Hostname: page-component-857557d7f7-nbs69 Total loading time: 0 Render date: 2025-11-23T07:05:39.933Z Has data issue: false hasContentIssue false

Evolution and mass extinctions as lognormal stochastic processes – CORRIGENDUM

Published online by Cambridge University Press:  06 October 2014

Rights & Permissions [Opens in a new window]

Abstract

Information

Type
Corrigendum
Copyright
Copyright © Cambridge University Press 2014 

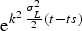
In the ninth row of table 1 on page 4 of the original article, ${\rm e}^{(k^2 - k){{{\sigma _L^2} \over 2}(t - ts)}} $ should instead read ${\rm e}^{k^2\, {{\sigma _L^2} \over 2}(t - ts)} $ .

References

Maccone, C. Evolution and mass extinctions as lognormal stochastic processes. Int. J. Astrobiol., published online 21 July 2014, doi: 10.1017/S147355041400010X.Google Scholar