No CrossRef data available.
Published online by Cambridge University Press: 26 March 2025

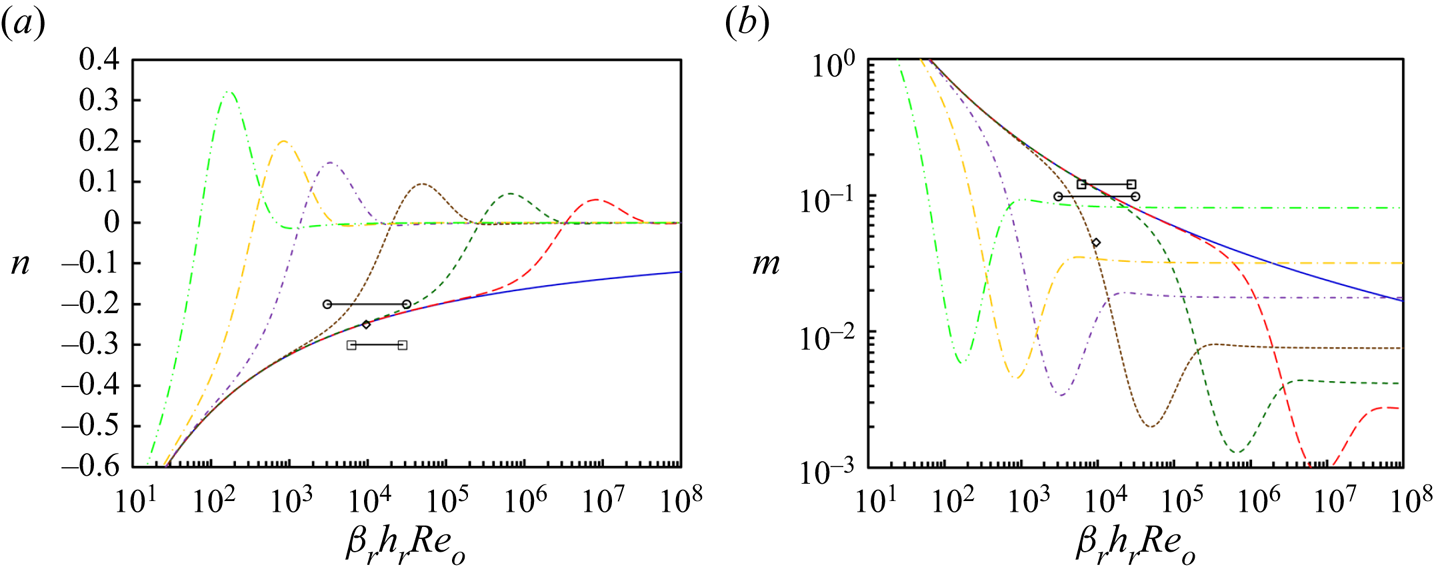
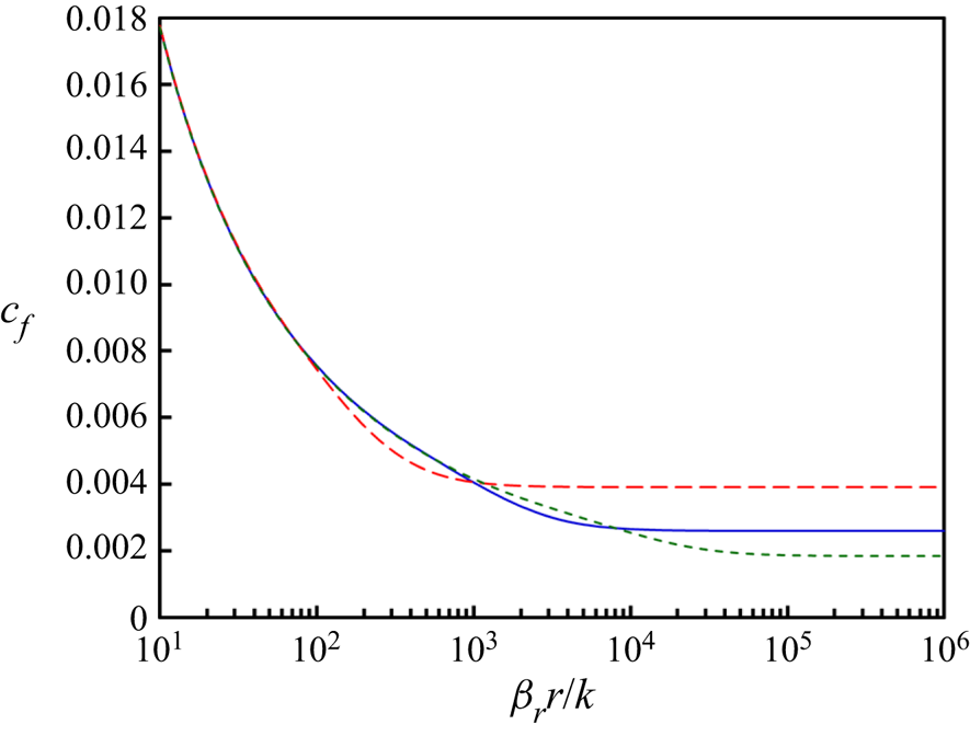
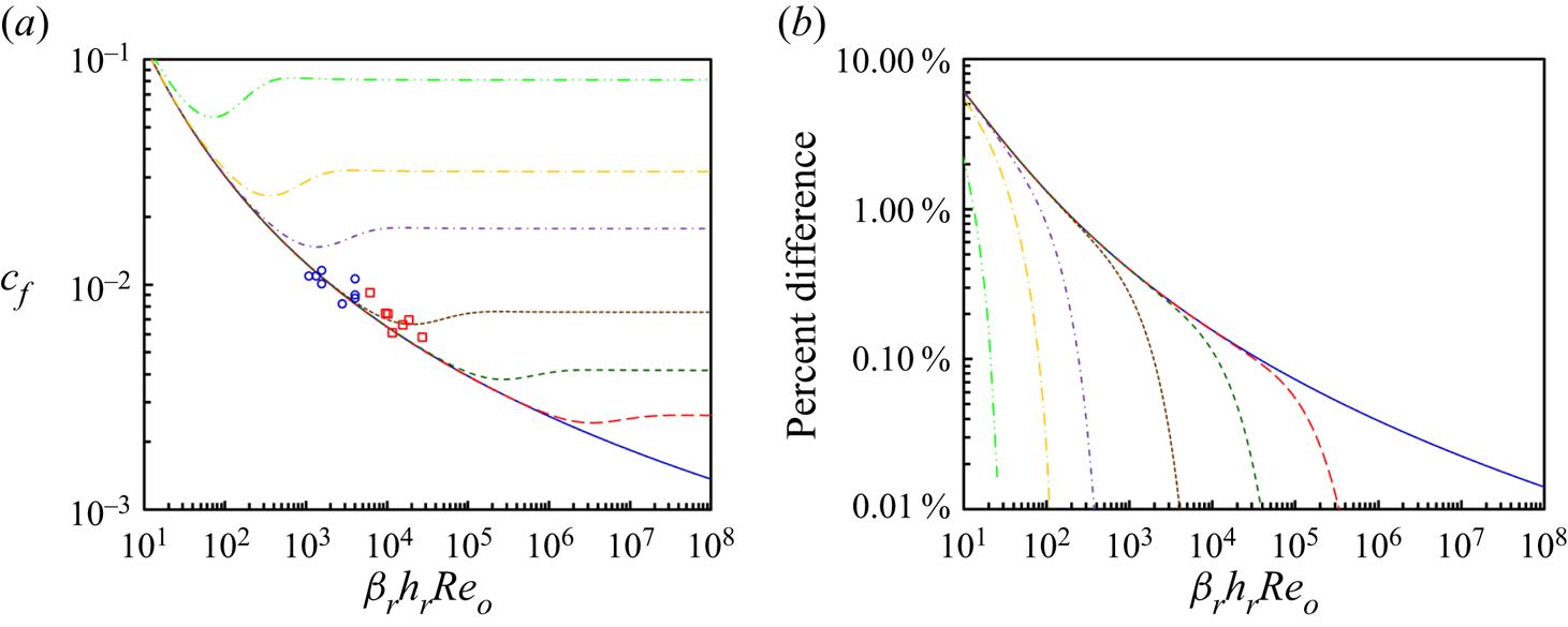
Here we evaluate the skin coefficient of friction for steady turbulent radial wall jets across smooth and rough surfaces. Although the Colebrook equation has been used successfully for many decades to evaluate friction factors for flows through smooth and rough pipes, how roughness affects the skin friction coefficient for steady turbulent radial wall jets remains unclear. Here we explore a Colebrook-type equation for skin friction coefficients associated with single-phase turbulent radial wall jets arising from orthogonally impinging circular jets. The fully iterative solution, based on well-established concepts of turbulent wall-bounded flow, is presented along with a power-law approximation and a non-iterative approximation for the friction coefficient derived therefrom. We find the skin coefficient of friction defined on the peak radial velocity to be a function of position over rough but not smooth surfaces in contrast to pipe friction factors that remain independent of axial position. These results follow expected trends, explain prior heterogeneity in power-law expressions for the skin friction coefficient and have significant implications for the industrial use of jets in mixing vessels.