Published online by Cambridge University Press: 28 February 2024
Leibniz's work resembles its author. A. Robinet has called it “an intellectual storm.” In its two hundred thousand pages of manuscript (most of it still unpublished) there are philosophical works that have nourished the thoughts of thinkers from generation to generation; mathematical texts of fundamental import (we all know of Leibniz as the founder - or rather co-founder - of infinitesimal calculus, but this triumph ought not to obscure his other contributions; for example, his being a precursor in the field of formal logic and the inventor of analysis situs); treatises on physics that have been relegated to obscurity by Newtonian mechanics but which may be in the process of being given new life because of the problems that the classic paradigm has encountered in the twentieth century; an impressive correspondence (approximately fifteen thousand letters, addressed to more than a thousand corespondents); significant contributions to fields as varied as theology, jurisprudence, history, politics and even technology (Leibniz did not scorn practical problems, and we find, alongside the most abstract of metaphysical systems, notes concerning the problem of Venice's sinking or the production of cognac).
1. M. Serres, in Le système de Leibniz et ses modèles mathématiques (Paris, P.U.F., 1982), has convincingly demonstrated this communication among the various parts of Leibniz's system. Moreover, the use of the term “intercommunication” [ entr'expression], which can be applied in general to communication among monads, is in itself significant. One of Serres's theses is that Leibniz's system contains struc tures similar to the world it describes.
2. It is crucial to differentiate here between this enterprise and those that we have just outlined above. We are not speaking of deducing, explaining, or accounting for Leibniz's philosophy on the basis of his mathematics; mathematics has no particular “priority” within his overall system. Rather it is a matter of “elaborating a system by giving the description of a given area the status of an index value” (hence one can as easily have chosen another area, since Leibniz's system is intrinsically hostile to any kind of linear formulation). Serres's particular choice, therefore, is not based on priority but because, as he writes, “the mathematical art is more transparent, more expressive than other possible indexes.” “The advantage of the mathematical art is only heuristic, or pedagogical.” It is also because this area is itself constituted into a system, that it is “systematized, as is the whole.”
3. Douglas Hofstadter's book Gödel, Escher, and Bach could quite easily have been expanded into Gödel, Escher, Bach and Leibniz.
4. What I propose to do here in regard to Leibniz's philosophy can be done, in my opinion, with any great philosophy. There is no such thing as a great but outdated philosophy.
5. There would no reason to take up the “translation” of the sphere that comes immediately to mind: infinitesimal calculus. This is because to do so would be no more than to repeat the work of Serres.
6. The question of whether one can legitimately speak here of a “new science” is a hotly debated point. Most of those who work in the field assert that it is a new sci ence and that we are in fact witnessing a change of paradigm. Others are often more circumspect, even if they do not go as far as R. Thom, who has argued that it would be best to stop dreaming about a “new” science, since “it wouldn't be long before this ‘new' science joined nouvelle cuisine, the ‘new right,' the ‘new philosophy,' and others, in the common grave of short-lived novelties.”
7. Monadologie, § 65 and 67. This passage is reminiscent of the famous text in which Pascal describes the two infinities. In fact, Leibniz later recopied and annotat ed this text, seeing in it “a way into my system.”
8. Mandelbrot, B., Les Objets fractals, Paris, Flammarion, 1989, p. 154.
9. Quoted by Mandelbrot in Les Objets Fractals. The study of curved lines of this type has led mathematicians to acknowledge that dimensionality is not an exclusive notion, and that it is indeed necessary to broaden it, that is, to introduce several dif ferent dimensions. Thus - notably - the “fractal dimension” can be defined as that quality possessed by an object that is not necessarily a whole number and that allows us to quantify the degree of irregularity and fragmentation of it as a whole (in the case of Koch's curve, it can be shown that this dimension is equal to log 4 / log 3 = 1.2618). The mathematical definition of the fractal thus causes this “fractal log 3 dimension” to arise.
10. Letter of 11 March, 1706, translated by Chr. Frémont (L'Etre et la relation, Paris, Vrin, 1981, pp. 83-84). This letter was quoted by Mandelbrot during a conference on philosophy and mathematics at the École normale supérieure. The text of this con ference has been published in Penser les mathématiques (Le Seuil, 1982). Mandelbrot often quotes Leibniz and is of the opinion that Leibniz's thought is the basis for many later developments in the fields of mathematics and physics. He sometimes even has cause to speak of his own Leibnizmania.
11. Leibniz defines these perceptions as “representations of the composite, or of that which is outside the simple.” That which is outside the simple is the whole uni verse. These “representations” are purely internal. They are representations of what is outside, but they “do not arrive from outside.” Monads do not have windows through which something might enter or leave. The monad derives all its represen tations from within its own depths. Each substance evolves according to an inner law, each develops the set of its predicates without any form of interaction with dif ferent substances. And if there is some correspondence among the transformations of the different substances, it is not because they act upon on another in any way, but rather because, at the moment of creation, God arranged things so that it would be this way for all time.
12. Monadologie, § 57.
13. Discours de Métaphysique, § 14.
14. Leibniz defines a necessary proposition (a necessarily true proposition) as a proposition whose opposite is contradictory, while a contingent proposition is one that is not necessary. Obviously, one is tempted to apply the very Leibnizian notion of a possible world in order to distinguish between these two types of propositions. B. Mates (The Philosophy of Leibniz, Oxford University Press, 1985), who has tried it, affirms that one can say that necessary propositions are those that are true in all possible worlds, while contingent propositions are only true in certain possible worlds (of which ours is one). While acknowledging that Leibniz himself never gave this explicit definition, he writes that it has “always [been] visible in the back ground.”
15. In fact, God reads in each substance not only its past and future but “the entire order of things in the universe.” This is because everything harmonizes, and because each monad envelops, in a certain sense, the entire universe. Even more importantly, each state of each substance contains the entire past and future of the universe. If Laplace's devil can determine the past and future of the entire universe by knowing, at any given moment, the state of all the beings who make up the uni verse, Leibniz's God can read the history of the entire universe in the instantaneous state of a single substance.
16. The least that can be said about this is that Leibniz (no more than Descartes, Pascal, or any other seventeenth-century thinker) did not understand the conven tional nature of mathematical axioms. Rather, he believed that these axioms were reducible to statements of identity, and that the task of the mathematician was to bring this reducibility to light, in effect to “prove” the axioms.
17. In truth, the freedom of God is quite limited. Because he is wise, God can only create the best of all possible worlds. God's choice is always determined by what is best, and this holds true for even the smallest details. There is always a reason for the way something is. One must therefore avoid defining the contingent as “that which happens without reason” (a definition that Leibniz himself called “contradic tory”). Contingent truths themselves are based on a certain kind of necessity, i.e., “moral necessity, which is the choice made by a wise man worthy of his wisdom.”
18. “De libertate” in Foucher de Careil (ed.), Nouvelles Lettres et Opuscules inédits de Leibniz, Paris, 1857, pp. 179-180. The solution offered by Leibniz in this text (and which can be found in several other texts) is not the only one he proposed. Those who have commented on this text are not in agreement on the value that should be attached to it.
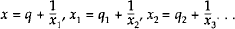
19. “Specimen inventorum” in C.I. Gerhardt (ed.), Die Philosophischen Schriften von G.W. Leibniz, Berlin, 1875-1890, vol. 7, p. 309.
20. Leibniz alludes to the decomposition of a real number into a continuous fraction.
If x is a positive real number, one can assert
where q 1, q 2, q 3, … are the largest whole numbers contained in x, x 1, x 2, … respectively, and therefore write

If x is a rational number
(where a and b are whole numbers), the process is finite, i.e, there is an n for which x n = q n and the procedure is equivalent to Euclid's algorithm for a division of the type a by b. The last q 1 that is not zero gives the “common measure” to a and b. If x is an irrational number the process is never-ending:

21. Grun, G., Leibniz. Textes inédits d'après les manuscrits de la Bibliothèque provinciale de Hanovre, T. I, Paris, P.U.F., 1948.
22. I. Prigogine and I. Stengers, in La Querelle du déterminisme (Paris, Gallimard, 1990, p. 250), make explicit reference to Leibniz in this regard.
23. The following model and analysis are based largely on the work of D. Ruelle, in Hasard et Chaos, Paris, Editions Odile Jacob, 1991, p. 56.
24. Obviously, the exponential growth could not continue: after thirty seconds the distance separating the two balls would already have grown to more than a kilome ter.
25. We should guard against thinking that the idea of a chaotic system is particu larly novel or exceptional. On the contrary, many systems studied by physics exhib it this same dependence and sensitivity to initial conditions. It would not be without interest to try to determine why it took such a long time to recognize the importance of these systems and why it is just now that we have begun to take them seriously.
26. This is the source of the pretty term “the butterfly effect” that describes this phenomenon. M. Berry has carried out a series of calculations that show the impor tance of this phenomenon. Thus, for example, it can be shown that if we take two molecules of oxygen at normal pressure and temperature, and subject one of them to the attraction of an electron at a distance of ten to the tenth power light years away, their trajectories (everything else being equal) will diverge completely (will cease to have anything in common) after only fifty collisions.
27. “À l'Électirce Sophie” in C.I. Gerhardt (ed.), Phil. Schriften, vol. 7, p. 567. Serres has quite accurately pointed out that alongside Leibniz's studies of falling weights and banging billiard balls (which are often the only elements of his physics that are still remembered), Leibniz developed an entire “physics of propagations,” that is, a series of studies devoted to phenomena of diffusion and transmission, to problems of elasticity, acoustics, the mechanics of fluids, and other subjects.
28. Deleuze, G., Le Pli, Leibniz, et le baroque, Paris, Editions de Minuit, 1988, p. 69.
29. Identical points exist only in the imaginary space of geometry; identical instants exist only in Cartesian mechanics. Absolute uniformity and absence of vari ety exist only in abstractions. I believe that Y. Beleval was correct in asserting a con trast between a kind of Cartesian Platonism and a Leibnizian Aristotelianism. Descartes, like Plato, had a tendency to believe that mathematical entities constitut ed a higher, purified reality, while Leibniz, like Aristotle, saw only abstraction there.
30. To this we can add that the aim of Leibniz is to conceive of movement as it occurs, and not, as with Descartes, ready-made. Also, as Beleval has pointed out, Leibniz develops, as opposed to Descartes, a philosophy of time (Cartesian philoso phy is of eternity) and of becoming, of the description of a world in the process of organization rather than of perpetuation. It seems to me that the authors of La Nouvelle Alliance paid relatively little attention to this aspect of Leibniz (which is analogous to their own way of thinking), preferring instead to emphasize what sep arates him from them (that is, the principle of reason and the affirmation of the equivalence of the total cause with the total effect, which condemns the world to an eternal repetition).