An error was made for the drag term in the simulations reported in Chan, Ng & Krug (Reference Chan, Ng and Krug2023), where instead of
$f_i = 1 + 0.169Re_i^{2/3}$
as stated in the article,
$f_i = 1.169$
was used. This error predominantly affects bubbles, as indicated by figure 1, which plots the mean drag correction against the Stokes number. We reassess the effect of nonlinear drag by showing the corrected version of figures 14 and 15 as figures C14 and C15 (where the prefix ‘C’ denotes the corrected version). Linear drag (
$f_i = 1$
) increases the collision kernels of bubble–particle (bp) and bubble–bubble (bb) collisions by enhancing the effective radial bp collision velocity
$S_-^{bp}$
, and increasing
$g_{bb}(r_c)$
and
$S_-^{bb}$
, respectively. Therefore, the original statement that ‘the results remain largely unchanged for the
$f_i = 1$
case’ (page 20) holds only for particle–particle (pp) collisions but not for bb and bp collisions. Instead, this should be replaced by ‘Taking
$f_i = 1$
, in contrast, changes the results involving bubbles significantly. The bb collision kernel
$\Gamma _{bb}$
increases over the whole range of
$St$
tested because of stronger clustering and a larger effective radial bb collision velocity
$S_-^{bb}$
. In contrast, the bp collision kernel
$\Gamma _{bp}$
increases only for
$St \gt 1$
due to an enhanced
$S_-^{bp}$
, whereas for
$St \leq 1$
the change in
$\Gamma _{bp}$
is minimal as the increase in
$S_-^{bp}$
is compensated by stronger segregation.’ Furthermore, nonlinear drag is not negligible for simulations and modelling approaches, in contrast to the original sentence at the end of § 4.3.

Figure 1. The mean drag correction as a function of the Stokes number. The dashed line shows
$f_i = 1.169$
as used in the original simulations.

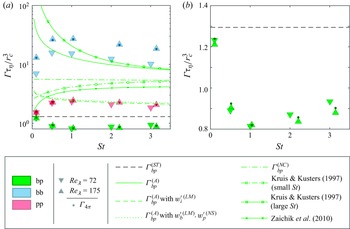
Figure C14.

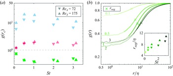
Figure C15.
In light of this finding, we revisit the other figures shown in the article. While the quantitative results are changed slightly, the main qualitative conclusions drawn from the figures are the same. Below are the corrected version of figures 2, 3, 5–9, 10(a–b), and 11–13.

Figure C2.

Figure C3.

Figure C5.

Figure C6.

Figure C7.

Figure C8.

Figure C9.

Figure C10.

Figure C11.

Figure C12.

Figure C13.