Hostname: page-component-857557d7f7-qr8hc Total loading time: 0 Render date: 2025-11-22T07:54:13.130Z Has data issue: false hasContentIssue false

Response of non-premixed jet flames to blast waves

Published online by Cambridge University Press:  13 June 2025

Akhil Aravind
Affiliation:
Department of Mechanical Engineering, Indian Institute of Science, Bangalore, India
Gautham Vadlamudi
Affiliation:
Department of Mechanical Engineering, Indian Institute of Science, Bangalore, India
Saptarshi Basu*
Affiliation:
Department of Mechanical Engineering, Indian Institute of Science, Bangalore, India Interdisciplinary Centre for Energy Research, Indian Institute of Science, Bangalore, India
*
Corresponding author: Saptarshi Basu, sbasu@iisc.ac.in

Abstract

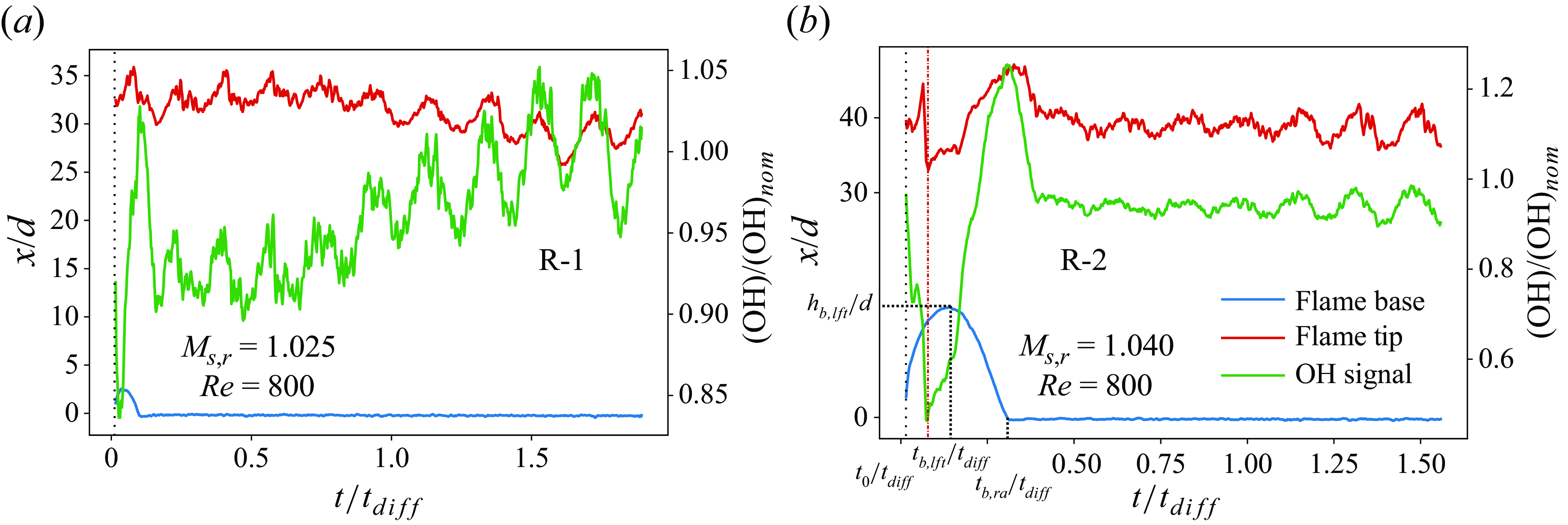
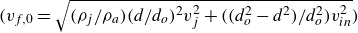
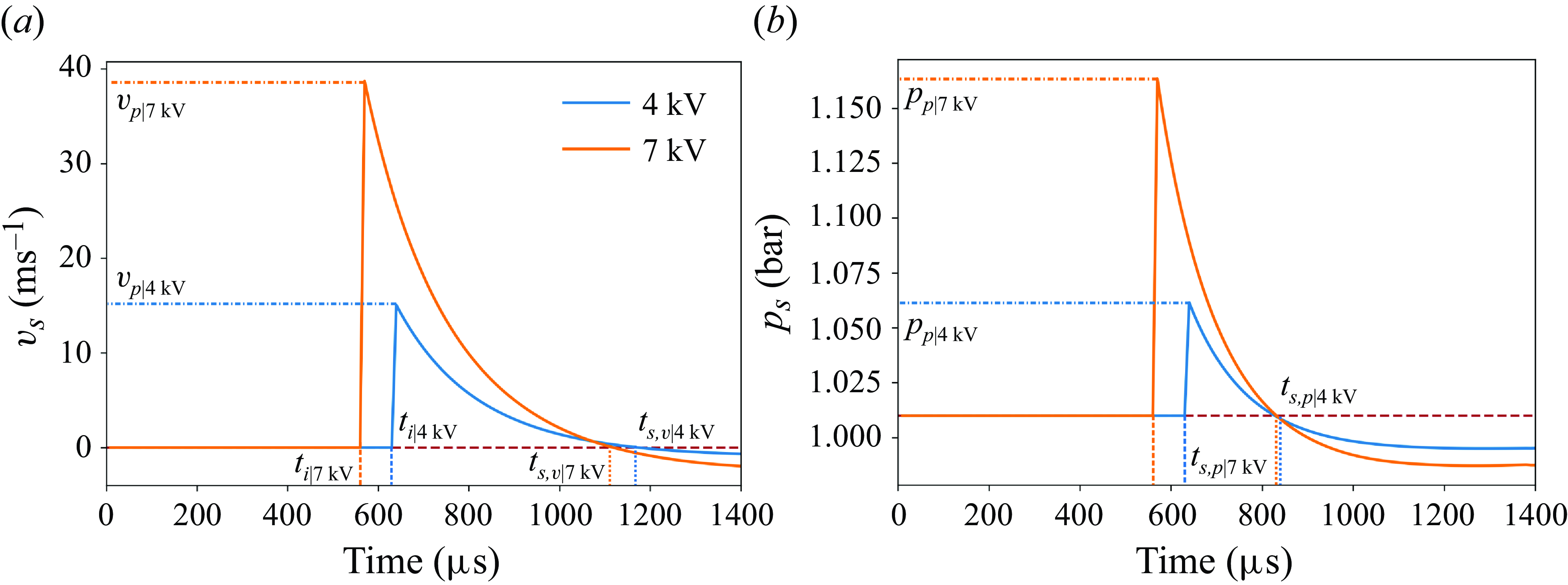
The work investigates the response dynamics of non-premixed jet flames to blast waves that are incident along the jet axis. In the present study, blast waves, generated using the wire-explosion technique, are forced to sweep across a non-premixed jet flame that is stabilised over a nozzle rim positioned at a distance of 264 mm from the source of the blast waves. The work spans a wide range of fuel-jet Reynolds numbers ($Re$; ranging from 267 to 800) and incident blast-wave Mach numbers ($M_{s,r}$; ranging from 1.025 to 1.075). The interaction imposes a characteristic flow field over the jet flame marked by a sharp discontinuity followed by a decaying profile and a delayed second spike. The second spike in the flow field profile corresponds to the induced flow that follows the blast front. While the response of the flame to the blast front was minimal, it was found to detach from the nozzle rim and lift off following the interaction with the induced flow. Subsequently, the lifted flame was found to reattach back at the nozzle or extinguish, contingent on the operating $Re$ and $M_{s,r}$. Alongside flame lift-off, flame-tip flickering was aggravated under the influence of the induced flow. A simplified theoretical model extending the vorticity transport equation was developed to estimate the change in flickering time scales and length scales owing to the interaction with the induced flow. The observed experimental trends were further compared against theoretical predictions from the model.

Information

Type
JFM Papers
Copyright
© The Author(s), 2025. Published by Cambridge University Press

Access options

Get access to the full version of this content by using one of the access options below. (Log in options will check for institutional or personal access. Content may require purchase if you do not have access.)

Article purchase

Temporarily unavailable

References

Akhmetov, D.G. 2001 Formation and basic parameters of vortex rings. J. Appl. Mech. Tech. Phys. 42 (5), 794805.10.1023/A:1017992426213CrossRefGoogle Scholar
Akhmetov, D.G., Lugovtsov, B.A. & Tarasov, V.F. 1980 Extinguishing gas and oil well fires by means of vortex rings. Combust. Explos. Shock Waves 16 (5), 490494.10.1007/BF00794922CrossRefGoogle Scholar
Aravind, A., Vadlamudi, G. & Basu, S. 2024 Response of premixed jet flames to blast waves. Combust. Flame 278, 114219.10.1016/j.combustflame.2025.114219CrossRefGoogle Scholar
Attal, N. & Ramaprabhu, P. 2015 Numerical investigation of a single-mode chemically reacting Richtmyer–Meshkov instability. Shock Waves 25 (4), 307328.10.1007/s00193-015-0571-6CrossRefGoogle Scholar
Bach, G.G. & Lee, J.H.S. 1970 An analytical solution for blast waves. AIAA J. 8 (2), 271275.10.2514/3.5655CrossRefGoogle Scholar
Batley, G.A., McIntosh, A.C. & Brindley, J. 1996 Baroclinic distortion of laminar flames. Proc. R. Soc. Lond. A: Math. Phys. Engng Sci. 452 (1945), 199221.Google Scholar
Batley, G.A., McIntosh, A.C., Brindley, J. & Falle, S.A.E.G. 1994 A numerical study of the vorticity field generated by the baroclinic effect due to the propagation of a planar pressure wave through a cylindrical premixed laminar flame. J. Fluid Mech. 279, 217237.10.1017/S0022112094003897CrossRefGoogle Scholar
Buckmaster, J. 2002 Edge-flames. Prog. Energy Combust. Sci. 28 (5), 435475.10.1016/S0360-1285(02)00008-4CrossRefGoogle Scholar
Cetegen, B.M. & Ahmed, T.A. 1993 Experiments on the periodic instability of buoyant plumes and pool fires. Combust. Flame 93 (1), 157184.10.1016/0010-2180(93)90090-PCrossRefGoogle Scholar
Chan, J., Giannuzzi, P., Kabir, K., Hargather, M. & Doig, G. 2016 Interactions of Shock Tube Exhaust Flows with Laminar and Turbulent Flames. California Polytechnic State University.10.2514/6.2016-1588CrossRefGoogle Scholar
Chandra, N.K., Sharma, S., Basu, S. & Kumar, A. 2023 Shock-induced aerobreakup of a polymeric droplet. J. Fluid Mech. 965, A1.10.1017/jfm.2023.377CrossRefGoogle Scholar
Chiu, K.W., Lee, J.H. & Knystautas, R. 1977 The blast waves from asymmetrical explosions. J. Fluid Mech. 82 (1), 193208.10.1017/S0022112077000603CrossRefGoogle Scholar
Didden, N. 1979 On the formation of vortex rings: rolling-up and production of circulation. Z. Angew. Math. Phys. 30 (1), 101116.10.1007/BF01597484CrossRefGoogle Scholar
Dobashi, R., Hirano, T. & Tsuruda, T. 1994 Flame front disturbance induced by a weak pressure wave. Symp. Combust. 25 (1), 14151422.10.1016/S0082-0784(06)80785-XCrossRefGoogle Scholar
Gülder, Ö.L. 1984 Correlations of laminar combustion data for alternative S.I. Engine fuels. SAE Technical Paper 841000. SAE International.10.4271/841000CrossRefGoogle Scholar
Jones, S.A.S. & Thomas, G.O. 1991 Pressure hot-wire and laser doppler anemometer studies of flame acceleration in long tubes. Combust. Flame 87 (1), 2132.10.1016/0010-2180(91)90024-6CrossRefGoogle Scholar
La Flèche, M. 2018 Dynamics of blast wave and cellular H2-air flame interaction in a Hele-Shaw cell, PhD thesis, Université d’Ottawa / University of Ottawa, Canada.Google Scholar
Langenberg, S., Carstens, T., Hupperich, D., Schweighoefer, S. & Schurath, U. 2020 Technical note: Determination of binary gas-phase diffusion coefficients of unstable and adsorbing atmospheric trace gases at low temperature - arrested flow and twin tube method. Atmos. Chem. Phys. 20 (6), 36693682.10.5194/acp-20-3669-2020CrossRefGoogle Scholar
Li, D., Liu, Y.C. & Wang, S. 2022 Stabilization mechanism of burner-attached flames in laminar non-premixed jets. Combust. Sci. Technol. 194 (14), 29572977.10.1080/00102202.2021.1901693CrossRefGoogle Scholar
Markstein, G.H. 1957 A shock-tube study of flame front-pressure wave interaction. Symp. Combust. 6 (1), 387398.10.1016/S0082-0784(57)80054-XCrossRefGoogle Scholar
Nikitin, V.F., Dushin, V.R., Phylippov, Y.G. & Legros, J.C. 2009 Pulse detonation engines: technical approaches. Acta Astronaut. 64 (2), 281287.10.1016/j.actaastro.2008.08.002CrossRefGoogle Scholar
Oshima, K. 1962 Blast waves produced by exploding wires. In Exploding Wires, (ed. Chace, W.G. & Moore, H.K.), pp. 159174. Springer US.10.1007/978-1-4684-7505-0_13CrossRefGoogle Scholar
Pandey, K., Basu, S., Krishan, B. & Gautham, V. 2021 Dynamic self-tuning, flickering and shedding in buoyant droplet diffusion flames under acoustic excitation. Proc. Combust. Inst. 38 (2), 31413149.10.1016/j.proci.2020.06.203CrossRefGoogle Scholar
Scarinci, T., 1993 Amplification of a pressure wave by its passage through a flame front. Prog. Astronaut. Aeronaut. 152, 324.Google Scholar
Schlichting, H. 1933 Laminare Strahlausbreitung. Z. Angew. Math. Mech. 13 (4), 260263.10.1002/zamm.19330130403CrossRefGoogle Scholar
Sharma, S., Chandra, N.K., Kumar, A. & Basu, S. 2023 Shock-induced atomisation of a liquid metal droplet. J. Fluid Mech. 972, A7.10.1017/jfm.2023.705CrossRefGoogle Scholar
Sharma, S., Pratap Singh, A., Srinivas Rao, S., Kumar, A. & Basu, S. 2021 Shock induced aerobreakup of a droplet. J. Fluid Mech. 929, A27.10.1017/jfm.2021.860CrossRefGoogle Scholar
Taneda, S. 1956 Experimental investigation of the wake behind a sphere at low Reynolds numbers. J. Phys. Soc. Japan 11 (10), 11041108.10.1143/JPSJ.11.1104CrossRefGoogle Scholar
Thirumalaikumaran, S.K., Vadlamudi, G. & Basu, S. 2022 Insight into flickering/shedding in buoyant droplet-diffusion flame during interaction with vortex. Combust. Flame 240, 112002.10.1016/j.combustflame.2022.112002CrossRefGoogle Scholar
Thomas, G., Bambrey, R. & Brown, C. 2001 Experimental observations of flame acceleration and transition to detonation following shock-flame interaction. Combust. Theor. Model. 5 (4), 573594.10.1088/1364-7830/5/4/304CrossRefGoogle Scholar
Vadlamudi, G., Aravind, A. & Basu, S. 2023 Insights into the flame transitions and flame stabilization mechanisms in a freely falling burning droplet encountering a co-flow. J. Fluid Mech. 977, A29.10.1017/jfm.2023.949CrossRefGoogle Scholar
Vadlamudi, G., Aravind, A., Rao, S.J. & Basu, S. 2024 Insights into spatio-temporal dynamics during shock – droplet flame interaction. J. Fluid Mech. 999, A22.10.1017/jfm.2024.575CrossRefGoogle Scholar
Villermaux, E. & Rehab, H. 2000 Mixing in coaxial jets. J. Fluid Mech. 425, 161185.10.1017/S002211200000210XCrossRefGoogle Scholar
Xia, X. & Zhang, P. 2018 A vortex-dynamical scaling theory for flickering buoyant diffusion flames. J. Fluid Mech. 855, 11561169.10.1017/jfm.2018.707CrossRefGoogle Scholar
Yoshida, Y. & Torikai, H. 2024 Blowoff mechanism of airburst blast extinguishment of a methane air jet diffusion flame with micro explosive. Fire Safety J. 142, 103983.10.1016/j.firesaf.2023.103983CrossRefGoogle Scholar
Supplementary material: File

Aravind et al. supplementary material movie 1

Reattachment-1 regime at Re = 800, Ms,r = 1.025
Download Aravind et al. supplementary material movie 1(File)
File 526.9 KB
Supplementary material: File

Aravind et al. supplementary material movie 2

Reattachment-2 regime at Re = 800, Ms,r = 1.060
Download Aravind et al. supplementary material movie 2(File)
File 598.1 KB
Supplementary material: File

Aravind et al. supplementary material movie 3

Extinction-1 regime at Re = 534, Ms,r = 1.060
Download Aravind et al. supplementary material movie 3(File)
File 550 KB
Supplementary material: File

Aravind et al. supplementary material movie 4

Extinction-2 regime at Re = 534, Ms,r = 1.075
Download Aravind et al. supplementary material movie 4(File)
File 542.3 KB
Supplementary material: File

Aravind et al. supplementary material 5

Aravind et al. supplementary material
Download Aravind et al. supplementary material 5(File)
File 2.1 MB
Supplementary material: File

Aravind et al. supplementary material 6

Aravind et al. supplementary material
Download Aravind et al. supplementary material 6(File)
File 772 KB