parameterizations as it ages. At 1 m depth, our conductivity also agrees with that inferred by Weller and Sehwerdlfeger (1977) for the snow at Plateau Station. The accumulation rate at our experiment site is about 40 cm of snow per year, so thermistor group D represents snow that is 2-3 years old, whereas group A represents snow that is at most a few months old. (The annual accumulation at a distance of several kilometers away from South Pole Station is only 20 cm but the station itself disrupts surface winds and causes excess snow accumulation nearby). The rate of growth of necks connecting grains probably is greatest during the warmest months, December and January, which have mean surface-air temperatures of −28°C. The conductivity in the uppermost layer therefore probably increased more rapidly in the 3 months following the termination of this experiment than itdid during the measured period June-October (Fig. 10a). As further qualitative evidence for increased grain bonding withdepth, we note that snow shoveled near the surface appeared well packed but not cohesive, much like dry sand, whereas atthe bottom of the 2 m pit the snow extracted by shoveling was in the form of well-bonded blocks.
Snow grain-size does normally increase with depth or age (LaChapelle, 1969). Grenfell and others (1994) measured snowgrain-size at the South Pole by means of photomicrographs and found radii averaging 50 μm at the surface, increasing to about 300 μm at 50 cm depth. In addition to grain-size, snow texture is also important for the conductivity but has apparently not yet been studied in the surface snow of the Antaretic Plateau. A review of current knowledge involving the relationship between snow texture and heat transfer (Reference Arons and ColbeckArons and Colbeck, 1995) has argued for more field observations of heat transfer in relation to the micro-structure of snow.
The curves in Figure 9show that, although there is a single conductivity minimum for each period, there is still a residual error in the predicted temperature change (ϵrms) at the best-fit conductivity and that ϵrmsis larger nearer the surface. The likely contributors to this residual temperature-change error are model error due to the finite-difference approximation, temperature-measurement error, thermistor-placement error, non-vertical heat fluxes, variation in density and snow texture, which would cause k effto vary at scales smaller than our thermistor spacing and non-conductive heal fluxes. We next convert ϵrmsinto a residual heating rate as a function of depth in order to set an upper limit to the thermal effect of non-conductive heat fluxes.
Rather than using the best-fit conductivities for each 9 d period shown in Figure 10, we use the average conductivityfor each group (horizontal lines in Figure 10), except for the one closest to the surface (group A) for which we specifyconductivity increasing linearly with time as indicated in Figure10a. We believe there is no physical reason to explainthe week-to-week variation in optimal conductivity shown in Figure 10other than model and measurement error or non-conductive or non-vertical heat fluxes, except near the surface where the snow may be undergoing more rapid metamorphism. Byusing the average conductivity, our values of ϵrmswill be larger than the minima shown in Figure 9and we will by default assign any true change in conductivity to non-conductive processes (or non-vertical conduction), and thus obtain an upper limit to the heal flux due to these processes. Figure12ashows ϵrmsin degreesand the residual heating rate (heating-rate error) in W m−3as functions of depth for all periods of no sunlight and all thermistor groups; Figure12bshows the relative error ϵrms/ΔT rms(Equations (7) and (8)). The cases in Which the top thermistor was within 3 mm of the snow surface are omitted from Figure 12. For those cases, aliasing at the sample interval of 15 min is likely and indeed they exhibit the largest errors. Below 60 cm the heating-rate error is less than 0.2 W m−3and the relative error is less than 8%, indicating that vertical conduction explains 92% of the heat flux.

Fig. 12. (a) Root-mean-square error in predicted temperature change, ϵrms(Equation (7)) asa function of depth for all thermistor groups for all periods of no sunlight. The top axis indicates the equivalent residual heating rate. The model uses the average conductivity for each group (horizontal lines in Figure 10). (b) Relative error in predicted temperature change, ϵrms/ΔTrms(Equations (7) and (8)) vs depth, averaged over 10 cm intervals for all thermistor groups for all periods of no sunlight. The predicted temperature changewas computed using the 6 month average conductivity for each group.
Estimation of Non-Conductive Heat Flux
We did not investigate heating rates due to solar radiation when the sun was up, because of an experimental difficulty also experienced by Trowbridge (1993). Even though we minimized selective radiative heating of thermistors by coveringthem with mylar shields, the thermistors registered temperatures up to 0.2 K higher than the snow temperature. It is difficult to monitor snow temperature in the presence of solar radiation. One can observe the cooling curve after shading the snow to get an instantaneous snow-temperature profile a few seconds after the thermistors have equilibrated to the actual snow temperature (Reference Brandt and WarrenBrandt and Warren, 1993, Fig. 7), but this method disrupts the thermal regime and is difficult toimplement operationally to track snow temperatures over several months. However, solar radiation is not expected to cause internal heating within the snowpack below the top few centimeters in the case of pure, dry snow at densities found onthe Antarctic Plateau (Reference Brandt and WarrenBrandt and Warren, 1993).
We now search for a windpumping contribution to the residual heating rates in winter that are not accounted for by vertical conduction. These residual heating rates are significant for the upper thermistor groups A and B, at shallow depths where windpumping would be expected to have the greatest effect. We therefore seek a Windpumping signal in a correlation of the unexplained healing rates in groups A and B to meteorological variables from Figure 3, only for cases where the top of the group was less than 20 cm from the surface. The most probable type of windpumping that would disrupt the thermal regime of the underlying snow on the scale of centimeters to meters would be caused by air flow over undulations,which at the South Pole would be sastrugi (Reference ColbeckColbeck, 1989; Canningham and Waddington, 1993). The perturbation pressure P, and hence the vertical air-flux volume of this type of windpumping is proportional to the square of the wind speed U(Reference ColbeckColbeck, 1989). In addition, the disruption of the snow’s thermal regime due to windpumping should be proportional to the temperature difference between air and snow (T a− T m). We define the unexplained temperature change ϵ for a particular time step as ϵ = ΔT m− ΔT c, (cf. Equation (7)), and correlate ϵ(t) with U 2(T a- T m), using the hourly values of wind speed (which were shown smoothed in Figure 3) and only the data-collection periods during the polar night so as not to involve solar radiation. As shown in table1andFigure13aand b, this correlation explains 21% of the residual heating, or 3.1% of the total heating. However, this correlation does not by itself identify windpumping as the cause of the unexplained temperature changes, because non-vertical conduction is also proportional to T a− T m. We therefore also show the correlations of ϵ with T a− T mand U 2separately. table1and Figure13cand d show dun (T a− T m) alone explains more of ϵ than does U 2(T a− T m). U 2is essentially uncorrelated with ϵ as shown in Figure13cand f. We also tried correlating ϵ with another possible measure of windpumping, ∣Δp∣(T a− T m), where Δpis the change in barometric pressure, and again did not find significant correlation (table1). Convection within the snowpack would correlate with (T a− T m) but it is unlikely to contribute much to the heat flux because of the high snow density. Non-vertical heat conduction could be responsible for correlation between (T a− T m) and the one-dimensional model’s residual heating error ϵ, especially when a vertical wall of a sastruga was close to the thermistor string as was sometimes observed. The fact that the correlation of ϵ with U 2(T a− T m) was less than that with (T a− T m) suggests that the small residual heating ϵ is mostly due to non-vertical conduction and to vertical variability in k effrather than to windpumping.
Table 1 Correlation of unexplained temperature change ≡ (ΔT m− ΔT c), at 25-40 cm depth with various meteorological parameters. Correlation coefficient is r; r2is the fraction of variance accounted for by the parameter. Fpindicates the per cent of the total temperaturechange accounted for by the parameter. The correlation of ϵ with U2(Ta− Tm), (Ta− Tm) and U2are plotted in Figure 13


Fig. 13. Error in model-predicted temperature change, plotted against a parameter that should be proportionalto heating rate by windpumping, U2(T a− T m), its well as (T a− T m) and U2separately, where U is 10 m wind speed. Tais 2m air temperature and Tmis measured temperature at the center thermistor group of a three-themistor group.Each point in (a), (c) and (e) represents a single thermistor group for a single 15 min interval. Sunlit times as well as the initial 30 h of each 9 d period are excluded. A total of 5122 points is plotted in each of the lefthand frames. The nature of the corrlation is more easily observed by forming groups of data points. The horizontal axes are therefore divded into bins containing approximately equal numbers of data points and the averages for these bins are plotted on the righthand frames.
Discussion
Comparing Figures 7 and 12, we see that for example at 50 cm depth, changes of up to 0.03 K in a 15 min time step canbe explained to within 0.000 K by vertical conduction alone. We did not observe rapid temperature changes due to Windpumping such as have been reported by Reference Albert and MeGilvaryAlbert and McGilvary (1992)and Reference Albert and HardyAlbert and Hardy (1995). In laboratory and in situ forced-air experiments, they found temperature changes of up to 1 K at 20 cm depth, whereas our maximum temperature changeat 20 cm was only 0.1 K (Fig. 7). However, the snow they studied was low-density seasonal snow (150 kg m−3), with a permeability nearly 20 times that of typical snow on the Antarctic Plateau, which is at least twice as dense. This difference in snow type is probably sufficient to explain why our experiment had a different outcome than theirs, although differences in thermal conductivity and local temperature gradients may also he significant, Reference AlbertAlbert (1995)developed a finite-element heat-tranfer model which agreed with her experimental results, and which also suggests that slow advection could be occurring in South Polar snow without significantly affecting measured temperatures.
The theoretical and experimental evidence of the depth to which windpumping occurs on an ice sheet is limited. Reference Clarke and WaddingtonClarkeand Waddingion (1991)improved their windpumping model to consider three-dimensional air flow and found that the depth to which windpumping occurs in one-dimensional models is overestimated. Waddington (personal communication) expects most of the air flow for a “sastiugied” snow surface to occur to a depth comparable to the height of the sastrugi, which in our case varied from 0 to 30 cm. Reference Clarke, Fisher and WaddingtonColbeck (1993)pointed out that the heat capacity of snow (of density ρ= 500 kg m−3) is 850 times that of air. Thermal signatures of windpumping might then he subtle and low-velocity windpumping may occur without significantly disrupting the snow’s thermal regime. Even if windpumping does not significantly affect snow temperatures on the Antarctic Plateau, it can still be important for aerosol deposition, which occurs only in the top few centimeters (Reference AlbertAlbert, 1996; Harder and others, 1996).
Reference AlbertAlbert and others (1996)measured the vertical snow permeability at Summit, Greenland; it increased from 3 × 10−10m2at the surface to 28 × 10−10m2at 1 m depth. They also showed that the horizontal permeability could be a factor of 2 larger than the vertical permeability. This is probably true in Antarctica as well, because the vertical permeability at the South Pole is largely limited by a thin surface crust about 5 mm thick that forms in late summer (Gow, 1965). The preliminary analysis of Reference AlbertAlbert and others (1996)shows that the top meter of firn is sufficiently permeable to allow ventilation. It has been shown in one-dimensional calculations (Reference Albert and MeGilvaryAlbert and McGilvary, 1992) and two-dimensional calculations (Reference AlbertAlbert, 1993) that significant air flow can exist in the firn that would not be evident from the temperature profile when the snow has relatively high thermal conductivity, or when there are relatively strong overall temperature gradients. The vertical permeability we measured in the top10 cm of South Polar snow, 4 × 10−10m2, agrees with the Greenland surface value, suggesting that an experiment in Greenland similar to ours might yield similar results.
Conclusions
Measurement of snow temperature at South Pole Station during the winter night can be used to estimate the thermal conductivity and to assess the contribution of windpumping to the snow’s thermal regime, without the added coraplexities ofsolar radiation and transport of latent heat.
Above 40 cm depth, the estimated snow conductivity is much lower than that given by the parameterizations of Reference AndersonAnderson(1976)and Yen (1981) which are functions only of density. We speculate that the low conductivities we observed are due to weak intergranular contacts within the freshly fallen, very cold, winter snow at the South Pole.
Below a depth of ≾3 mm, the thermal regime of near-surface snow at South Pole Station changes slowly enough tobe sampled at 15 min time steps and to be modeled using finite differences in one dimension. Thermal conduction in the vertical direction is responsible for at 92% of the hear flux below a depth of 60 cm (3-4 annual layers). Our model’s heating-rate error is less than 0.2 W m−3at 65 cm depth. The residual heat flux at shallower depths is partly attributable to non-vertical conduction or variability of k effwithin each modeled region. We failed to find evidence that windpumping causes significant heat flux below 20 cm depth; its effects on the thermal regimemay be confined to snow nearer the surface.
Acknowledgements
We thank O. Brandt, E. Waddington and B. Hallet for useful discussions, P. Mazure and R. Spain of Antarctic Support Associates for instrument deployment, D. Morse for the permeability measurements and D. Worthen and R. Boime for assistance in the field. We also thank M. Sturm. M. Albert, T. Arons and K. Cufffey for reviewing the manuscript. The research was supported by U.S. National Science Foundation grains DPP-88-18570, OPP-91-20380 and OPP-44-21096.













