INTRODUCTION
Quality seed is among the most important production resources that greatly influence agricultural productivity. Despite productivity gains of 50% recorded amongst farmers that have fully adopted hybrid cocoa as planting materials, access still remains difficult and sometimes non-existent (IITA/STCP, 2003). The situation is not different from crops like beans of which adoption studies in several African countries have shown a similar trend (Kalyebara and Andima, Reference Kalyebara and Andima2006).
Lack of access to improved planting materials has compromised yields of cocoa (Aikpokpodion and Adeogun, Reference Aikpokpodion and Adeogun2011). For instance, a 2001/2002 baseline cocoa household survey by a public–private partnership research programme across Ghana, Nigeria, Liberia, Côte D'Ivoire identified poor access to improved planting materials as a major contributing factor to production inefficiencies (IITA/STCP, 2003). Authors of this study noted that this has contributed to limited enterprise profitability among cocoa farmers. In addressing the above highlighted bottlenecks, the majority of farmers generally source the bulk of their seeds through informal channels, including farmer saved seeds, seed exchanges among farmers or/and local grain/seed market (Adam and Tilahun, Reference Adam and Tilahun2001; Ashley Asare, Reference Ashley Asare2010; Phiri et al., Reference Phiri, Chirwa, Haugen, Sperling, Remington, Haugen and Nagoda2004; Rubyogo et al., Reference Rubyogo, Sperling, Nasirumbi and Kasambala2008). Informal channels have been noted to contribute about 90 to 100% of seed supply depending on crop type (Maredia et al., Reference Maredia, Howard, Boughton, Naseen, Wanzala and Kajisa1999). However, the use of farmer produced cocoa seeds has partially affected yields due to poor inherent genetic and physical qualities of the seeds and susceptibility of such landraces to severe pests and disease infestation (Asare et al., Reference Asare, Afari-Sefa, Gyamfi, Okafor and Mva Mva2010). Consequently, there is the need to develop well-established and better functioning seed gardens (Aikpokpodion, Reference Aikpokpodion2007) that will produce sufficient improved materials for farmers via efficient distribution and delivery mechanisms.
An assessment conducted by Asare et al. (Reference Asare, Afari-Sefa, Gyamfi, Okafor and Mva Mva2010) on the production of hybrid cocoa seeds in Cameroon, Ghana and Nigeria showed that there is a shortfall in production even though there is no scientific mechanism in place to determine farmer demand in all the three countries. In the case of Ghana, this is further accentuated by the seasonal time gaps from production through harvesting to distribution, making it difficult for farmers to access quality seeds for planting at the right time of the year. With production levels ranging between 200–700 kg of dry cocoa beans ha−1 (Somarriba and Beer, Reference Somarriba and Beer2011) and aging tree stock across West and Central Africa, governments are determined to increase production over the coming years. In Ghana, the national Cocoa Board (COCOBOD) has set an annual target of 1 000 000 MT dry cocoa beans. Governments in Cameroon and Nigeria have also strategized and increased interventions in the cocoa industry to boost production and in the case of Cameroon even double production (Asare et al., Reference Asare, Afari-Sefa, Gyamfi, Okafor and Mva Mva2010). The strategy for achieving success includes a common initiative of rehabilitating old cocoa farms using new and improved hybrid cocoa planting materials to replace existing old tree stocks that are usually planted to local landraces with associated poor yields (Ahenkorah et al., Reference Ahenkorah, Halm, Appiah, Akrofi and Yirenkyi1987 cf. Gockowski et al., Reference Gockowski, Afari-Sefa, Sarpong, Osei-Asare and Agyeman2013). A major constraint that has bedevilled cocoa rehabilitation and expansion efforts as a result of the use of farmer produced seeds is the high seedling mortality rate during the establishment phase (Padi et al., Reference Padi, Adu-Gyamfi, Akpertey, Arthur and Ofori2013).
The objective of this study was to determine the socio-cultural factors that affect field performance of improved hybrid cocoa seeds in Ghana. The aim was to identify site-related factors that influenced seedling survival and how this affected establishment of seedlings in the field. This will help to relate availability of improved hybrid materials to the successful establishment or rehabilitation of cocoa farms.
MATERIALS AND METHODS
Study area
The study was conducted in 15 communities, eight districts and four administrative regions in Ghana namely Ashanti, Brong-Ahafo, Eastern and Western (Figure 1). These regions fall under two broad agro-ecological zones: (i) Moist Forest that consists of the wet evergreen, moist evergreen and moist semi-deciduous forests with rainfall in excess of 1200 mm annually and; (ii) Dry Forest, which consists of the semi-deciduous inner zone and dry semi-deciduous outer fire zone with rainfall between 1000–1200 mm annum−1 (Amanor, Reference Amanor1996). The Western region, with some forest patches remaining, represents the last frontier for expansion of cocoa cultivation and produces over half of Ghana's cocoa. This is the only region that falls under the Moist Forest. The other ‘traditional’ regions are said to be denuded but make up for the rest of production. The Central and Volta regions contribute marginally to cocoa productivity hence were excluded from this study. The areas were selected according to their proximity to functioning cocoa seed gardens.

Figure 1. Map showing the cocoa growing areas of Ashanti, Brong-Ahafo, Eastern and Western regions of Ghana indicating study areas and seed gardens.
Farmer selection
Farmers were selected after going through farmer training activities on planting, replanting and tree diversification (PRD) in cocoa system by smallholders (see Asare and David, Reference Asare and David2011). The PRD training approach uses Farmer Learning Groups (FLG) and field exercises to improve farmers’ knowledge and skills on how to establish new cocoa farms or rehabilitate old ones based on good agricultural practices. This structured group-based learning approach uses demonstrations, field exercises and discussion as the key training and learning tools. The rehabilitation practices undertaken by the farmers include under planting improved cocoa seedlings in existing cocoa farms and complete planting of seedlings in a new area. In all, 375 farmers representing about 10% of 3569 trained farmers were selected using a multi-stage random sampling approach. These farmers have been introduced to a just in time SBS by linking them to the closest or most appropriate cocoa seed production gardens for purchase of improved planting materials. Upon acquisition of improved seeds, they raised nurseries in groups and transplanted. Before transplanting, farmers planted plantain and timber tree species as temporary and permanent shade respectively at recommended planting distances in accordance with the PRD training (Asare and David, Reference Asare and David2011). During the process, farmers received at least 200 cocoa seedlings each from their respective group nurseries for transplanting at a spacing of 3 × 3 m. Three months prior to transplanting of cocoa seedlings, farmers planted 450 suckers of plantain (at 3 × 3 m spacing) and 27 seedlings of Terminalia ivorensis and T. superba (at 12 × 12 m spacing) ha−1 as temporary and permanent shade respectively.
Field survey
The survey was conducted from November 2011 to March 2012. A baseline bio data of farmer trainees as well as previous knowledge of farmers in seed and cocoa production methods, information on transplanted seedlings were collected from participating farmers to determine the survival rate of transplanted seedlings over two successive seasonal dry periods in 2010/2011 and 2011/2012. The seedling survival rate was calculated as
Fifteen facilitators representing the various FLGs from all the selected communities were trained in November 2011 to mobilize selected farmers to count and record all survived and healthy cocoa seedlings on the 375 farm plots. In February 2012, two enumerators interviewed the sampled farmers and observed field conditions of their transplanted seedlings. On the basis of this exercise, primary datasets from the stratified random sample of 375 respondents were obtained. Since the survey focused explicitly on land holding characteristics and seedling survival rates, data collected related to gender of household, land use history and type, gender dis-aggregated data on number of transplanted seedlings and number of survived transplanted seedlings, type of cocoa rehabilitation approach (under planting or complete planting) employed and condition of cocoa trees at the time of the survey.
The survey employed a MDCS whereby a simple mobile phone was programmed with 25 questions to elicit information from farmers. The technology used a third-party Java-based application (Mobenzi Researcher©) that turned relatively low-cost internet-enabled mobile phones into a data collection tool. The high reliability of the MDCS have been demonstrated by a few studies on agricultural electronic data collection in developing countries (Andreatta et al., Reference Andreatta, Debpuur, Danquah and Perosky2011; Ashar et al., Reference Ashar, Lewis, Blazes and Chretien2010; Blaya et al., Reference Blaya, Fraser and Holt2010; Ganesan et al., Reference Ganesan, Prashant, Pushpa and Janakiraman2011; Muilerman and Schläpfer, Reference Muilerman2013; Nsanzimana, Reference Nsanzimana2012; Ozdalga, Reference Ozdalga2012; Robertson Reference Robertson2010; Schuster and Perez Brito, Reference Schuster and Perez Brito2011; Tomlinson, Reference Tomlinson2009; Zhang et al., Reference Zhang, Wu, van Beethoven, Chen, Car, Rudan, Zhang, Li and Scherpbier2012).
Data analysis
Survey data was analysed both qualitatively and quantitatively. Qualitative data were examined for patterns and themes which impinged on the objectives of the study using the descriptive statistics and classify (cluster) menus of the Statistical Package for Social Science (SPSS) software version 21. Appropriate boxplots and bar charts showing desired causal relationships were constructed for survival rate of seedlings and site related factors. Quantitatively, a multiple linear regression was used showing an interaction of gender and land use in the statistical package R. The functions aov() and summary() were used to fit the model. The model used is represented by the formulae:
where
$$\begin{equation*}
\begin{array}{l}
{\rm Survivalrate = survival\; rate\; of\; the\; cocoa\; hybrid\; seedlings\; expressed\; as\; a\; fraction,}\\
{\rm \alpha = intercepts\; (constant)\; of\; the\; regression\; lines,}\\
{\rm Gender = gender\; of\; respondents\; (male\; or\; female),}\\
{\rm Landuse = land\; type\; of\; the\; farm\; giving\; the\; history\; of\; the\; land\; at\; four\; levels\; be\; it}\\
\quad {\rm an\; old\; fallow\; (>15\; years),\; new\; fallow\; (1-14\; years),\; virgin\; forest\; and\; cropped}\\
\quad {\rm land,}\\
{\rm Farmtype = farm\; type\; giving\; the\; nature\; of\; the\; farm\; at\; three\; levels\; be\; it\; in\; a\; new}\\
\quad {\rm area,\; old\; area\; or\; both,}\\
{\rm Rehabilitation = the\; rehabilitation\; process\; at\; two\; levels,\; (i.e.,\; if\; it\; is\; under}\\
\quad {\rm planting\; or\; complete\; replanting),}\\
{\rm Farm\; size = farm\; sizes\; at\; three\; levels,\; small\; (between\; 0\; and\; 1\; ha),\; medium}\\
\quad {\rm (1-2\; ha)\; and\; larger\; (>2\; ha),}\\
{\rm Age = the\; age\; group\; of\; the\; famer\; in\; years,}\\
{\rm Gender\; {*}\; Landuse = interaction\; between\; gender\; and\; land\; use\; type,}\\
{\rm \epsilon_{\it i} = the\; residuals,\; which\; were\; assumed\; to\; be\; independent\; and}\\
\quad{\rm normally\; distributed\; was\; checked\; using\; the\; residual\; and\; qq-plots.}
\end{array}$$
\end{equation*}$$
The test for differences in the means of the independent variables using an F-test and the corresponding estimates were reported accordingly. In the course of the model estimation, it was assumed that the expected differences in the survival rates of cocoa hybrid seedlings between males and females were the same for all explanatory variables. Survival rate was modelled as a function of the explanatory variables: gender, land use type, age, farm type, rehabilitation processes and farm size. All six variables were treated as factors except age, which was modelled as a covariate. Non-significant variables were removed sequentially. Differences in the means of the independent variables were determined in a pairwise comparison using the Tukeys HSD at p < 0.05.
RESULTS AND DISCUSSIONS
Farmer perceptions and experiences with learning groups and community seed brokerage systems
In line with other cocoa farmer surveys conducted earlier (see for example, Fortson et al., Reference Fortson, Murray and Velyvis2011; Hainmueller et al., Reference Hainmueller, Hiscox and Tampe2011; Muilerman, Reference Muilerman2013), the sample population showed a male versus female split of roughly two-thirds to one-third, respectively. Nearly all respondents, representing 99% (n = 371) reported that they would like to go through the same cocoa SBS in subsequent seasons when given the opportunity. The remaining respondents confirmed having insufficient land for cocoa area expansion. This rate is surprisingly high since cases of total and full technology adoption by African smallholder farmers are relatively rare, and therefore calls for some further interpretation.
We surmise that this high reported percentage of the intent to adopt is as a result of a combination of factors: First, the bulk purchase and subsequent establishments of group nurseries to provide improved planting materials from the SBS under the FLG approach responded to a real and pressing need in cocoa farming communities given the observed critical spatial and time gaps in the seed distribution system. Second, there is a likelihood that a large number of respondents succumbed to providing socially acceptable responses. In addition, the majority of the sampled respondents went through a ‘natural selection’ by already having successfully followed through with the FLG on PRD trainings, which demonstrated their individual determination to become progressive farmers and a desire to succeed. Last, the use of structured learning group-based approaches employed in the FLG may have influenced their readiness to adopt innovations. The innovation was embedded in and sought to enhance the existing social structures and institutional dimensions for seed delivery, which is expected to enhance chances for adoption (van Huis et al., Reference van Huis, Jiggins, Kossou, Leeuwis, Röling, Sakyi-Dawson, Struik and Tossou2007). As a result, the level of trust that existed between researchers, extension staff and the farmers is believed to lead to a positive effect on adoption (Probst et al., Reference Probst, Adoukonou, Amankwah, Diarra, Vogl and Hauser2012).
Farmer conduct in cocoa planting
The study results show that farmers are both rehabilitating old farms and starting new ones, albeit with more farmers having established new farms (52%, n = 196). Majority of the new farms were established on fallow lands and virgin forests (63.5%, n = 238). Among these categories of farmers, a total new land area of 94 ha was found to have been added to existing cocoa land area. This practice has been documented by other authors who noted that farmers in Ghana and other West and Central African countries prefer cultivating cocoa on new areas due to the accumulated nutrients (forest rent) inherent in such soils (e.g., Anglaaere, Reference Anglaaere, Cobbina, Sinclair and McDonald2011; Asare, Reference Asare2005; Gockowski et al., Reference Gockowski, Robiglio, Muilerman and Agyeman2012; Ruf and Zadi, Reference Ruf and Zadi1998). This is confirmed by 99% (n = 371) of farmers who responded that the planted seedlings were mostly very healthy after two years of transplanting and two dry seasons. According to respondents, the practice is cost saving since it does not require the initial use of chemical fertilizers for soil fertility replenishment and other agro-chemicals used to combat diseases and pests compared to planting on lands whose nutrients have been exhausted after long continues cropping regimes. On the other hand, it poses a risk to existing forest lands as it hastens the rate of degradation. It is therefore not surprising that in 2002, the Ministry of Science and Environment identified in its environment report that cocoa cultivation is a major factor in environmental and forest degradation in the country (MSE, 2002).
Farm characteristics and factors affecting survival rate of hybrid cocoa seedlings
Results from Table 1 show a significant difference between farmers of the three farm size categories. Medium size farmers (1–2 ha) on the average have the highest survival rates compared to small (<1 ha) and large farms (>2 ha), giving an indication of the optimal manageable farm size per household.
Table 1. Age and condition of transplanted seedlings of sampled households by farm size in Ashanti, Brong-Ahafo, Eastern and Western regions of Ghana.

*SD denotes standard deviation of corresponding variable.
While additional information such as plant distribution and shading patterns in the field would be required to ascertain the observed patterns as per our analysis, clearly, households with a larger farm size would require more hands in transplanting seedlings in lines and to adapt subsequent management practices such as weeding and mulching among others to ensure optimal survival of transplanted seedlings. Not surprisingly, Afari-Sefa and Gockowski (Reference Afari-Sefa and Gockowski2009) found that in spite of intensive training received by farmers under Farmer Field School (FFS) programme, only 25% of beneficiary farmers planted their cocoa trees in lines due to the labour intensive nature of the practice. A majority of ex-trainees still opted for planting at stake followed by thinning-out of seedlings in spite of acknowledging the enormous benefits of transplanting in lines using the lining and pegging concept. This has obvious implications for policy advocacy related to the SBS and cocoa replanting and rehabilitation efforts promulgated by policy makers, private sector actors and development partners.
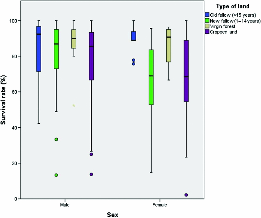
Results from the farm level study data also show that the mean survival rate of transplanted seedlings is 79% with men having a significantly higher (p < 0.000) survival rate of 82% compared to women (71%) (Figure 2). Similarly, Table 2 shows significant differences in survival rates of hybrid seedlings on the different types of land use. Farmers who transplanted on new fallows lost 8% of the seedlings compared to those who planted on long fallows (p = 0.02), while those who transplanted on already cropped land lost 10.5% of seedlings compared to transplanting on long fallows (p = 0.002). Similarly, farmers who transplanted onto already cropped lands lost 13% of seedlings compared to transplanting on virgin forests (p = 0.02).

Figure 2. Boxplots showing the mean distribution of the survival rates of transplanted hybrid cocoa seedlings in Ghana: (a) the mean survival rate of hybrid cocoa seedlings between male and female cocoa farmers in Ghana; (b) the mean distribution of survival rates of hybrid cocoa seedlings on different land types (old fallows i.e., >15 years, new fallows i.e., 1–14 years, virgin forest and cropped land) in Ghana; (c) the mean distribution of survival rate of hybrid cocoa seedlings according to the mode of rehabilitation in Ghana; (d) the mean distribution of survival rates of hybrid cocoa seedlings according to farm type (new area, old area, or both) in Ghana.
Table 2. Analysis of variance showing the effect of farm size, gender and land use types on survival rates of hybrid cocoa seedlings in Ashanti, Brong-Ahafo, Eastern and Western regions of Ghana.

*Significant at the p < 0.05 level.
There was a significant relationship of the interaction between gender and land use type, indicating a strong influence of gender on the performance and management of hybrid seedlings on farm plots (Table 2). Women who transplanted on new fallows lost about 15% of transplanted seedlings compared to their male counterparts (p < 0.0001) as illustrated on Figure 3. Similarly, women who planted on already cropped land lost about 10% of transplanted seedlings (p = 0.02).

Figure 3. Plots showing differences in mean distribution of the survival rates of hybrid cocoa seedlings between gender and land use types in Ashanti, Brong-Ahafo, Eastern and Western regions of Ghana.
In effect, survival rates among women were significantly lower on new fallow and cropped lands where soil fertility and health may be comparatively much poorer and they may not be able to invest the same amount of labour and agro-chemical for soil amendments as their male counterparts due to other household duty commitments they may be engaged in. This could be very much expected given the labour intensive nature of managing various cultural practices in cocoa farms that require optimal attention at all stages of crop growth.
Rural women typically combine their farming activities with a wide variety of household activities thereby spending relatively less time on the farm and/or tending to their crops. Also women tend to lose access to communal and household labour and spend more resources to hire-in labour for their farming activities compared to their male counterparts (Otoo-Oyortey and Peasgood, Reference Otoo-Oyortey and Peasgood1994). In addition, women's labour is mostly diverted to family and men's farms during times/seasons when difficult economic situations are experienced thereby resulting in decreased productivity on women's cocoa farms as asserted by Mikell (Reference Mikell1986). Therefore, where women cannot benefit from the forest rent and may not be able to counter this with higher labour and fertilizer investments, we surmise that a gender effect becomes apparent. However, this is not a sufficiently detrimental effect to advice against the participation of women as an average survival rate that averages 71% is still high and more than adequate rate to proceed with when rehabilitating or establishing new cocoa farms. In fact, this paper mainly shows that given the specialized gender division of labour for specific activities, with men dominating the production-related activities such as weeding and spraying and women dominating harvesting and postharvest handling and transport related activities, it is likely that there is wide disparity in the level of performance of seedlings on the field depending on whether a female or male is in charge of overall major farm level decision making. As a result, there is no reason for any intervention not to encourage women in rehabilitating or establishing new cocoa farms in the observed applicable land types (new fallow and cropped land).
In terms of age, results show no significant effect on the survival rate of seedlings. The reason for this statistically insignificant relationship could be due to the self-selection criteria usually employed for participating beneficiaries of farmer training programmes such that a farmer's access to planting materials and his/her motivation to plant and desire to properly manage the seedlings in the field were perhaps the prime motivating factors rather than participants’ age per say. On a more general level, the data in this survey as in other cocoa farm household surveys obscures the general challenge in cocoa farming that younger generations struggle to get access to cocoa farming land and associated resources. Looking at the age structure of the rural employed population in Ghana in general, as reported in a recent FAO report (2012), roughly three-quarters of the rural employed can already be found in the 15–44 age cluster. For the present study, the modal age is 45, with a median of 46 and mean of 47, which clearly and once again demonstrate that the youth in their optimal active working years are virtually absent in leading labour -intensive rehabilitation activities that would structurally upgrade the cocoa sector. Generally, the time people invest in cocoa farming, coincides with old age or at a time they are not physically much strong to work in the fields themselves. This calls for more attention to bringing on board farmer's adult children when embarking on rehabilitation trajectories. Future research should consequently consider measuring additional socio-economic variables such as educational level, number of active labour force, cost of establishing newly planted seedlings and dependency ratio of the house to build stronger typologies of participating cocoa farmers. Such studies might also benefit from a stratified sampling approach disaggregated by age to better reassert the causal relationship between age and survival rate of transplanted seedlings. In addition, measuring of growth parameters like height and diameter of seedlings will help to establish both survival and growth rates.
CONCLUSIONS
With current government's efforts to increase national cocoa production due to low productivity of over aged trees, there is the need to increase production of improved planting materials to rehabilitate old farms and establish new ones where necessary. This should be coupled with an efficient seed supply and distribution system that is based on a strong farmer demand patterns such as the establishment of a SBS to ensure that farmers’ seed request are met and supplied in a timely manner. This requires an enabling policy environment to support the institutionalization and scaling up of the SBS to facilitate the spatial and time gaps of farmer access to improved seeds to enhance productivity of smallholder cocoa production by smallholders.
Moreover, the survival rate of transplanted seedlings of improved cocoa planting materials was high regardless of the mode of rehabilitation and the type of land available to farmers. Even with the 11% difference in survival rates between men and women the success rate across all land types was quite appreciable. Despite the high survival rates, majority of respondents preferred planting in forest and fallow areas, thus increasing area under cocoa cultivation with consequent implication on existing forest lands. Nonetheless, the revelation that 36.5% of respondents also had equal success on cultivated lands presents a crucial opportunity since it provides answers to the possibilities of farmers to recycle already cropped lands instead of planting in fallow and forest lands to allow natural regeneration to occur and also reduce forest degradation. However, for this to happen, farmers need to observe good agricultural practices, which includes providing temporary and permanent shade, fertilizer application and observing the recommended planting distance for cocoa and other plant species.
Acknowledgements
The financial support of the Bill and Melinda Gates Foundation under the Cocoa Livelihood Project (CLP), USAID, the World Cocoa Foundation and the Sustainable Tree Crops Program of the International Institute of Tropical Agriculture (IITA) is gratefully acknowledged.




