Introduction
There is a growing body of literature on the phonetic and phonological production abilities of young bilingual children (Bunta & Ingram, Reference Bunta and Ingram2007; Fabiano-Smith & Goldstein, Reference Fabiano-Smith and Goldstein2010a, Reference Fabiano-Smith and Goldstein2010b; Goldstein & Bunta, Reference Goldstein and Bunta2012; Lleó, Reference Lléo2002). The bulk of this literature shows that bilingual children do not differ greatly from monolingual children in terms of global phonological ability (Fabiano-Smith & Goldstein, Reference Fabiano-Smith and Goldstein2010b; Hambly, Wren, McLeod, & Roulstone, Reference Hambly, Wren, McLeod and Roulstone2013); however, they may differ significantly from monolingual children in specific linguistic areas such as Voice Onset Time (VOT) (Deuchar & Clark, Reference Deuchar and Clark1996; Fabiano-Smith & Bunta, Reference Fabiano-Smith and Bunta2012; Kehoe, Lleó, & Rakow, Reference Kehoe, Lleó and Rakow2004), syllable structure (Almeida, Rose, & Freitas, Reference Almeida, Rose, Freitas, Biller, Chung and Kimball2012; Keffala, Barlow, & Rose, Reference Keffala, Barlow and Rose2018; Lleó, Kuchenbrandt, Kehoe, & Trujillo, Reference Lleó, Kuchenbrandt, Kehoe, Trujillo and Müller2003; Tamburelli, Sanoudaki, Jones, & Sowinska, Reference Tamburelli, Sanoudaki, Jones and Sowinska2015), and rhythm (Bunta & Ingram, Reference Bunta and Ingram2007; Kehoe, Lleó, & Rakow, Reference Kehoe, Lleó and Rakow2011; Mok, Reference Mok2011, Reference Mok2013). The presence of systematic differences between the speech of monolingual and bilingual children suggests that there is interaction between the two linguistic systems of the bilingual, a phenomenon referred to as cross-linguistic interaction. Three potential manifestations of cross-linguistic interaction have been described in the literature: acceleration, delay, and transfer (Paradis & Genesee, Reference Paradis and Genesee1996).
While many studies have documented clear evidence of cross-linguistic interaction (Keffala et al., Reference Keffala, Barlow and Rose2018; Lleó et al., Reference Lleó, Kuchenbrandt, Kehoe, Trujillo and Müller2003; Tamburelli et al., Reference Tamburelli, Sanoudaki, Jones and Sowinska2015), other studies have found less clear evidence (Paradis & Genesee, Reference Paradis and Genesee1996) or have reported varied findings (Kehoe, Reference Kehoe, Babatsouli and Ingram2015a). For example, in the area of coda consonant development, some studies show that bilingual children acquire codas faster than monolinguals in the language with the more limited range of codas (Keffala et al., Reference Keffala, Barlow and Rose2018; Lleó et al., Reference Lleó, Kuchenbrandt, Kehoe, Trujillo and Müller2003), whereas other studies show that they acquire codas slower than monolinguals in the language with the more extensive range of codas (Almeida et al., Reference Almeida, Rose, Freitas, Biller, Chung and Kimball2012; Gildersleeve-Neumann, Kester, Davis, & Peña, Reference Gildersleeve-Neumann, Kester, Davis and Peña2008). Yet, other studies indicate no differences in coda development in either language of the bilingual in comparison to monolinguals (Ezeizabarrena & Alegria, Reference Ezeizabarrena, Alegria, Judy and Perpiñán2015). The range of outcomes in bilingual speech production makes it difficult to model cross-linguistic interaction, an ultimate goal of this field of research (Lleó & Cortés, Reference Lleó and Cortés2013).
One factor that may contribute to the variable findings is the small sample sizes of many of the studies (Core & Scarpelli, Reference Core and Scarpelli2015; Kehoe, Reference Kehoe, Babatsouli and Ingram2015a). Hambly et al. (Reference Hambly, Wren, McLeod and Roulstone2013) underscore the fact that single or multiple case studies (29 out of the 66 studies reviewed) predominate in this field. Case studies increase the risk that effects interpreted as cross-linguistic interaction are due to individual differences. Another limitation of previous studies is that they concentrate either on language-internal factors, namely the linguistic properties of the bilingual's languages (Kehoe, Reference Kehoe2002; Lleó et al., Reference Lleó, Kuchenbrandt, Kehoe, Trujillo and Müller2003), or on language-external factors, such as language input or experience (Goldstein, Fabiano, & Washington, Reference Goldstein, Fabiano and Washington2005), without integrating the two sets of variables within a single study. Many times, children's lexical abilities, which are known to correlate with phonological abilities, have not been taken into consideration (Core & Scarpelli, Reference Core and Scarpelli2015; Kehoe, Reference Kehoe, Babatsouli and Ingram2015a). To our knowledge, only one study, led by Sorenson Duncan and Paradis (Reference Sorenson Duncan and Paradis2016), has included all three sets of factors together and examined their influence on the non-word repetition accuracy of bilingual children, aged 5;8 (see later discussion). We intend to advance this study in several ways. First, we consider younger age ranges to gain insight into the early stages of phonological acquisition. Second, we consider spontaneous and imitated productions of real words. The use of spontaneous speech should allow us to control for possible confounds resulting from immediate perceptual experience and may give us a more accurate estimation of children's early phonological capacities.
In sum, this study takes an integrative perspective by examining the influence of language-internal, language-external, and lexical factors on the phonetic–phonological development of monolingual and bilingual children. The inclusion of these factors should better allow us to explore the nature of cross-linguistic interaction and the factors which influence it. Our sample consists of French-speaking monolingual and bilinguals, a group that has not been extensively studied in early bilingual research. In this study, bilinguals are exposed to two or more languages before the age of 2;6 and have differing first languages (L1s). L1 refers to the language spoken at home which is other than French. In the remainder of this ‘Introduction’, we describe what we know about monolingual–bilingual differences in phonological production and discuss the influence of language-internal, language-external, and lexical factors on the phonetic–phonological production skills of young bilinguals.
Monolingual–bilingual differences in phonological production
Studies which have compared monolingual and bilingual children on global measures of phonological acquisition, such as percentage consonants correct (PCC), percent vowels correct (PVC), whole-word proximity, and size of the phonetic inventory do not find strong evidence that the speech of bilinguals differs from that of monolinguals. Bilinguals may do better than monolinguals (Goldstein & Bunta, Reference Goldstein and Bunta2012; Grech & Dodd, Reference Grech and Dodd2008; Johnson & Lancaster, Reference Johnson and Lancaster1998), less well than monolinguals (Gildersleeve-Neumann et al., Reference Gildersleeve-Neumann, Kester, Davis and Peña2008; Law & So, Reference Law and So2006), or behave similarly to monolinguals (Goldstein et al., Reference Goldstein, Fabiano and Washington2005; MacLeod, Laukys, & Rvachew, Reference MacLeod, Laukys and Rvachew2011a). The failure to find consistent monolingual–bilingual differences on global measures such as PCC or PVC does not mean, however, that cross-linguistic interaction does not take place. A general measure such as PCC may not be sensitive to systematic effects occurring in certain classes of phoneme or syllable types due to a cancelling out effect. For example, cross-linguistic interaction may manifest as acceleration in the acquisition of codas but delay in the acquisition of word-initial clusters, depending on the phonological properties of the two languages under consideration (Almeida et al., Reference Almeida, Rose, Freitas, Biller, Chung and Kimball2012). If these two types of cross-linguistic interaction occur together, monolingual and bilingual children may end up having similar PCCs but different coda and cluster scores. In this study, we include global measures of PCC and PVC, in order to determine whether bilinguals differ from monolinguals as a group, as well as include specific phonological measures in order to determine whether there is evidence of cross-linguistic interaction.
Factors accounting for phonological performance in monolingual and bilingual children
Language-internal factors
To understand cross-linguistic interactions, we consider two principal language-internal effects: frequency and complexity. Frequency refers to the low or high presence of a segment or phonological structure as determined by phoneme- or syllable-type counts. Frequency differences are evident, for example, when comparing syllable structure in German versus Spanish. German has a higher proportion of closed syllables than Spanish (67% vs. 27% closed syllables; Meinhold & Stock, Reference Meinhold and Stock1980). Lleó et al. (Reference Lleó, Kuchenbrandt, Kehoe, Trujillo and Müller2003) hypothesize that the high frequency of codas in German explains the accelerated production of codas in the Spanish of their bilingual German–Spanish children. The bilingual children produced more codas in Spanish than Spanish monolingual children due to the influence of German.
Complexity refers to typological markedness (Gierut, Reference Gierut2001). A phonetic/phonological property that contains more elements (e.g., features) and more structure (e.g., presence of complex onsets) is more complex than a phonetic/phonological property that contains fewer elements and less structure. Complexity differences can be seen when comparing /s/ + obstruent clusters in Polish and English. Both Polish and English have clusters with small sonority differences (e.g., /sp/), but only Polish has clusters containing sonority plateaus (e.g., /pt/) in word-initial position. Tamburelli et al. (Reference Tamburelli, Sanoudaki, Jones and Sowinska2015) found accelerated production of /s/ + obstruent clusters in the English of Polish–English bilinguals in comparison to English monolinguals, consistent with a facilitative effect of complexity from Polish to English. Complexity effects have also been documented recently in the production of codas in a non-word repetition task by English language learners (Sorenson Duncan & Paradis, Reference Sorenson Duncan and Paradis2016). Children acquiring a high-complexity (Hindi, Punjabi, or Urdu) coda language were more accurate in their production of coda consonants than children acquiring a low-complexity (Cantonese or Mandarin) coda language.
One problem when making claims about cross-linguistic interaction on the basis of language-internal factors is that it is not always possible to separate out the independent effects of frequency and complexity. For example, codas in German are more frequent than in Spanish, but they are also more complex. Keffala et al. (Reference Keffala, Barlow and Rose2018) conclude that their findings on coda acceleration in English–Spanish bilingual children may well be due to the effects of complexity rather than frequency. In the current study, we attempt to distinguish between the effects of frequency and complexity in the analysis of codas by coding languages in terms of whether they have high versus low frequency and high- versus low-complexity codas and by analyzing these two factors separately.
Language-external factors
Quantity of language exposure
Language-external factors may also influence bilingual speech production. The main language-external factor that has been studied in research on young bilinguals is quantity of language input. In many studies, this factor has been analyzed in terms of the single notion of language dominance. The language that the child hears and uses the most frequently is typically his dominant language. Many studies show that the dominant language of a bilingual is associated with faster phonological acquisition (Ball, Müller, & Munro, Reference Ball, Müller and Munro2001; Law & So, Reference Law and So2006; Mayr, Howells, & Lewis, Reference Mayr, Howells and Lewis2015). Other studies have not found dominance to be useful in accounting for results (Rose & Champdoizeau, Reference Rose, Champdoizeau, Gavarro and Frietas2007). For example, Almeida et al. (Reference Almeida, Rose, Freitas, Biller, Chung and Kimball2012) observed an influence of French on Portuguese in the development of word-initial clusters and an influence of Portuguese on French in the development of codas. Both effects occurred during the same developmental period, making it impossible to consider dominance as the source of both patterns.
More differentiated measures of language dominance, such as parent-reported estimates of language experience (frequency of language input, frequency of language output, and language proficiency) have been included in several studies of bilingual phonology (Goldstein, Bunta, Lange, Rodriguez, & Burrows, Reference Goldstein, Bunta, Lange, Rodriguez and Burrows2010; Goldstein et al., Reference Goldstein, Fabiano and Washington2005). Using such measures, Goldstein et al. (Reference Goldstein, Fabiano and Washington2005, Reference Goldstein, Bunta, Lange, Rodriguez and Burrows2010) did not find that frequency of language output was correlated with bilingual children's phonological performance, but that parent estimates of language use and proficiency could explain some of the findings in segmental accuracy. Morrow, Goldstein, Gilhool, and Paradis (Reference Morrow, Goldstein, Gilhool and Paradis2014) looked at the effects of age of arrival and language exposure on the phonological skills of consecutive bilinguals who were exposed to English after the age of three years. Results showed that children who had longer exposure to English and who were exposed to English at a younger age exhibited superior phonological abilities. This finding is consistent with a multitude of studies in second-language (L2) phonology which show the positive effects of age of acquisition and length of exposure on phonological performance (Flege, Yeni-Komshian, & Liu, Reference Flege, Yeni-Komshian and Liu1999; Thornburgh & Ryalls, Reference Thornburgh and Ryalls1998).
In sum, quantity of language input, expressed either as language dominance or in terms of percent language output or use, explains some findings in bilingual phonology, although the findings to date have been relatively weak in young bilinguals. In older bilingual children and in adults the effects are stronger and have been well documented.
Socioeconomic status
An external factor that may influence language development is socioeconomic status (SES). Typically, children from a low-SES background have lower levels of receptive and expressive language than children from high-SES backgrounds (Calvo & Bialystok, Reference Calvo and Bialystok2014; Hart & Risley, Reference Hart and Risley1995; Hoff-Ginsberg, Reference Hoff-Ginsberg1998). In the area of phonological production, the findings are equivocal (McLeod, Reference McLeod, Bernthal, Bankson and Flipsen2009). Some studies have not found SES to affect speech sound development (Dodd, Holm, Hua, & Crosbie, Reference Dodd, Holm, Hua and Crosbie2003; Smit, Hand, Freilinger, Bernthal, & Bird, Reference Smit, Hand, Freilinger, Bernthal and Bird1990), whereas other studies have found that children from higher SES backgrounds have better articulation abilities than children from lower SES backgrounds (Campbell et al., Reference Campbell, Dollaghan, Rockette, Paradise, Feldman, Shriberg, Sabo and Kurs-Lasky2003; Templin, Reference Templin1957). Since the monolingual and bilingual children come from diverse SES levels, we include SES as a language-external factor in the study.
Gender
As in the case of SES, there are a range of differing outcomes on the influence of gender on speech sound production. If a gender difference is reported, girls are found to make fewer speech sound errors than boys (McLeod, Reference McLeod, Bernthal, Bankson and Flipsen2009). Studies which have reported significant gender differences include Kenney and Prather (Reference Kenney and Prather1986), who found that boys make more errors than girls at 3;0 to 5;0, and Smit et al. (Reference Smit, Hand, Freilinger, Bernthal and Bird1990), who reported different consonant acquisition rates for boys versus girls at 4;0 to 6;0.
The influence of the lexicon
Studies in monolingual acquisition document a clear relationship between number of words in a child's productive lexicon and phonological ability (Bortolini & Leonard, Reference Bortolini and Leonard2000; Kehoe, Chaplin, Mudry, & Friend, Reference Kehoe, Chaplin, Mudry and Friend2015; Paul & Jennings, Reference Paul and Jennings1992; Petinou & Okalidou, Reference Petinou and Okalidou2006). To date, the relationship between phonology and the lexicon has not been extensively studied in bilingual children, with some exceptions (Kehoe, Reference Kehoe2011, Reference Kehoe2015b; Scarpino, Reference Scarpino2011; Vihman, Reference Vihman2002, Reference Vihman2016). Scarpino (Reference Scarpino2011) examined which factors were the best predictors of phonological production in a large group of Spanish–English children (n = 199), aged 3;0 to 6;4. She found that language-specific vocabulary scores were highly predictive of phonological proficiency in both the English and Spanish of the bilingual children. Scarpino did not look at the children's vocabulary across the two languages, but it is possible that a combined vocabulary score is more predictive of a bilingual child's phonological ability in each language than a language-specific one.
The influence of phonetic/phonological maturation
Finally, we mention another factor which may play a role in bilingual phonology, namely the influence of phonetic and phonological maturation. Developmental effects may come into play when we compare different phonological structures. Vowels are generally acquired before consonants, and, among consonants, plosives and nasals are acquired before fricatives and liquids (McLeod, Reference McLeod, Bernthal, Bankson and Flipsen2009). In the area of syllable structure, simple codas are acquired before complex onsets and codas (Levelt, Schiller, & Levelt, Reference Levelt, Schiller and Levelt1999/2000). The different developmental timeline of segments and phonological structures may reflect many factors, including perceptual salience and articulatory control. The timeline is also relevant to cross-linguistic interaction. Early acquired structures may be produced easily by monolinguals and bilinguals alike and may not be susceptible to cross-linguistic interaction. Later acquired structures may pose difficulty for monolinguals and bilinguals alike and also not be ideal for testing cross-linguistic interaction. Depending upon the age tested, only certain phonological structures may be sensitive to cross-linguistic interaction. We will keep the influence of phonetic/phonological maturation in mind when conducting analyses across global and specific phonological measures which tap both early (e.g., vowels) and late acquired structures (e.g., word-initial clusters and palatal fricatives).
The current study: predictions
The current study examines the influence of language-internal, language-external, and lexical factors on the phonological abilities of bilingual children.
Predictions based on language-internal factors
In our investigation of language-internal factors, we concentrate on three phonological properties: word-final codas, obstruent-liquid (OL) word-initial clusters, and (alveo-)palatal fricatives (/ʃ, ʒ/) (henceforth referred to as palatal fricatives). Whereas several studies have focused on cross-linguistic interaction in the areas of coda consonants (Keffala et al., Reference Keffala, Barlow and Rose2018; Lleó et al., Reference Lleó, Kuchenbrandt, Kehoe, Trujillo and Müller2003) and word-initial clusters (Almeida et al., Reference Almeida, Rose, Freitas, Biller, Chung and Kimball2012; Keffala et al., Reference Keffala, Barlow and Rose2018), we do not know of any study that has examined the acquisition of palatal fricatives. We consider it of interest since they pose particular difficulty for French-speaking monolingual children (Aicart-De Falco & Vion, Reference Aicart-De Falco and Vion1987; Macleod, Sutton, Trudeau, & Thordardottir, Reference MacLeod, Sutton, Trudeau and Thordardottir2011b). We are interested in knowing whether bilingual children acquire palatal fricatives faster in French due to the influence of speaking a language with a richer inventory of palatal fricatives.
The general premise behind our predictions of cross-linguistic interaction is that a structure which has a higher frequency or complexity in the L1 compared to the L2 should facilitate acquisition in the L2; a structure which has a lower frequency or complexity in the L1 compared to the L2 should inhibit acquisition in the L2; and a structure which is comparable in frequency and complexity in the L1 and L2 should lead to no change in the L2. Facilitation effects result in acceleration, which we define as significantly higher correct performance for a target structure in the bilinguals’ L2 in comparison to monolinguals. Inhibition effects lead to delay, which we define as significantly lower correct performance for a target structure in the bilinguals’ L2 in comparison to monolinguals.
One problem with making predictions on cross-linguistic interaction is that there is no comprehensive index of the segmental and syllable structure characteristics of the world's languages.Footnote 1 In the absence of this, we have categorized languages into two or three groups by pooling information from multiple sources. In the following, we discuss the sources of information that have led to these groupings and the predictions of cross-linguistic interaction based on these groupings. The L1s of the bilingual children in this study are Spanish, Italian, Portuguese, Romanian, English, (Swiss) German, Polish, Turkish, Armenian, Arabic, and Cantonese. We did not use L1 as an inclusionary criterion; hence this set of languages reflects the L1s of bilinguals whose parents agreed to take part in the study. It also reflects the nature of bilingualism in Geneva, the city in which the children were tested, which is characterized by a majority who speak Romance languages (Spanish, Italian, and Portuguese) and a minority who speak other languages, such as Arabic, Polish, and English (OCSTAT, 2017). Please note that the grouping of languages, apart from being based on phonological factors, was also based on pragmatic concerns such as avoiding small group sizes. Small group sizes were unavoidable at times, however, due to the small numbers of bilingual children and the constellation of languages in the study.
Word-final codas
Frequency and complexity information on word-final codas in the L1s of the bilingual children can be found in ‘Supplementary Material A’ (available at < https://doi.org/10.1017/S0305000918000478>). It lists the frequency of word-final codas (column 2),Footnote 2 the place-of-articulation (PoA) of word-final codas (labial, coronal, dorsal) (column 3), the presence of complex codas (yes, no, or restricted) (column 4), and comparative references as to whether word-final codas are more complex in one language versus another (column 5). We group languages into two sets of groupings: one based on frequency and the other based on complexity criteria.
The information provided in ‘Supplementary Material A’ indicates that Spanish, Italian, Portuguese, Romanian, Cantonese, and Polish are languages in which word-final codas are infrequent. The frequency of word-final codas is less than 33%. We refer to them as low-frequency coda languages. English, (Swiss) German, Turkish, and Armenian are languages in which word-final codas are frequent. The frequency of word-final codas in these languages is in excess of 60%. Analyses of syllable type frequencies in Arabic dialects indicate that Arabic has a status in between the Germanic and Indo-European languages on the one hand and the Romance languages on the other. The percentage of closed syllables ranges from 45% to 50% (Hamdi, Ghazali, & Barkat-Defradas, Reference Hamdi, Ghazali and Barkat-Defradas2005). In order to avoid forming a category with only one language, we group Arabic with languages containing high-frequency codas.
In terms of complexity, we group Spanish, Italian, and Portuguese together as languages containing low complexity (i.e., segmentally restricted) codas (Marotta, Reference Marotta, Ledgeway and Maiden2016). All other languages (i.e., Romanian, English, Swiss German, Polish, Turkish, Armenian, Arabic, and Cantonese) were considered as languages with high-complexity codas since they could contain word-final codas with different places of articulation and could contain complex codas. Cantonese has some restrictions on codas, allowing only stops and nasals and no complex codas. Thus it falls in between the low- and high-complexity groups. However, to avoid forming a grouping with a single language, we have placed it with the high-complexity group.
Codas in French are of low frequency (Delattre & Olsen, Reference Delattre and Olsen1969). French differs, however, from languages with low percentages of codas, such as Spanish and Italian, by having no restrictions on coda position. Word-final codas may be labial, coronal, or dorsal. They may also be complex. In terms of the groupings based on frequency, we predict that there may be acceleration of codas in French if the bilingual's other language contains high-frequency codas. We predict no change in coda production in French if the bilingual's other language contains low-frequency codas. In terms of our groupings based on complexity, we predict delay in coda production if the bilingual's L1 belongs to a low-complexity language. The predictions are less clear for the high-complexity group since some of the languages in this group may have a similar degree of complexity to French (e.g., Romanian); others may be even more complex (e.g., Polish and German). Thus, we predict either no change or some acceleration in coda production.
However, we wish to point out that our attempts to tease out frequency and complexity are imperfect. There is an inherent problem in our groupings in that there were no languages in this study (and possibly no languages in the world) which have high-frequency but low-complexity codas. Thus, our high-frequency group contains only languages with high-complexity codas, whereas our low-frequency group contains languages with both high- and low-complexity codas. Our high-complexity group contains languages with low- and high-frequency codas, whereas our low-complexity group contains languages with low-frequency codas only. In essence the clearest differences should be obtained with the high-frequency group and the low-complexity group. Children belonging to the high-frequency group should show clear acceleration and children in the low-complexity group should show clear delay.
Our predictions are also based on the assumption that word-final consonants are codas. Not all phonological theories adopt this position, however. Some linguists argue that word-final consonants are onsets of empty-headed syllables (Kaye, Reference Kaye1990, Kaye, Lowenstamm, & Vergnaud, Reference Kaye, Lowenstamm and Vergnaud1990). We do not adhere to this position in this study for several reasons. Views differ as to whether word-final codas are always syllabified as onsets (Kaye et al., Reference Kaye, Lowenstamm and Vergnaud1990) or whether they are syllabified as onsets in certain languages only (Piggott, Reference Piggott1999). Thus, it is not straightforward to formulate predictions of cross-linguistic interaction for onsets of empty-headed syllables due to the varying theoretical stances. Goad and Brannen (Reference Goad, Brannen, Van de Weijer, Van Heuven and Van de Hulst2003) propose that children syllabify word-final consonants as onsets regardless of their status in the language being applied, a view which should make our task easier since we are dealing with child speech. However, acoustic analyses suggest that at least some children have coda consonant representations for word-final consonants. Yuen, Miles, Cox, and Demuth (Reference Yuen, Miles, Cox and Demuth2015), in an acoustic analysis of a single child's speech between the ages of 1;3 and 1;5, found that the child treated the C2 of CVC and CVCV target words differently, producing the C2 with longer closure duration for the monosyllables than the disyllables, consistent with a coda interpretation of final consonants.
Word-initial clusters
Frequency and complexity information on word-initial clusters in the L1s of the bilingual children can be found in ‘Supplementary Material B’. It shows the frequency of word-initial clusters (column 2), the word-initial cluster types (column 3), and comparative references as to whether word-initial clusters are more complex in one language versus another (column 4). We divided languages into four main groups: (1) languages with no clusters; (2) languages with OL clusters only; (3) languages with OL and /s/C clusters; and (4) languages with OL, /s/C, and ‘complex’ clusters. There were no languages which contained only /s/C clusters included in this study. By the fourth group, we refer to languages such as Polish and Romanian, which contain an extensive range of word-initial clusters with sonority plateaus and falls (e.g., /pt, mʃ/), not simply /s/ + stop clusters and clusters such as /sf/ which occur marginally in English. Our predictions on cross-linguistic interaction in word-initial clusters are based on complexity and not on frequency. The main reason for this was that word-initial clusters are generally of low frequency and it is difficult to determine whether small differences in the frequencies of word-initial clusters across languages are meaningful.
Languages with no word-initial clusters are considered to have the lowest complexity, since a simple onset in structural terms is less complex than a branching onset. As ‘Supplementary Material B’ indicates, four languages, Arabic, Turkish, Cantonese, and Armenian, belong to the ‘no cluster’ group. We predict that the absence of clusters in these languages may have an inhibitory effect on the development of clusters in French, leading to delay.
Using structural complexity as a criterion becomes less straightforward, however, when comparing languages with OL versus /s/C clusters, since OL and /s/C clusters are claimed to be structurally distinct. OL clusters are represented as branching onsets whereas /s/C sequences are represented as adjuncts plus simple onsets (Barlow, Reference Barlow2001; Goad & Rose, Reference Goad, Rose, Kager, Pater and Zonneveld2004). We argue, nevertheless, that languages with OL and /s/C clusters are more complex than languages with only OL clusters, for two reasons. First, languages with OL clusters form a subset–superset relationship with languages which contain OL and /s/C clusters (Schwartz & Goad, Reference Schwartz and Goad2017). In terms of relative complexity, the smaller subset with fewer structures is considered less complex than the larger subset with more structures. Second, languages with OL and /s/C clusters also allow three-element clusters (/s/CC). Thus, we appeal to the notion of cardinality or number. Clusters are least preferred (or more complex), when their cardinality is greater, that is, when they contain more elements (Vennemann, Reference Vennemann, Hoole, Bombien, Pouplier, Mooshammer and Kühnert2012). For example, Keffala et al. (2016) argue that English, which has OL and /s/C clusters, is structurally more complex than Spanish, which has only OL clusters, because English can have three-element clusters whereas Spanish can have only two. Additional support comes from treatment studies with phonologically disordered children, which show that treatment with a /s/CC cluster leads to the learning of both OL and /s/ + C clusters (Gierut & Champion, Reference Gierut and Champion2001).
‘Supplementary Material B’ indicates that Spanish and Portuguese resemble French in having mainly OL clusters. These are referred to as ‘low cluster’ languages and we predict no effect on cluster development in French since they all have similar levels of complexity. Italian, English, and Swiss German have /s/C clusters in addition to OL clusters. As argued above, we consider the presence of OL and /s/C clusters (in particular, 3-element clusters) together to have a facilitative effect on cluster acquisition in French leading to acceleration. French also has /s/C clusters but they are restricted to /s/ + stop clusters, which are rare in children's speech (Andreassen, Reference Andreassen2013). Furthermore, Schwartz and Goad (Reference Schwartz and Goad2017) point out that /s/ + stop sequences are typologically less marked than other /s/ sequences (i.e., /s/ + nasal, /s/ + lateral, /s/ + rhotic), so, even taking into consideration the marginal presence of /s/ + stop clusters in French, the other languages (i.e., English, Italian, and Swiss German) have a more marked system of /s/C sequences than French.
‘Supplementary Material B’ indicates that Polish and Romanian contain ‘complex’ clusters. They include clusters with low sonority differences, and sonority plateaus and falls. They also include clusters with up to four or five elements in the onset. Based on sonority markedness criteria, clusters which have sonority plateaus and falls are more marked than clusters which have small or large sonority rises (Berent, Steriade, Lennertz, & Vaknin, Reference Berent, Steriade, Lennertz and Vaknin2007; Tamburelli et al., Reference Tamburelli, Sanoudaki, Jones and Sowinska2015). Based on structural criteria, clusters with more consonants are more complex than clusters with fewer consonants (Vennemann, Reference Vennemann, Hoole, Bombien, Pouplier, Mooshammer and Kühnert2012). Thus, we could group Polish and Romanian separately to Italian, English, and German as having more complex clusters. However, to avoid loss of statistical power due to small group sizes, we group Italian, English, German, Polish, and Romanian into a single group referred to as high-complexity clusters.
Palatal fricatives
Information on the palatal fricatives and affricates in the L1s of the children in this study can be found in ‘Supplementary Material C’. It indicates the phonetic symbol for the palatal consonant (column 2), the number of palatal consonants in the phonemic inventory (column 3), and whether any palatalization (a process whereby underlying non-palatal consonants surface as palatals) applies in the adult language (yes or no, column 4). We were unable to obtain reliable information on the frequency of palatal consonants in the various languages; thus, our categorization of languages is based on the number of palatal consonants in the phonemic inventory and on whether there is any palatalization. Spanish and Arabic have two palatal fricatives or affricates, akin to the number in the French inventory. They were considered as ‘low-palatal’ languages. Portuguese has also two palatal consonants, but it has a palatalization process, and thus was categorized along with Italian, English, and German, which have three to four palatal consonants. They were considered as ‘mid-palatal’ languages. Romanian, Polish, Turkish, and Armenian have either five or more palatal consonants or they have palatalization processes (e.g., Turkish and Romanian). They were characterized as ‘high-palatal’ languages. Cantonese was somewhat difficult to place since palatal consonants do not exist in the phonemic inventory but may surface as allophones. We grouped it with the low-palatal languages. We predict that bilingual children speaking high-palatal languages should display acceleration in their acquisition of palatal consonants in French; those speaking mid-palatal languages should be at an advantage for acquiring palatal consonants, but the effect will be less strong (i.e., moderate acceleration). Bilingual children who speak low-palatal languages should not be at an advantage for acquiring palatal consonants since the numbers of palatal consonants in these languages are comparable to those of French. A summary of the predictions based on the linguistic characteristics of the L1s of the bilingual children is given in Table 1.
Table 1. Predictions Based on Language-internal Characteristics

Predictions based on bilingual status
Apart from predictions based on the linguistic characteristics of the bilinguals’ L1s, we also consider the possibility that bilingual status may play a role. A bilingual, by virtue of being exposed to different types of linguistic complexity across both of his languages, may have superior phonological perception and production to a monolingual. In this sense there may be a ‘general bilingual effect’, which is different from cross-linguistic interaction per se. We expected to tease these two phenomena apart by comparing bilinguals as a single group to monolinguals versus comparing different groups of bilinguals to monolinguals. If cross-linguistic interaction is taking place, only certain groups of bilinguals should display acceleration (or delay) compared to monolinguals.
Predictions based on language-external factors
Quantity of language exposure
We predict that increased exposure to French should be associated with superior (French) phonological skills in our young bilingual participants. This is consistent with findings which reveal that the dominant language of the bilingual is characterized by superior phonological abilities and that parent estimates of language use are correlated with higher segmental accuracy in that same language (Goldstein et al., Reference Goldstein, Fabiano and Washington2005, Reference Goldstein, Bunta, Lange, Rodriguez and Burrows2010; Law & So, Reference Law and So2006). We note, however, that not all studies in bilingual phonology show strong effects of language input on phonological production with children less than three years old, leading us to temper this language-external prediction.
SES and gender
We predict that high SES will be associated with superior phonological abilities in both our monolingual and bilingual participants. This is consistent with a handful of studies which show an association between SES and speech sound ability (Campbell et al., Reference Campbell, Dollaghan, Rockette, Paradise, Feldman, Shriberg, Sabo and Kurs-Lasky2003). We also predict that girls may display superior speech sound production compared to boys (Kenney & Prather, Reference Kenney and Prather1986; Smit et al., Reference Smit, Hand, Freilinger, Bernthal and Bird1990).
Predictions based on the influence of the lexicon
We also predict that children with larger total vocabularies as well as with larger French vocabularies should have better phonological scores than children with smaller total vocabularies and with smaller French vocabularies. Given a lack of evidence, we do not know whether language-specific or total vocabulary is the best predictor of phonological performance in our bilinguals. A summary of the predictions based on language-external and lexical factors is given in Table 2.
Table 2. Predictions Based on Language-external and Lexical Factors

Predictions based on phonological measures
As mentioned, our study includes both global (PCC, PVC) and specific phonological measures (word-final codas, word-initial OL clusters, and palatal fricatives). Our language-internal predictions pertain to the specific phonological properties, and our interest in the global measures is to determine whether monolinguals differ from bilinguals as a group. Due to phonetic/phonological maturation effects, we entertain the possibility that not all phonological structures evidence cross-linguistic interaction.
Presence vs. accuracy
In our analyses on codas and clusters, we collect data on two outcome measures: one based on the presence of a coda or cluster and one based on segmental accuracy. Keffala et al. (Reference Keffala, Barlow and Rose2018) also separated out coda/cluster presence and segmental accuracy in their study on cross-linguistic interaction. They found that English–Spanish bilinguals obtained higher scores in segmental accuracy but not higher scores for the presence of English clusters compared to monolinguals. This was consistent with their predictions that Spanish clusters were segmentally more complex than English clusters, but not structurally more complex. Thus, it is possible that we will observe differences between the two measures in different comparisons.
In sum, this study examines the effects of language-internal, language-external, and lexical factors on global (PCC, PVC) and specific phonological measures (word-final codas, word-initial OL clusters, and palatal fricatives) in French-speaking monolingual and bilingual children, aged 2;6.
Method
Participants
Participants include 40 French-speaking monolingual and bilingual children, aged 2;6 (±14 days). 46 children were originally tested but four children (two monolingual; two bilingual) were excluded due to lack of cooperation: they did not produce the stimulus words. One child was excluded due to a history of developmental delay, and one child due to a low vocabulary score (see below). The final number of children included 17 monolingual (7 females) and 23 bilingual children (13 females). We focused on the age of 2;6 as it corresponds to an important time period in the development of word-form production in monolinguals (Havy & Zesiger, Reference Havy and Zesiger2017).
The percent exposure to French and to other languages was determined by the Language Exposure Questionnaire (Bosch & Sebastián-Gallés, Reference Bosch and Sebastián-Gallés1997). Parents had to complete a questionnaire on the number of hours each day of the week their children spent with each of them (i.e., the mother or father), with the maternal and paternal grandparents, and with other caretakers. Monolinguals were designated as children who received 90 to 100% exposure to French, whereas bilinguals were those who received 80% or less exposure to French (see studies by Fabiano-Smith & Goldstein, Reference Fabiano-Smith and Goldstein2010a, Reference Fabiano-Smith and Goldstein2010b, who classify bilinguals on the basis of a minimum of 20% input in one of their languages). In the monolingual group, 13 children were only exposed to French (i.e., 100% exposure) whereas 4 children had exposure levels of 90% to French. In the bilingual group, exposure to French ranged from 30% through to 80%. Six of the children designated as bilingual were, in fact, trilingual. In the current study, we do not make a distinction between bilingual or trilingual input.Footnote 3
Since all the children were less than three years of age, they were simultaneous bilinguals according to standard definitions (Genesee & Nicoladis, Reference Genesee, Nicoladis, Hoff and Shatz2006). However, we also determined from questionnaire information whether only one parent spoke the other language or whether both parents spoke the other language. Of the 23 bilingual children, 14 children had only one parent who provided the input in the other language (father: 6 children; mother: 8 children) and 9 children had both parents who provided input in the other language.
SES was determined by aggregating information on the parents’ education on a scale from 1 to 6 and on the parents’ profession on a scale from 1 to 8 based on work market calculations of INSEE (2009). The total SES score allocated per family (including the parent and job score for mother and father) was 28. The average SES score for the monolinguals was 20.24 (sd = 4.79; range = 9–28) and for the bilinguals was 21.35 (sd = 4.38; range = 14–28). An independent t-test indicated no significant difference between the SES status of the monolingual and bilingual participants (t(38) = 0.76; p = .45).
Lexical information
Prior to the test appointment, parents were asked to complete the L'Inventaire Français du Développement Communicatif (IFDC) (Kern & Gayraud, Reference Kern and Gayraud2010) (the French adaptation of the MacArthur-Bates Communicative Development Inventories (MCDI)) (Fenson et al., Reference Fenson, Dale, Reznick, Thal, Bates, Hartung, Tethick and Reilly1993). Parents of bilingual children were also requested to fill in the MCDI of the child's other language. In 6 out of 23 bilingual cases, the MCDI was not completed on the child's other language, either because the MCDI was unavailable in that language (n = 2) or because the parent failed to return the vocabulary inventories (n = 4). In several other cases, parents returned the MCDI indicating that the child had ‘no words’ in the other language. In the case of missing data or when the parent's indicated ‘no words’, we entered the number of French words as the total vocabulary score, although we are aware that this is a conservative estimate of the child's total vocabulary. Three monolingual and three bilingual children obtained low scores on the IFDC. A low score was considered as a vocabulary of less than 235 to 245 words, which would situate the children at or below the 10th percentile on the IFDC based on monolingual norms (Kern & Gayraud, Reference Kern and Gayraud2010). In the case of the bilingual children, all three children had missing data on their other language so it is likely that their total vocabularies would have placed them above the 10th percentile. In the case of the monolingual children, their vocabularies ranged from 200 to 232 which placed them between the 5th and 10th percentile. Since the study was also interested in the influence of lexical ability on phonological development, the decision was made not to exclude these subjects from the analyses. Only one child (a bilingual) was excluded on the basis of lexical criteria due to an extremely low vocabulary size (total vocabulary = 76 words).
The bilingual participants had a mean total vocabulary of 444 (sd = 202; range = 159–850) and a mean French vocabulary of 304 (sd = 151; range = 0–602). The monolingual participants had a mean French vocabulary of 375 (sd = 126; range = 200–641). An independent t-test indicated that the total vocabularies for the bilingual and monolingual participants were not significantly different (t(38) = 1.23, p = .23).
Tables 3 and 4 provide a description of the monolingual and bilingual participants, including information on gender, percent exposure to French, languages spoken, SES, and vocabulary.
Table 3. Description of the Monolingual Participants including Information on Gender, Percent Exposure to French, SES, and Vocabulary

Notes. aSES score includes information on parent education and profession. The maximum SES score was 28. bNumber of words on the IFDC, the French version of the MCDI.
Table 4. Description of the Bilingual Participants including Information on Gender, Percent Exposure to French, Languages Spoken (and by whom), SES, and French and Total Vocabulary

Notes. a‘L1+’ refers to the other language spoken at home in the case of trilinguals. bSES score includes information on parent education and profession. The maximum SES score is 28. cNumber of words on the IFDC, the French version of the MCDI. dNumber of words on the IFDC and the MCDIs of the L1s. eMCDI information was unavailable in the other language.
Stimuli
The stimuli included 28 real words (monosyllabic and disyllabic) selected to fulfil phonological criteria relating to the presence of word-final consonants, word-initial clusters, and palatal fricatives. Words containing liquids and word-initial stops were also targeted but they are not the focus of the current study (e.g., cadeau, dauphin, requin). They are included, however, in the analyses of global phonological measures (PCC and PVC). Nineteen of the 28 words can be found in the IFDC; the rest were estimated to be familiar to many children, aged 2;6. In addition, any words spontaneously produced during the session (i.e., not included in the stimulus list) which fulfilled the phonological criteria of the study (e.g., presence of coda consonant, word-initial cluster, palatal fricative, etc.) could be included in the final dataset. Examples of additional words include framboise ‘raspberry’, flûte ‘flute’, grand ‘big’, trombone ‘trombone’, pomme ‘apple’, vache ‘cow’, and pyjamas ‘pyjamas’. The global measures of PCC and PVC were based on all words produced in the recording session, whereas the specific phonological measures were based only on target words containing word-final codas, word-initial clusters, or palatal consonants. The stimulus words are shown in Table 5 along with a checklist of the relevant phonological criteria that they fulfilled.
Table 5. List of Stimulus Items

Procedure
Children took part in a production task of approximately 20 to 30 minutes in which they were encouraged to name pictures and objects of the stimulus words. We used both pictures (photo album with colored pictures) and objects (cloth bag with toys/objects) to vary the task and maintain the children's interest. The children interacted with a native French-speaking experimenter and, on occasion, one of their parents. The experimenter was instructed to elicit spontaneous productions of stimulus words but, when this was not possible, to obtain productions either through direct or delayed imitation (see analyses of ‘Spontaneous vs. imitated productions’). Children generally responded with a single word or article plus noun (e.g., une fleur ‘a flower’) but occasionally they produced phrases as well (e.g., c'est une joli fleur ‘It's a pretty flower’). We included the stimulus word regardless of whether it was produced in isolation or within a short phrase. Children were required to produce two repetitions of each stimulus word, but due to varying levels of cooperation, fewer or greater numbers of repetitions could be obtained. The average number of words produced by the monolingual children was 54 (sd = 13; range = 32–77) and by the bilingual children, 53 (sd = 19; range = 25–94). Children produced on average 35 words containing word-final codas (sd = 11; range = 10–62), 20 words containing word-initial clusters (sd = 6; range = 9–37), and 10 words containing palatal fricatives (sd = 3; range = 2–17).
Data-transcription
Children's speech was recorded with a portable digital tape-recorder (Marantz PMD620) and hand-held unidirectional condenser microphone. Using Phon, a software program specifically designed for the analysis of phonological data (Rose & MacWhinney, Reference Rose, MacWhinney, Durand, Gut and Kristoffersen2014; Rose et al., Reference Rose, MacWhinney, Byrne, Hedlund, Maddocks, O'Brien, Wareham, Bamman, Magnitskaia and Zaller2006), each child's wave file was segmented, and stimulus words were identified and transcribed. Three French-speaking undergraduate students, who had taken phonetic courses and who had experience in phonetic transcription, including training in the speech laboratory, performed the analyses. They transcribed each child's productions in broad phonetic transcription, and also noted whether the production was spontaneous or imitated. The transcribed data were transferred to Excel and coded according to the phonological criteria under consideration. Calculations of PCC and PVC were computed automatically for each child using the query function in Phon.
Reliability
Three participants were re-transcribed by a second transcriber (one of the three undergraduate students) using the Blind Transcription function of the Phon program. Point-to-point agreement in terms of consonant transcription (excluding voicing errors) was high (96% or 535/556).
Data coding
Analyses were conducted on seven dependent variables: PCC, PVC, coda presence, coda accuracy, cluster presence, cluster accuracy, and palatal accuracy. In the case of PCC and PVC, the response variable in our model was a proportion score for each word production: number of consonants correct / number of total consonants and number of vowels correct / number of total vowels. For example, cheval /ʃəval/ ‘horse’ produced as [ʃova] was coded as 2/3 for PCC and 1/2 for PVC. We also included a ‘weights’ argument in the model set to the number of total consonants/vowels to take into account that a proportion (e.g., 0.5) could refer to different numerators and denominators (e.g., 1/2, 2/4, 5/10, etc.).
In the case of the response variables related to codas, clusters, and palatals, each individual word production was coded as either correct (1) or incorrect (0). Productions containing target word-final codas were coded as correct for coda presence when a coda was present regardless of whether it was segmentally correct (e.g., cloche /klɔʃ/ ‘bell’ as [klɔs]), and as incorrect when a coda was absent (e.g., cloche as [kla]). They were coded as correct for coda accuracy when the coda was segmentally correct (e.g., cloche as [klɔʃ]), and as incorrect when the coda was absent or was not segmentally accurate (e.g., cloche as [kla] or [klɔs]). Productions containing target word-initial OL clusters were coded as correct for cluster presence when a cluster was present regardless of whether it was segmentally correct (e.g., trompette /tʁɔ̃pεt/ ‘trumpet’ as [kʁɔ̃pεt]), and as incorrect when a cluster was absent (e.g., trompette as [tɔ̃pεt]). They were coded as correct for cluster accuracy when a cluster was segmentally correct (e.g., trompette as [tʁɔ̃pεt]), and as incorrect when a cluster was absent or segmentally incorrect (e.g., trompette [tɔ̃pεt] or [kʁɔ̃pεt]). Productions containing target palatal fricatives were coded as correct for palatal accuracy when a palatal fricative was produced regardless of whether it contained voicing differences (e.g., cheval /ʃəval/ ‘horse’ produced as [ʃova] or [ʒova]), and as incorrect if a palatal consonant was not produced (e.g., cheval produced as [səval]).
Statistical analyses
Data was analyzed using mixed effect logistic regression, which allowed us to model production accuracy on the basis of binomial data. The analyses were performed using R statistical software (R Development Core Team, 2015) and the lme4 package (Bates, Maechler, Bolker, & Walker, Reference Bates, Maechler, Bolker and Walker2015) for mixed effects models. To evaluate the contribution of each predictor in the model, we performed pairwise model comparisons between a saturated model and a more restricted model. The saturated model included all main effects whereas the restricted model omitted the predictor under consideration. Comparisons were made using likelihood ratio tests (LRT) which yield a chi-squared statistic. Multilevel variables were further analyzed using Wald z statistics.
In the model, we entered as fixed effects bilingual status, language-internal factors, language-external factors, and lexical factors. Bilingual status referred to whether children were monolingual vs. bilingual. Language-internal factors included frequency coda type, complexity coda type, cluster type, and palatal type. Both frequency and complexity coda types were coded as having three levels: 0 for monolinguals, 1 for the ‘low coda’ group and 2 for the ‘high coda’ group; cluster type was coded as having four levels: 0 for monolinguals, 1 for the ‘no cluster’ group, 2 for the ‘low cluster’ group, and 3 for the ‘high cluster’ group; and palatal type was coded as having four levels: 0 for monolinguals, 1 for the ‘low palatal’ group, 2 for the ‘mid palatal’ group, and 3 for the ‘high palatal’ group. In the case of participants who were exposed to two languages apart from French, the language with the highest exposure level was coded. When there was equal exposure to each language, the language with the greatest complexity was coded.
Language-external factors included %French exposure (i.e., percent score ranging from 30 to 100%), SES (i.e., score ranging from 9 to 28), and gender (i.e., male or female).
Lexical factors included total vocabulary (i.e., number of words ranging from 159 to 897), and French vocabulary (i.e., number of words ranging from 0 to 641). Preliminary analyses revealed that SES and total vocabulary were not collinear, nor were total and French vocabulary.Footnote 4
The random part of the model included random intercepts for participants and items. Random slopes on fixed effects were initially included but subsequently removed due to lack of convergence. The model was fitted using maximum likelihood estimation.
Results
Spontaneous vs. imitated productions
The data included both spontaneous and imitated productions. In the literature, it is often controversial whether imitated productions should be included as they may overestimate children's phonological abilities (Goldstein, Fabiano, & Iglesias, Reference Goldstein, Fabiano and Iglesias2004). To control for this possibility, we first examined whether percent correct accuracy of codas, clusters, and palatals varied according to whether the production was spontaneous or imitated. We found that children displayed slightly better scores in their spontaneous versus imitated productions (codas correct: spontaneous 84.55% (sd = 21.33); imitated 79.68% (sd = 20.55); clusters correct: spontaneous 64.05% (sd = 34.38); imitated 59.69% (sd = 32.91); palatals correct: spontaneous 61.03% (sd = 36.42); imitated 52.94% (sd = 40.21)); however, two-tailed paired t-tests indicated that the slight differences were not significantly different (codas correct: t(39) = –1.78, p = .08; clusters correct: t(38) = –1.07, p = .29; palatals correct: t(35) = 1.06, p = .30).Footnote 5 For the remainder of the analyses, we group spontaneous and imitated productions together.
Global results: PCC and PVC
The analyses examined whether there were any consistent group differences in phonological performance between the monolingual and bilingual children based on global measures such as PCC and PVC. ‘Appendix A’ presents the means and standard deviations for the PCC and PVC for the monolingual and bilingual children. Both sets of children produced approximately 80% of consonants and 90% of vowels correctly. The PCC and PVC data on the monolinguals and bilinguals are presented graphically in boxplot format in Figures 1 and 2. Graphic inspection of the PCC data shows slightly superior performance by the bilinguals compared to the monolinguals, whereas the PVC data show no apparent group differences, although bilinguals displayed greater variability in their vowel productions compared to monolinguals.

Figure 1. Box plot display of percent consonants correct (PCC) in French across monolingual and bilingual children. This is a boxplot display in which the center line represents the median (50th percentile), the bottom and top of the box, the 25th and 75th percentile, and the whiskers, the minimum and maximum values. Outliers are shown as individual points.

Figure 2. Box plot display of percent vowels correct (PVC) in French across monolingual and bilingual children.
To assess the effects of bilingual status, language-external effects (%French exposure, SES, and gender), and lexical effects (total vocabulary and French vocabulary) on PCC and PVC, we ran mixed models, entering all predictor variables as fixed effects and using random intercepts for participants and items. There were 2150 individual items spoken by the monolingual and bilingual children. The proportion score (number of consonants correct / number of total consonants; number of vowels correct / number of total vowels) served as the dependent variable. Four predictors were found to be significant in the model based on PCC: bilingual status (β = 1.45, χ 2(1) = 9.72, p = .002), %French exposure (β = 0.03, χ 2(1) = 5.42, p = .02), SES (β = 0.07, χ 2(1) = 6.98, p = .008), and total vocabulary (β = 0.002, χ 2(1) = 4.41, p = .03). Greater consonant precision was associated with being bilingual, increased exposure to French, higher SES, and greater total vocabulary. No factor was found to be significant in the model based on PVCs.
Codas, clusters, and palatal consonants
In the following analyses of specific linguistic properties we first present the descriptive results based on mean percent scores. We then present the results of our statistical models.
Word-final coda development
‘Appendix B’ shows the means and standard deviations for the coda analyses according to whether the children were monolingual or bilingual, or if they were bilingual whether they spoke low or high coda languages depending on frequency or complexity criteria. Results indicate that both monolingual and bilingual children marked the presence of codas most of the time with percentage scores in the vicinity of 90%. They were less accurate in the production of target-like codas, with percentage scores ranging from 75 to 80%.
To assess the effects of bilingual status, language-internal, language-external, and lexical variables on coda presence and accuracy, we ran logistic regression models entering all predictor variables as fixed effects and using random intercepts for participants and items. There were 1393 individual items spoken by the monolingual and bilingual children.
The effect of bilingual status on coda presence
In a first analysis, we examined whether bilingual status (monolingual, bilingual) along with language-external and lexical factors would influence coda presence. The analysis revealed that gender (β = 0.62, χ 2(1) = 4.03, p = .04) significantly improved model fit to data, with girls having more correct scores than boys. There was also a significant contribution of total vocabulary (β = 0.003, χ 2(1) = 4.73, p = .03). Children with larger vocabulary size had greater numbers of correct scores than children with smaller vocabulary size. Bilingual status did not prove to be significant in the model.
The effect of bilingual status on coda accuracy
We then examined whether the same predictors influenced coda accuracy. The model revealed that bilingual status (β = –1.23, χ 2(1) = 6.02, p = .01), %French exposure (β = 0.03, χ 2(1) = 5.15, p = .02), SES (β = 0.07, χ 2(1) = 4.79, p = .03), and total vocabulary (β = 0.003, χ 2(1) = 4.19, p = .04) yielded significant improvement of model fit. Bilinguals as a group produced more target-like codas than monolinguals. In addition, children with greater exposure to French, higher SES, and superior vocabulary scores had greater numbers of correct scores than children with less exposure to French, lower SES, and inferior vocabulary scores. In the next series of analyses, we examined more closely the effects of language-internal factors on performance.
The effect of speaking high- vs. low-frequency coda languages on coda presence
We first examined whether speaking high- vs. low-frequency coda languages along with language-external and lexical factors would affect coda presence. The analysis revealed that only gender significantly improved model fit to data (β = 0.65, χ 2(1) = 4.55, p = .03). Girls had more correct scores than boys. Coda frequency type was not found to contribute to model fit in a nested model comparison based on likelihood ratio tests, but this may have occurred because certain levels of the factor were equivalent. To remind the reader, our prediction was that monolinguals would not differ from bilinguals speaking low-frequency coda but only from bilinguals speaking high-frequency coda languages. Thus, we looked also at the results of the Wald test, which performs a comparison between a full model containing all coefficients and a restricted model in which the coefficient of interest is absent. When a variable is categorical, the Wald test performs a pairwise comparison between the coefficient of reference (in this case, monolinguals) and the coefficient of the other levels (low frequency, high frequency). Results indicated that children who belonged to the high-frequency coda group had more correct scores than monolinguals (β = 1.16, z = 2.03, p = .04). Children who belonged to the low-frequency group were not significantly different from monolinguals (β = 0.54, z = 0.86, p = .39).
The effect of speaking high- vs. low-frequency coda languages on coda accuracy
We then considered the effects of these predictors on coda accuracy. There was a significant contribution of coda frequency type in a nested model comparison using a LRT (χ 2(2) = 6.09, p = .048). Our Wald test results indicated that children belonging to both the high-frequency (β = 1.26, z = 2.58, p = .01) and low-frequency coda groups (β = 1.15, z = 2.07, p = .04) had significantly higher numbers of correct scores than monolinguals. There was also a significant contribution of %French exposure (β = 0.03, χ 2(1) = 4.18, p = .04) and SES (β = 0.07, χ 2(1) = 4.81, p = .03) and a marginal contribution from total vocabulary (β = 0.002, χ 2(1) = 3.74, p = .05). Children with more French exposure and higher SES levels had better coda accuracy scores than children with less French exposure and lower SES levels. Children with superior total vocabulary scores displayed a tendency to have better coda accuracy scores than children with inferior vocabulary scores. Graphic representations of coda presence and accuracy results according to coda frequency groupings are shown in Figures 3 and 4.

Figure 3. Box plot display of percent coda presence in French based on frequency grouping of codas: 0 = monolinguals; 1 = bilinguals who speak languages with low-frequency word-final codas; 2 = bilinguals who speak languages with high-frequency word-final codas.

Figure 4. Box plot representation of percent coda accuracy in French based on frequency grouping of codas: 0 = monolinguals; 1 = bilinguals who speak languages with low-frequency word-final codas; 2 = bilinguals who speak languages with high-frequency word-final codas.
The effect of speaking high- vs. low-complexity languages on coda presence
In a subsequent analysis, we examined whether grouping the languages according to complexity rather than frequency would affect coda presence. In this analysis, only gender yielded a significant improvement of model fit to data (β = 0.70, χ 2(1) = 5.04, p = .02). The Wald test results indicated that children speaking either high- or low-complexity languages did not differ from monolinguals.
The effect of speaking high- vs. low-complexity languages on coda accuracy
Finally, we examined whether the same predictors would affect coda accuracy. There was a significant contribution of coda complexity (χ 2(2) = 6.05, p = .048) in a nested model comparison using a LRT. The Wald test results indicated that children who spoke high-complexity coda languages had greater numbers of correct scores than monolinguals (β = 1.22, z = 2.58, p = .01); children who spoke low-complexity coda languages had marginally higher numbers of correct scores (β = 1.16, z = 1.9, p = .06). %French exposure (β = 0.03, χ 2(1) = 3.97, p = .046), SES (β = 0.07, χ 2(1) = 4.81, p = .03), and total vocabulary (β = 0.002, χ 2(1) = 3.85, p = .049) were also significant predictors in the model. Graphic representations of coda presence and accuracy results according to coda complexity groupings are shown in Figures 5 and 6.

Figure 5. Box plot representation of percent coda presence in French based on complexity grouping of codas: 0 = monolinguals; 1 = bilinguals who speak languages with low-complexity word-final codas; 2 = bilinguals who speak languages with high-complexity word-final codas.

Figure 6. Box plot representation of percent coda accuracy in French based on complexity grouping of codas: 0 = monolinguals; 1 = bilinguals who speak languages with low-complexity word-final codas; 2 = bilinguals who speak languages with high-complexity word-final codas.
In sum, findings based on coda presence yielded few significant results in terms of language-internal effects, the exception being that bilingual children whose L1 belonged to the high-frequency group had higher scores than the monolinguals. Findings based on coda accuracy scores yielded more significant findings. Bilinguals obtained higher coda accuracy scores than the monolinguals. In the analysis based on frequency grouping, bilinguals speaking high- and low-frequency languages obtained higher scores than monolinguals. In the analysis based on complexity groupings, only bilinguals speaking high-complexity languages had significantly higher scores than monolinguals.
Apart from the influence of language-internal effects, certain language-external and lexical effects were significant. Gender and to a lesser extent total vocabulary played a role in the coda presence results, whereas %French exposure, SES, and total vocabulary influenced the coda accuracy results.
Word-initial cluster development
‘Appendix C’ shows the means and standard deviations for the cluster analyses according to whether the children were monolingual or bilingual, or, if they were bilingual, whether they belonged to a no-, low-, or high-cluster group. Results indicate that both monolingual and bilingual children produced word-initial clusters with mean percentage scores in the vicinity of 60 to 80%. They were less accurate in the production of target-like clusters with mean percentage scores ranging from 50 to 75%.
The effect of bilingual status on cluster presence
In a first analysis, we examined whether bilingual status along with language-external and lexical factors would influence cluster presence. There were 797 individual items across the monolingual and bilingual children. There was no significant contribution of any fixed effects. Only SES marginally improved model fit to data (β = 0.17, χ 2(1) = 3.48, p = .06).
The effect of bilingual status on cluster accuracy
We then considered the effects of these predictors on cluster accuracy. Bilingual status yielded a significant contribution to model fit (β = –2.65, χ 2(1) = 5.65, p = .02), as did SES (β = 0.17, χ 2(1) = 6.57, p = .01). Bilinguals as a group produced more target-like clusters than monolinguals, and children with higher SES had higher cluster accuracy scores than children with lower SES.
The effect of speaking high- vs. low-(complexity) cluster languages on cluster presence
In the next series of analyses, we examined more closely the effects of language-internal factors on performance. Especially, we considered whether speaking a language with high vs. low cluster complexity along with language-external and lexical factors would influence cluster presence. None of the fixed factors significantly contributed to the data. In addition, the Wald test indicated that no individual levels of cluster complexity type were significant.
The effect of speaking high- vs. low-(complexity) cluster languages on cluster accuracy
Finally, we examined the effects of these factors on cluster accuracy. Only SES significantly contributed to the data (β = 0.17, χ 2(1) = 5.98, p = .01). The factor cluster complexity type was not found to contribute to model fit (or only marginally so) in a nested model comparison based on LRT (χ 2(3) = 7.13, p = .07), but once again this may have occurred because certain levels of the factor were equivalent. One of our predictions was that monolinguals would not differ from bilinguals speaking low-complexity cluster languages. Thus, we also looked at the results of the Wald test. Results indicated that the high-cluster group had cluster scores which were significantly different from monolinguals (β = 3.24, z = 2.53, p = .01); the low-cluster group had cluster scores which were marginally different from monolinguals (β = 2.47, z = 1.88, p = .06); and the ‘no-cluster’ group's scores were not significantly different from monolinguals (β = 1.99, z = 1.58, p = .11). In addition, total vocabulary marginally improved model fit to data (β = 0.005, χ 2(1) = 3.55, p = .06). Children with superior vocabulary scores displayed a tendency to have higher cluster accuracy scores than children with inferior vocabulary scores. Graphic representations of cluster presence and cluster accuracy according to cluster groupings are given in Figures 7 and 8.

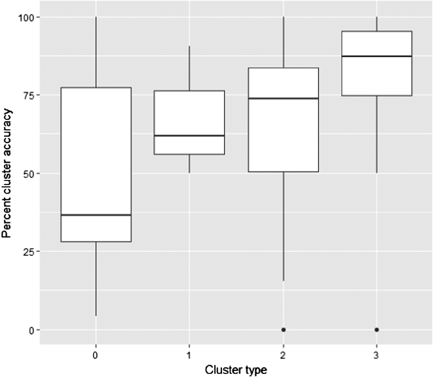
Figure 7. Box plot representation of percent cluster presence in French based on cluster type: 0 = monolinguals; 1 = bilinguals who speak languages with no onset clusters; 2 = bilinguals who speak languages with low-complexity clusters; 3 = bilinguals who speak languages with high-complexity clusters.

Figure 8. Box plot representation of percent cluster accuracy in French based on cluster type: 0 = monolinguals; 1 = bilinguals who speak languages with no onset clusters; 2 = bilinguals who speak languages with low-complexity clusters; 3 = bilinguals who speak languages with high-complexity clusters.
In sum, analyses using cluster presence as a dependent variable yielded few significant results. Neither bilingual status nor cluster complexity type influenced outcomes. Analyses based on cluster accuracy yielded some significant results. Bilinguals as a group had higher cluster accuracy scores than monolinguals. Analyses based on the cluster complexity groupings indicated that it was the children whose L1 belonged to a high-complexity cluster language that had higher accuracy scores than monolinguals. Children whose L1 belonged to a low-complexity or no-cluster group did not differ from monolinguals (or only marginally so in the case of low complexity). The language-external variable that played a role in the cluster results was SES, with marginal effects from total vocabulary. Children from a higher SES background had significantly higher scores for cluster accuracy.
Palatal fricatives
‘Appendix D’ shows the means and standard deviations for percent correct palatal fricatives according to whether the children were monolingual or bilingual, and, if bilingual, whether they spoke low-, mid-, or high-palatal languages. Results indicate that monolingual and bilingual children produced palatal fricatives with mean percentage scores in the vicinity of 45 to 70%.
The effect of bilingual status on palatal accuracy
In a first analysis, we examined whether bilingual status, along with language-external and lexical factors would influence palatal accuracy. There were 384 individual items across the monolingual and bilingual children. There was no significant contribution of any factor, although there was a marginal contribution of bilingual status to model fit (β = –1.84, χ 2(1) = 2.79, p = .09). Bilingual children showed a tendency to have superior scores for palatal fricatives compared to monolingual children.
The effect of speaking high-, mid-, vs. low-palatal languages on palatal accuracy
In the next analysis, we considered whether speaking a language with high-, mid-, vs. low-palatal complexity along with language-external and lexical factors would influence palatal accuracy. None of the fixed factors significantly contributed to the data. Furthermore, the Wald test indicated that none of the individual levels of palatal type were significant. Figure 9 displays the boxplot representation for palatal accuracy according to palatal groupings.

Figure 9. Box plot representation of percent palatal accuracy in French based on palatal type: 0 = monolinguals; 1 = bilinguals who speak languages with low numbers of palatals; 2 = bilinguals who speak languages with middle numbers of palatals; 3 = bilinguals who speak languages with high numbers of palatals.
In sum, our analyses did not reveal any significant language-internal, language-external, or lexical factor which accounted for the accuracy of palatal fricatives. However, bilinguals displayed a tendency to have higher scores than monolinguals.
Discussion
This study examined the influence of language-internal, language-external, and lexical factors on the phonological production abilities of monolingual and bilingual French-speaking children, aged 2;6. Our results showed that a variety of factors influenced the production abilities of our participants, one of them being the linguistic properties of the children's L1s, but others included percent French exposure, SES, and total vocabulary. In the following sections we summarize the results and then consider what they tell us about cross-linguistic interaction.
Global PCC and PVC results
Our findings on PCC are consistent with other studies on the acquisition of phonology in French-speaking children. MacLeod et al. (Reference MacLeod, Sutton, Trudeau and Thordardottir2011b) report PCCs of 82% for French-speaking monolingual children, aged 2;6 to 2;11, similar to the PCCs obtained by the children in this study, which were around 80%. The bilingual children obtained higher PCCs than the monolinguals, a result also obtained by Grech and Dodd (Reference Grech and Dodd2008). These authors argue that the task of learning two different phonetic inventories may lead to heightened attention to phonemic contrasts and to more developed articulatory control.
In the case of PVC scores, bilinguals did not exhibit any advantage, however. They obtained similar scores to monolingual children but, as a group, displayed greater variability. The French vowel inventory may present challenges for bilingual children in the form of nasal vowels (/ɑ̃, ε̃, ɔ̃, œ̃/), schwa (/ə/), and lax vowels (/ε, ɔ/). In the current study, we did not formulate predictions based on typological effects for global measures; however, it is possible that these effects influenced the results. Children whose L1s were characterized by smaller vowel inventories (e.g., Spanish, Italian) may have made more errors on French vowels than children whose L1s were characterized by larger vowel inventories (e.g., German). See, for example, the productions of Child 43 (L1: Spanish) in (1) who experienced difficulties with the nasal vowel /ɑ̃/, schwa, and the lax vowel /ɔ/, vowels which do not occur in Spanish. Further research should determine whether characteristics of the L1 vowel system influence vowel production in the L2. For example, languages could be coded in terms of vowel inventory size (small, average, large) and for the presence of vowel subcategories such as front–rounded and nasalized vowels (using online databases such as the World Atlas on language structures (WALS; Dryer & Haspelmath, 2013)). This might allow for a more systematic study of cross-linguistic interaction in vowels, similar to what has been conducted in consonants and syllable structure.
(1) Example of vowel errors in Child 43 (L1 Spanish)
plante /plɑ̃t/ [plat], [plant] ‘plant’
requin /ʁə'kε̃/ [ʁo'ka] ‘shark’
cloche /klɔʃ/ [klas] ‘bell’
As for why there are monolingual–bilingual differences for the PCC and not the PVC results, it is possible that the percentage of shared segments is greater for consonant than for vowel inventories in many bilinguals, and this may explain why they are at an advantage for consonant but not vowel production. It could also be the case that, given the particular challenge of learning two phonological systems and the need to differentiate words within and across languages, bilinguals develop a heightened sensitivity to the phonological information that affords the most lexical distinctiveness. In French, more words contrast by a consonant than by a vowel, which makes consonants especially informative (Nespor, Peña, & Mehler, Reference Nespor, Peña and Mehler2003). Here, we found that, along with bilingual experience, the interest for consonants was moderated by vocabulary size. This supports the idea that, as they advance in lexical acquisition, children become increasingly sensitive to the lexical distinctiveness of consonants and do so even more when exposed to another language.
Word-final codas
Our French-speaking monolinguals marked the presence of codas around 90% of the time and produced target-like codas around 80% of the time. These results are consistent with those of Hilaire-Debove and Kehoe (Reference Hilaire-Debove and Kehoe2004), who observed that French-speaking monolinguals, aged 2;4, mark the presence of codas 80 to 88% of the time in monosyllables and disyllables. The percent correct scores are higher, however, than those reported by Keffala et al. (Reference Keffala, Barlow and Rose2018), who found that Spanish-speaking monolinguals, even slightly older than the ones in this study (i.e., 2;4 to 4;0), obtained scores of 63% and 55% for coda presence and coda accuracy, respectively. The differences between Spanish and French are surprising given that both French and Spanish are purported to be characterized by low frequencies of word-final codas. French, in contrast to Spanish, allows codas of different places of articulation and allows complex codas. Thus, it seems that complexity is the main reason for the high coda production in French-speaking monolinguals, possibly combined with the prosodic qualities of French in which word- or phrase-final syllables are stressed.
Our study attempted to separate out the effects of frequency and complexity on bilingual speech production by grouping the coda characteristics of the bilingual children's L1s according to whether they were of high or low frequency or whether they had high or low complexity. We predicted that children whose L1 belonged to a high-frequency group should have higher scores than French monolinguals, but not children whose scores belonged to a low-frequency group. Our predictions were confirmed for coda presence but not for coda accuracy. In the latter, children from both low- and high-frequency groupings had superior coda accuracy results. In the case of the complexity grouping, we entertained the possibility of some acceleration effect in the high-complexity group, since this group included certain languages whose codas would have been even more complex than French. We predicted a clear delay effect for the low-complexity group. Our predictions were partially confirmed for coda accuracy but not for coda presence, in which there were no significant language-internal effects. In the coda accuracy results, children whose L1s were characterized by high-complexity codas achieved better scores than monolinguals. Children whose L1s were characterized by low-complexity codas obtained less favorable scores than the high-complexity group, but they still showed some (marginal) advantage in coda accuracy with respect to monolinguals. In essence, there was no ‘delay’ effect as predicted. All bilingual children seemed to profit from speaking another language in terms of the precision of their coda productions. This is suggested by the significant effect for bilingual status when using coda accuracy as a dependent variable. We discuss this bilingual advantage below in the section ‘Cross-linguistic interaction’.
As far as teasing apart the individual effects of frequency and complexity, our study is unable to provide the entire picture. The combination of high frequency and high complexity appeared to offer advantages over high complexity on its own, as suggested by the fact that children in the high-frequency (and high-complexity) grouping had superior results to monolinguals for both coda presence and accuracy, whereas children in the high-complexity (and low-frequency) grouping had superior results only for coda accuracy. At the other end of the high–low continuum, our study did not observe a parallel effect. The bilingual children who belonged to a low-complexity (and subsequently low-frequency) group were not more disadvantaged than monolinguals who spoke a low-frequency but high-complexity coda language. In sum, there is more work to be done in understanding the individual roles of complexity and frequency in accounting for cross-linguistic interaction.
Word-initial clusters
The French-speaking monolinguals in this study produced word-initial clusters about 60% of the time and produced target-like ones about 50% of the time, results not dissimilar to those of MacLeod et al. (Reference MacLeod, Sutton, Trudeau and Thordardottir2011b), who recorded accuracy rates between 31% (for /fʁ/ clusters) and 79% (for /bl/ clusters) in French-speaking monolingual children, aged 2;6–2;11. We predicted acceleration of clusters in bilingual children whose L1s contained high-complexity clusters, no effect in children whose L1s contained low-complexity clusters, and delay in children whose L1s contained no clusters compared to monolingual children. Our predictions were borne out, at least with respect to cluster accuracy. Children in the high-cluster group obtained scores significantly higher than monolinguals, whereas children in the other groups did not differ from monolinguals. Nevertheless, there was still a marginal difference between monolinguals and bilinguals for the low-cluster group, which is reflected in the fact that, when bilingual status rather than cluster type was entered into the model, bilinguals as a whole had better cluster accuracy scores than monolinguals (see later section ‘Cross-linguistic interaction or “general bilingual” effect’). We have no explanation as to why the results were not significant for cluster presence, but examination of Figure 7 reveals that the percentage scores went in the right direction. There was nonetheless considerable variability amongst all children. Overall, the accuracy results appear to be more sensitive to monolingual–bilingual differences than the results pertaining to cluster presence. A similar pattern was observed when examining coda presence and accuracy in coda development. One of the limitations of the study is the small group sizes, which may have led to reduced statistical power and consequently non-significant results in some of the analyses.
Palatal fricatives
In contrast to the findings on coda and cluster development, there appeared to be no influence of L1 on the production of palatal consonants. The only variable which played a role was bilingual status: bilinguals had marginally higher scores than monolinguals, a finding which is consistent with other findings in this study in pointing to superior scores by bilinguals in phonological precision. It must be noted that palatal fricatives are difficult for children aged 2;6, to produce. MacLeod et al. (Reference MacLeod, Sutton, Trudeau and Thordardottir2011b) found that, although they started to emerge in the productions of children aged 2;0 (i.e., 50% of children produced them accurately in two word positions), they were not mastered (i.e., 90% of children produce the consonant accurately in three word positions) until 3;6 or later. It is likely that variables related to articulatory control play a greater role in the production of palatal fricatives than the variables measured in this study (see later section ‘Phonetic–phonological maturation effects’). Furthermore, our categorization of palatal typology in terms of the number of palatal fricatives/affricates in the phonemic inventory may not have captured degrees of complexity in palatal fricatives. A language could have few palatal fricatives in the inventory but ones which are highly frequent, whereas another language could have a greater number of fricatives in the inventory but ones which are less frequent. Our current categorization would not have been sensitive to these differences.
Language-external and lexical effects
An important aspect of the study was to examine the influence of language-external and lexical variables alongside language-internal ones on phonological production. Our study showed that percent French exposure, SES, and total vocabulary played major roles, whereas gender played a minor one. French vocabulary did not emerge as significant in any of our statistical models.
Percent French exposure turned out to be significant in statistical models examining PCC and coda accuracy. In these analyses, greater exposure to French led to significantly better consonant precision. Increased French exposure did not prove significant in the analyses of cluster and palatal development nor in the analyses of PVC. In other areas of language development (e.g., lexical and syntactic development), degree of input has been shown to be highly correlated with language performance in bilingual children (Hoff, Core, Place, Rumiche, Señor, & Parra, Reference Hoff, Core, Place, Rumiche, Señor and Parra2012; Thordardottir, Reference Thordardottir2011; Thordardottir & Brandeker Reference Thordardottir and Brandeker2013), whereas in early bilingual phonology the effects of input quantity on phonological production have been less strong (Goldstein et al., Reference Goldstein, Fabiano and Washington2005, Reference Goldstein, Bunta, Lange, Rodriguez and Burrows2010). Our study shows that increased quantity of input leads to higher phonological production scores, but the effects are not consistent across all phonological measures. Our results also show that good phonological scores can be obtained even when percent language input is low. Take the case of Child 43, who was exposed to French 30% of the time (70% Spanish) but still obtained a PCC of 92%. Child 14 was exposed to French a greater percentage of time 60% (40% Spanish) but obtained a lower PCC, that is, 70%. This child also came from a lower SES background and had a lower total vocabulary, implicating the role of other variables in explaining her phonological scores.
SES emerged as a significant factor in statistical analyses on PCC and on coda and cluster accuracy. This result is in accordance with several studies in child phonology which reveal superior speech sound development in children from higher SES backgrounds. Campbell et al. (Reference Campbell, Dollaghan, Rockette, Paradise, Feldman, Shriberg, Sabo and Kurs-Lasky2003) hypothesize that the lower amounts of language stimulation provided to children by parents whose SES is low might lead to less perceptual and motor experience with early phonological forms. In addition, parents with higher SES may place a greater emphasis on the children's bilingualism and engage their children in language activities, such as shared book reading, which develop their L1 (and consequently their L2) phonological abilities more than parents with lower SES. Given that the SES effects were not present across all analyses, we do not believe that they reflect pervasive effects due to inadequate health care or nutrition. It might be assumed that the SES effect reflects vocabulary size, since these two factors are often related (Calvo & Bialystok, Reference Calvo and Bialystok2014); however, there was no collinearity between these two variables, suggesting that the two factors played separate roles in the current study.
Gender was significant in our statistical models which used coda presence as the dependent variable. Out of all the measures, coda presence was the one in which children performed best (almost at ceiling) and it was here that girls outperformed boys. On other measures, where performance was more uneven, a gender effect did not emerge. This is analogous to studies in speech sound production which show that gender effects, when present, emerge at later age ranges (McLeod, Reference McLeod, Bernthal, Bankson and Flipsen2009). In this study, they did not emerge at a later age-range (all the children were 2;6), but they emerged in phonological skills that were well established.
Total vocabulary was a significant variable in models which tested the effects of predictor variables on PCC and coda presence and accuracy. It had a marginal effect on cluster accuracy. As mentioned, French vocabulary was not a significant variable in any of our models. Studies examining lexical–grammatical associations in bilingual children have found stronger evidence for within- than for cross-language correlations (Conboy & Thal, Reference Conboy and Thal2006; Marchman, Martinez-Sussmann, & Dale, Reference Marchman, Martinez-Sussmann and Dale2004). That is, these studies have shown that advanced lexical abilities in one language are associated with advanced grammatical abilities in the same language but not necessarily in the other language; reduced lexical abilities in one language are associated with reduced grammatical abilities in the same language but not in the other language. In contrast, we did not observe that reduced lexical abilities in French were necessarily associated with reduced phonological abilities in French. Take the example of Child 44 (L1: Spanish) who had a vocabulary size of only 144 words in French (total vocabulary = 389) but obtained an above- average PCC score of 93%. The fact that total vocabulary rather than language-specific vocabulary was more closely correlated with phonological scores in French seems to provide evidence for between-language correlations in the lexical–phonological domain. Knowing (and producing) words in one language facilitates phonological production in the other language, probably because of the shared phonological structures between the two languages. Total vocabulary thus appears to be a stronger predictor of phonological production than language-specific vocabulary in bilinguals; however, in order to fully determine this, we would need to measure phonological production in both languages, something which was not possible in the current design.
One may wonder why language-external factors did not have uniform effects on all phonological parameters, influencing some but not others. Overall, SES and total vocabulary had the most consistent influence on phonological parameters, being implicated in PCC, coda, and cluster measures. Marginal rather than fully significant effects for these factors may have come about from reduced statistical power due to small sample sizes. As is the case for cross-linguistic interaction (see below), the influence of language-external effects may be lessened when phonological structures are too easy or difficult.
Phonetic–phonological maturation effects
In the ‘Introduction’, we entertained the possibility that certain areas of phonology may be more suitable for displaying cross-linguistic interaction than others. Structures which are too easy or difficult for monolinguals and bilinguals may be less susceptible to the influence of cross-linguistic interaction. Some of these effects appear to be present in the data. Our analyses of global measures showed monolingual–bilingual differences to be present in consonants but not in vowels, a result which is consistent with the fact that vowels are generally acquired before consonants and are produced with a high degree of accuracy by all children. It cannot be excluded, however, that a finer analysis which takes into account the size of the bilingual children's vowel inventories in their L1 may have led to more nuanced results in PVCs.
Our analysis of specific linguistic measures revealed monolingual–bilingual differences and typological effects for codas and word-initial clusters but not for palatal fricatives. Palatal fricatives may pose an articulatory challenge for all children at the age of 2;6. Greater exposure to them via the home language does not appear to afford an advantage to bilingual children at this young age but may do so at a later age, a finding which should be confirmed in future studies. We also note that coda and cluster accuracy measures were more sensitive to monolingual–bilingual and typological differences than coda and cluster presence measures. All children in the study obtained high results for the presence of codas, obscuring many language-internal and -external effects, with the exception of gender, which emerged in this analysis only.
Cross-linguistic interaction or ‘general bilingual’ effect
What does our study say about cross-linguistic interaction? Given that we observed graded effects in our outcome measures, with higher scores being obtained by children speaking high-frequency/high-complexity languages and lower scores being obtained by children speaking low-frequency/low-complexity languages, our results are consistent with there being grammatical influence from one language to the other. That we were able to document cross-linguistic interaction in a heterogeneous population of children, speaking different L1s, coming from different SES backgrounds, and having different vocabulary levels, is noteworthy.
Nevertheless, cross-linguistic interaction was not observed in all analyses. It was not observed when studying complexity effects on coda and cluster presence nor on the accuracy of palatal fricatives. Furthermore, it was not observed in all directions. An acceleration effect was present, but not a delay effect as was predicted for children speaking languages with low-complexity codas or with no word-initial clusters. Overall, there was a tendency for the bilinguals to perform better as a group than the monolinguals. Thus, our results could be interpreted as a ‘general bilingual effect’ rather than as cross-linguistic interaction. A bilingual child, by virtue of being exposed to a larger inventory of sounds and syllable types across both of his languages, may have a general advantage in phonological production in comparison to monolinguals. At this stage, we cannot determine which explanation (‘general bilingual effect’ vs cross-linguistic interaction) offers a superior account of the findings, but given the presence of significant monolingual–bilingual differences for the high-frequency/-complexity groups in some of our analyses, we interpret our results as lending support for grammatical effects in combination with a ‘general bilingual effect’. Our study is a cross-sectional one and it is possible that cross-linguistic interaction or a ‘general bilingual effect’ is not present at earlier or later age-ranges, stressing the importance of designing longitudinal studies to track cross-linguistic interaction across time.
Our results support Keffala et al.’s (Reference Keffala, Barlow and Rose2018) and Tamburelli et al.’s (Reference Tamburelli, Sanoudaki, Jones and Sowinska2015) studies in showing that bilingual children speaking languages with high-frequency/-complexity codas or clusters may undergo acceleration in comparison to monolinguals. We did not observe comparable delay effects in children speaking languages with low-frequency/-complexity codas or clusters, making us query whether grammatical influence ever leads to ‘delay’. Indeed, those studies which have shown delayed acquisition of phonological structures have often focused on bilingual children who are acquiring a complex target that occurs in one of their languages only (e.g., spirant–stop alternation in Spanish: Goldstein & Washington, Reference Goldstein and Washington2001; Lleó & Rakow, Reference Lleó, Rakow, Cohen, MaAlister, Rolstad and MacSwain2005; MacLeod & Fabiano-Smith, Reference MacLeod and Fabiano-Smith2015; the phonological vowel length distinction in German: Kehoe, Reference Kehoe2002). ‘Delay’ in these cases may have reflected reduced input rather than typological effects. In sum, future studies in early bilingual phonology should examine whether ‘delay’ is a possible manifestation of cross-linguistic interaction or is the result of language-external effects such as reduced input or low SES.
Finally, we acknowledge that the study is based on small group sizes and that more research would be needed with larger groups of bilinguals balanced according to typological criteria in order to confirm the current findings.
Summary
The study investigated language-internal, language-external, and lexical factors on phonological production in bilingual French-speaking children. Children who spoke languages belonging to a high-frequency/-complexity group had better coda presence and accuracy scores and better cluster accuracy scores in French than children who spoke languages belonging to a low-frequency/-complexity group. In addition, bilinguals as a group had better coda and cluster accuracy scores than monolinguals. These results support the presence of cross-linguistic interaction as well as a ‘general bilingual effect’. Our study also showed that percent language exposure, SES, size of total vocabulary, and to a lesser extent gender influenced phonological production. These findings provide new information on the consequences of language contact in young bilinguals, which should contribute to the development of more elaborate models of cross-linguistic interaction.
Supplementary materials
For supplementary materials for this paper, please visit <https://doi.org/10.1017/S0305000918000478>.
Acknowledgements
We would like to thank Carole Jaggie for her assistance in testing some of the children; Audrey Burkhardt, Constance Terrail, and Tanya Bella Bancaleiro for transcribing the data; and Anna Wolleb for her help in some of the data analyses. In addition, we would like to thank Sharon Inkelas, Bert Vaux, Scott Seyfarth, Gaja Jarosz, and Maria de Fatima de Almeida Baia for providing frequency and complexity information on some of the languages of the bilingual children.
Appendix A
Means and standard deviations for PCC and PVC across the monolingual and bilingual children.

Appendix B
Means and standard deviations for percent coda presence and accuracy across the monolingual and bilingual children, and across different groups of bilingual children depending upon coda frequency and coda complexity groupings.

Appendix C
Means and standard deviations for percent cluster presence and accuracy in the monolingual and bilingual children, and across different groups of bilingual children depending upon cluster complexity groupings.

Appendix D
Means and standard deviations for percent accuracy of palatal fricatives in the monolingual and bilingual children, and across different groups of bilingual children depending upon complexity groupings.














