Health disparities by socioeconomic status are pervasive issues in the United States. Individuals from low socioeconomic background are more likely to develop a broad range of health conditions, including cardiovascular disease (Braveman, Cubbin, Egerter, Williams, & Pamuk, Reference Braveman, Cubbin, Egerter, Williams and Pamuk2010; Fiscella & Tancredi, Reference Fiscella and Tancredi2008), diabetes (Everson, Maty, Lynch, & Kaplan, Reference Everson, Maty, Lynch and Kaplan2002), some cancers (Singh, Williams, Siahpush, & Mulhollen, Reference Singh, Williams, Siahpush and Mulhollen2012), and have shorter life expectancies (Braveman et al., Reference Braveman, Cubbin, Egerter, Williams and Pamuk2010). Although the links between low socioeconomic status and poor health outcomes are well established, not all individuals from low socioeconomic backgrounds develop health problems. This observation suggests a need for research that identifies potential protective factors that may buffer some individuals from the health risks typically associated with low socioeconomic status (Chen & Miller, Reference Chen and Miller2012; Chen, Miller, Kobor, & Cole, Reference Chen, Miller, Kobor and Cole2011; Masten, Reference Masten2001). Of note, because the social environments and the types of stressors between low and high socioeconomic contexts can be vastly different, psychosocial factors that may be adaptive in high socioeconomic contexts may not have the same adaptive value in low socioeconomic contexts, or vice versa.
One conceptual framework that may help elucidate why certain psychosocial factors may be more adaptive in some, but not other, contexts, is to conceptualize social status as a cultural process (Cohen, Reference Cohen2009; Kraus, Piff, & Keltner, Reference Kraus, Piff and Keltner2011; Stephens, Markus, & Phillips, Reference Stephens, Markus and Phillips2014). Culture can be defined as an integrated constellation of practices, symbols, values, and ideals that are constructed and shared by a community, transmitted from one generation to the next, constantly renegotiated and subject to change, and operating at the individual and societal levels (Causadias, Reference Causadias2013; Causadias, Vitriol, & Atkin, Reference Causadias, Vitriol and Atkin2018b). This constellation of cultural features permeates the lives of all individuals, shaping the habitual tendencies of an individual's thoughts, feelings, and behaviors (Stephens, Markus, & Fryberg, Reference Stephens, Markus and Fryberg2012), and thus sets the stage for defining what may be adaptive and what may be maladaptive (Causadias, Reference Causadias2013; Cicchetti & Toth, Reference Cicchetti and Toth2009). In other words, culture may crucially shape the adaptive values of a psychosocial factor. Supporting this notion, suppression, which involves inhibiting emotion expressive behaviors (Gross & John, Reference Gross and John2003), has traditionally been labeled as a maladaptive emotion regulation strategy because of its links with worse psychological and social outcomes (Gross & John, Reference Gross and John2003; John & Gross, Reference John and Gross2004). However, studies have found that the habitual use of suppression was associated with these negative outcomes only among those with stronger European values, whereas the opposite was found among those with stronger East Asian values (Butler, Lee, & Gross, Reference Butler, Lee and Gross2007; Soto, Perez, Kim, Lee, & Minnick, Reference Soto, Perez, Kim, Lee and Minnick2011). This empirical evidence highlights the significance of considering culture in defining the adaptive values of psychosocial factors.
Burgeoning research has advanced in the understanding of culture to consider not only racial and ethnic values but also other forms of culture, such as religion and social status (Cohen, Reference Cohen2009; Kraus et al., Reference Kraus, Piff and Keltner2011; Stephens et al., Reference Stephens, Markus and Phillips2014). With respect to social status as a cultural process, researchers have begun to theorize and document cultural differences in beliefs, values, and practices within different socioeconomic groups. For example, studies have demonstrated that individuals from lower (vs. higher) socioeconomic backgrounds tended to have lower sense of control (Kraus, Piff, & Keltner, Reference Kraus, Piff and Keltner2009), explain social events in the world (e.g., economic inequality) with contextual, rather than dispositional, accounts (Kraus et al., Reference Kraus, Piff and Keltner2009), and prefer flexibility and adjusting selves to environments (Snibbe & Markus, Reference Snibbe and Markus2005). In turn, these cultural features associated with low socioeconomic status create the context or setting to define what psychological factors may be adaptive or maladaptive (Causadias, Reference Causadias2013).
In previous research, we identified a psychological factor at the individual level, called shift-and-persist, that appeared to be culturally adaptive specifically for individuals from low socioeconomic backgrounds (Chen & Miller, Reference Chen and Miller2012). Shift-and-persist refers to (a) the ability to shift by adjusting oneself (e.g., one's thoughts, feelings, and behaviors) to accommodate stressors through emotion regulation or goal adjustment and (b) the ability to persist by enduring adversity through finding meaning and maintaining optimism (Chen & Miller, Reference Chen and Miller2012). More specifically, shifting involves changing one's thoughts and feelings using reappraisal strategies (e.g., reinterpreting the situation as a positive learning opportunity) or changing one's behaviors (e.g., find alternative ways to attain goals) rather than changing the situation itself. Whereas shifting typically focuses on coping with specific stressors, persisting refers to the individual's broader outlook on life and the ability to find meaning in life despite adversity and to uphold a positive outlook on the future. As such, persisting typically involves enduring adversity by cultivating a sense of purpose and meaning in life as well as maintaining optimism.
Because low socioeconomic status is often associated with experiencing more uncontrollable stressors (e.g., exposure to neighborhood violence) and with greater external constraints for addressing them (e.g., lack of resources for dealing with stressors; Buka, Stichick, Birdthistle, & Earls, Reference Buka, Stichick, Birdthistle and Earls2001; Kraus et al., Reference Kraus, Piff and Keltner2009), individuals from low (vs. high) socioeconomic status may place more value on adjusting to life situations (Snibbe & Markus, Reference Snibbe and Markus2005). As such, coping using certain strategies such as shift-and-persist, which emphasize adapting to the situation rather than changing the situation, may be especially adaptive for this particular cultural group. By contrast, because high socioeconomic status is associated with greater resources and more options to directly tackle stressors, shift-and-persist may not be beneficial, or may even be harmful; instead, among those who are high in socioeconomic status, there may be adaptive benefits in the ability to confront stressors and work toward changing them. This idea that what is adaptive in one context may be different from what is adaptive in other contexts is also shared by other recent theoretical models, such as the adaptive calibration model (Del Giudice, Ellis, & Shirtcliff, Reference Del Giudice, Ellis and Shirtcliff2011). However, while the adaptive calibration model primarily focuses on explaining individual differences in biological stress reactivity as resulted from conditional adaptation across various environments or life histories, the shift-and-persist model focuses on psychological coping strategies that may have different adaptive values in different contexts, with consequences for the physiological responses to stressors.
This culturally fitting approach that values adapting self to environment and maintaining strength and optimism should help individuals cope with the many stressors associated with low socioeconomic status by more effectively lowering negative emotion and appraisal. In turn, this may mitigate physiological responses to stress (Chen, McLean, & Miller, Reference Chen, McLean and Miller2015), which over time may forestall the development of health conditions that are typically associated with low socioeconomic status. Several previous empirical studies support this notion (Chen, Lee, Cavey, & Ho, Reference Chen, Lee, Cavey and Ho2013; Chen et al., Reference Chen, McLean and Miller2015; Chen, Strunk, et al., Reference Chen, Strunk, Trethewey, Schreier, Maharaj and Miller2011; Kallem et al., Reference Kallem, Carroll-Scott, Rosenthal, Chen, Peters, McCaslin and Ickovics2013). In one study of healthy adolescents and their parents, greater use of shift-and-persist was associated with greater glucocorticoid sensitivity (more effective dampening of stimulated inflammatory responses in immune cells) only among adolescents and parents from lower socioeconomic status households (Chen et al., Reference Chen, McLean and Miller2015). Similarly, another study found that greater use of shift-and-persist was associated with lower body mass index only among youth from low-income families (Kallem et al., Reference Kallem, Carroll-Scott, Rosenthal, Chen, Peters, McCaslin and Ickovics2013). In addition, only among youth from lower socioeconomic households, greater use of shift-and-persist was associated with lower asthma-related inflammation cross-sectionally, as well as lower asthma impairment (fewer school absences and less use of a rescue inhaler) prospectively 6 months later (Chen, Strunk, et al., Reference Chen, Strunk, Trethewey, Schreier, Maharaj and Miller2011). In sum, convergent evidence supports the notion that one size does not fit all when it comes to determining which psychological coping strategies are associated with better health.
It is, however, important to acknowledge that socioeconomic status is a multidimensional construct that includes not only the objective characteristics of a family's background (typically measured by family income, education, and occupational status) but also the subjective perceptions that individuals have of their social standing (typically defined as the perceptions of one's social status, relative to others in society; Adler, Epel, Castellazzo, & Ickovics, Reference Adler, Epel, Castellazzo and Ickovics2000; Kraus et al., Reference Kraus, Piff and Keltner2011). Because previous research on shift-and-persist has only examined its protective effects in the context of objective socioeconomic circumstances, it remains unclear whether shift-and-persist would buffer the negative impact of subjective social status on health. Yet, a decade of research on subjective social status has linked lower subjective social status with various health outcomes (Cundiff & Matthews, Reference Cundiff and Matthews2017), including worse self- and nurse-rated health (Adler et al., Reference Adler, Epel, Castellazzo and Ickovics2000; Nobles, Weintraub, & Adler, Reference Nobles, Weintraub and Adler2013), greater metabolic risks (Demakakos, Nazroo, Breeze, & Marmot, Reference Demakakos, Nazroo, Breeze and Marmot2008), greater inflammation (Derry et al., Reference Derry, Fagundes, Andridge, Glaser, Malarkey and Kiecolt-Glaser2013), greater vulnerability to developing common colds (Cohen et al., Reference Cohen, Alper, Doyle, Adler, Treanor and Turner2008), impaired flow-mediated vasodilation (Cooper et al., Reference Cooper, Milic, Mills, Bardwell, Ziegler and Dimsdale2010), which has prospective links with cardiovascular outcomes (Gokce et al., Reference Gokce, Keaney, Hunter, Watkins, Menzoian and Vita2002, Reference Gokce, Keaney, Hunter, Watkins, Nedeljkovic, Menzoian and Vita2003; Yeboah, Crouse, Hsu, Burke, & Herrington, Reference Yeboah, Crouse, Hsu, Burke and Herrington2007), reduced gray matter in neural regions implicated in stress reactivity (Gianaros et al., Reference Gianaros, Horenstein, Cohen, Matthews, Brown, Flory and Hariri2007), and even greater mortality (Kopp, Skrabski, Rethelyi, Kawachi, & Adler, Reference Kopp, Skrabski, Rethelyi, Kawachi and Adler2004). Research also demonstrated that the effects of subjective social status cannot be explained by health behaviors (Euteneuer, Mills, Rief, Ziegler, & Dimsdale, Reference Euteneuer, Mills, Rief, Ziegler and Dimsdale2012) or by other subjective confounds such as negative affect (Adler et al., Reference Adler, Epel, Castellazzo and Ickovics2000; Kraus, Adler, & Chen, Reference Kraus, Adler and Chen2013). Crucially, this meta-analysis also demonstrated that the links between subjective social status and health were independent of objective measures of socioeconomic status (Cundiff & Matthews, Reference Cundiff and Matthews2017), suggesting that perceived social status may capture unique aspects of social class that are not represented in the objective measures. Hence, to extend previous research, the present study tested whether shift-and-persist would moderate the effects of perceived social status (as reported by parents) on youth's health.
Shift-and-persist is thought to be particularly adaptive for low-status individuals because it enables them to deal with the impact of the numerous uncontrollable stressors (Chen & Miller, Reference Chen and Miller2012) associated with their environments (Bird & Bogart, Reference Bird and Bogart2001; Brady & Matthews, Reference Brady and Matthews2002; Buka et al., Reference Buka, Stichick, Birdthistle and Earls2001). Previous research that tested the adaptive value of shift-and-persist has only examined it in the context of low socioeconomic status, and authors have inferred from the results that shift-and-persist is adaptive for individuals with low socioeconomic status because it allows individuals to deal with the impact of uncontrollable stressors. However, studies have yet to directly examine whether shift-and-persist strategies are associated with better health when people report experiencing a specific uncontrollable stressor. One kind of uncontrollable stressor is the experience of unfair treatment, an experience that pervades many Americans of different groups (e.g., religion, ethnicity, and socioeconomic status; Krieger, Reference Krieger2014). A recent survey using a large national sample found that most Americans of many ethnic, racial, and other identity groups believe their own group is targeted by unfair treatment (Neel, Reference Neel2017). In turn, these experiences of unfair treatment have been linked with poor health outcomes, including greater substance use (Gee, Delva, & Takeuchi, Reference Gee, Delva and Takeuchi2007; Krieger, Smith, Naishadham, Hartman, & Barbeau, Reference Krieger, Smith, Naishadham, Hartman and Barbeau2005), worse sleep (Beatty et al., Reference Beatty, Hall, Kamarck, Buysse, Owens, Reis and Matthews2011; Goldenhar, Swanson, Hurrell, Ruder, & Deddens, Reference Goldenhar, Swanson, Hurrell, Ruder and Deddens1998), higher blood pressure (Karlsen & Nazroo, Reference Karlsen and Nazroo2002; Krieger, Reference Krieger1990; Peters, Reference Peters2004), more prevalent cardiovascular disease (Harris et al., Reference Harris, Tobias, Jeffreys, Waldegrave, Karlsen and Nazroo2006), and higher rates of respiratory conditions (Gee et al., Reference Gee, Delva and Takeuchi2007; Karlsen & Nazroo, Reference Karlsen and Nazroo2002). A meta-analysis confirmed a small- to medium-sized inverse association between unfair treatment and physical health (Pascoe & Smart Richman, Reference Pascoe and Smart Richman2009). Given that shift-and-persist is theorized to be adaptive in buffering the negative health effects of uncontrollable stressors such as unfair treatment, people who experience unfair treatment should be protected from these negative health outcomes when they use shift-and-persist strategies. However, this hypothesis has yet to be empirically tested.
The Present Study
The present study investigated whether a hypothesized context-appropriate set of psychosocial strategies, shift-and-persist, would buffer the deleterious health effects of (a) low perceived family social status (as reported by parents) and (b) exposure to unfair treatment in a sample of youth aged 8 to 17 years. Although many health problems associated with low socioeconomic status do not manifest clinically until adulthood, important disparities begin in earlier stages of life, particularly in the context of asthma. Asthma affects the lives of 6.2 million American youth and is the top reason for missed school days, accounting for 13.8 million missed school days (Asthma in Schools, 2015). Of relevance to the scope of this paper, asthma disproportionately affects youths from families with lower socioeconomic status (National Health Interview Survey, 2015). In addition, asthma has also been implicated in the context of uncontrollable stressors, such as unfair treatment. For example, greater perceived unfair treatment was associated with greater asthma functional limitations (Koinis-Mitchell et al., Reference Koinis-Mitchell, McQuaid, Seifer, Kopel, Esteban, Canino and Fritz2007), poorer family asthma management practices (Coutinho, McQuaid, & Koinis-Mitchell, Reference Coutinho, McQuaid and Koinis-Mitchell2013), and poorer asthma control (Carlson et al., Reference Carlson, Borrell, Eng, Nguyen, Thyne, LeNoir and Thakur2017; Thakur et al., Reference Thakur, Barcelo, Borrell, Singh, Eng, Davis and Burchard2017). Because of the high prevalence and impact of asthma in youth, recruiting a sample of youth with asthma allowed us to study the adaptive values of shift-and-persist in a disease context in children.
In this study, we propose that one size does not fit all when it comes to the adaptive values of psychosocial factors, namely, coping strategies. Specifically, we propose that the adaptive benefits of shift-and-persist would vary as a function of the context, such that shifting the self to accommodate stressors and persisting through adversity with meaning-finding and optimism would only be beneficial in contexts where individuals are faced with greater uncontrollable stressors. We tested this by examining the buffering effects of shift-and-persist in the context of low (vs. high) perceived family social status and in the context of an uncontrollable stressor, unfair treatment. Specifically, we hypothesized that among youths from families of low (vs. high) parent-reported perceived social status, greater use of shift-and-persist would be associated with fewer daily asthma symptoms, better asthma control, and better quality of life (Hypothesis 1). We also hypothesized that among youths who experienced high (vs. low) unfair treatment, greater use of shift-and-persist would be associated with fewer daily asthma symptoms, better asthma control, and better quality of life (Hypothesis 2). Finally, because culture is not a static construct (Causadias, Reference Causadias2013), the adaptive value of shift-and-persist may differ across development. Therefore, we further conducted exploratory analyses to test whether the interactions between social status and shift-and-persist would be different across different ages.
Method
Participants
Participants were 308 youths (55% female), aged 8 to 17 years, who had been physician diagnosed with asthma. Fifty percent of the participants were White, 20% were Black, 8% were Asian, 8% were Latino/a, and 14% were of multiple races/ethnicities. They were recruited through a health care system, NorthShore University HealthSystem, and a federally qualified health center, Erie Family Health Center, as part of a larger research project. Families were required to be fluent in English. Youths had no current diagnosis or history of any chronic physical illnesses (except for asthma) and had no acute illness at the time of visit. Youths gave written assent, and parents provided written consent. This study was approved by Northwestern, NorthShore, and Erie Institutional Review Boards.
Procedure
Youths visited the research lab with one parent (88% mothers) and completed assessments described below as part of a larger research study. Beginning the day after the lab visit, youths completed measures of asthma symptoms for 14 consecutive days and nights. Specifically, youths received a diary card and were instructed to complete it each morning and each night. Each morning (at wake-up), youths rated asthma symptoms experienced during the previous night and each night (at bedtime), youths rated asthma symptoms experienced during the day (see Table 1 for a summary of sample characteristics). Participants were also given a date-and-time stamper to use with the diaries to ensure that they completed diaries at the requested times of day. After 14 days, participants mailed the diary card back with the provided stamped envelope. Diary completion rates were good: 91% of the youths filled out all 14 days of diaries.
Table 1. Demographic features, descriptive statistics, and simple correlations among study variables (N=308)

Note: Descriptive statistics provide means (with standard deviations in parentheses) for the study variables and frequencies for race/ethnicity and gender. Gender (female = 0.5, male = –0.5) and race/ethnicity (White = 0.5, non-White = –0.5) were effect-coded. ICS refers to inhaled corticosteroid and BA refers to beta agonist. The average family income falls in the $50,000 to $74,999 category. Higher asthma control scores reflect better asthma control. Higher scores on asthma quality of life indicate better asthma quality of life. *p < .05.
Measures
See Table 1 for descriptive statistics of all measurements. Except for the daily asthma symptoms measure, all measures below were completed during the visit to the research lab.
Shift-and-persist
Youths completed the Shift-and-Persist Questionnaire to assess how often they adjusted themselves to stressors (shift) and endured adversity with strength (persist), on a 1 (not at all) to 4 (a lot) scale (Chen et al., Reference Chen, McLean and Miller2015). This scale has been shown to have good reliability and validity in samples of adults and adolescents (Chen et al., Reference Chen, McLean and Miller2015). We added six items (two intended for shift and four intended for persist) to both include simplified wording and to describe additional aspects of the shift-and-persist model that were not assessed in the original scale (see Table 2 for items). Specifically, although the shift-and-persist model broadly conceptualizes shift as adjusting different components of self to the external environment, the original shift scale was largely characterized only by internally shifting cognition and emotion (e.g., cognitively reframing the situation to feel better). Therefore, based on the shift-and-persist model that shifting can also entail changing external behaviors to continue goal pursuit (Chen & Miller, Reference Chen and Miller2012), we developed an item that describes externally shifting self by adjusting goal-seeking behaviors (i.e., “When something doesn't turn out the way I want, I try and find other ways to get to the goal that I had wanted”). In addition, the original shift scale was largely characterized by positive-mind-set reappraisal (reframing the situation in more positive light; McRae & Mauss, Reference McRae, Mauss, Greene, Morrison and Seligman2016), but recent research suggests that there is heterogeneity in how reappraisal is implemented (McRae, Ciesielski, & Gross, Reference McRae, Ciesielski and Gross2012; Shiota & Levenson, Reference Shiota and Levenson2012). Therefore, to better capture this heterogeneity, we developed an item to measure the use of neutral-mindset reappraisal (i.e., When something doesn't turn out the way I want, I tell myself that everything will be all right; McRae et al., Reference McRae, Ciesielski and Gross2012; Shiota & Levenson, Reference Shiota and Levenson2012). We also made improvements to the persist scale. Specifically, the shift-and-persist model suggests a component of optimism (Chen et al., Reference Chen, McLean and Miller2015; Chen & Miller, Reference Chen and Miller2012) that was not represented in the original persist scale. Therefore, referencing and adapting items from the Life Orientation Test—Revised (Scheier, Carver, & Bridges, Reference Scheier, Carver and Bridges1994), we developed four items to tap optimism (e.g., a reverse item: “I don't have hope that things will get better in the future”).
Table 2. Confirmatory factor analysis with standardized estimates (and 95% confidence intervals in brackets) obtained using full-information maximum likelihood estimation (N = 308)

Note: *Denotes that the item was newly added to the shift-and-persist scale.
To ensure that the internal structure was maintained for this revised scale in this younger sample of youths, a confirmatory factor analysis was conducted to test a two-factor (shift and persist factors) model with an oblique structure. We followed the recommendations by Russell (Reference Russell2002) in selecting an estimation method and evaluating the model fit. Specifically, we tested and found that the data was not multivariate normal using a Doornik–Hansen omnibus test, χ2 (26) = 469.87, p < .001. Due to nonnormality of the data, maximum likelihood parameter estimates with standard errors and chi-square statistics that are robust to nonnormality were computed using a sandwich estimator (Bentler & Yuan, Reference Bentler and Yuan1999). In addition, we opted to use full-information maximum likelihood (FIML) estimation because Monte Carlo studies suggested that FIML provided more accurate estimates of model parameters than listwise exclusion of cases with missing data (Enders & Bandalos, Reference Enders and Bandalos2001). Finally, we followed the recommendations by Russell (Reference Russell2002) and Hu and Bentler (2002) to include two model fit indices: standardized root mean square residual (SRMR) and comparative fit index (CFI; Bentler, Reference Bentler1990). A SRMR value of 0.08 or less (Russell, Reference Russell2002) and a CFI value of 0.95 or higher (Hu & Bentler, Reference Hu and Bentler1999) were used as criteria for indications of good model fit. The confirmatory factor analysis suggested that the two-factor (shift factor and persist factor) model resulted in good model fit as reflected by both fit indices, SRMR = 0.04 and CFI = 0.96. In addition, the factor loadings for all shift-and-persist items were significant, suggesting that each item was associated with the hypothesized latent factor (see Table 2). As hypothesized, these results support the idea that shifting oneself to accommodate stressor and persisting through adversity with optimism are separate constructs.
Nevertheless, because we observed a substantial correlation between the shift latent factor and the persist latent factor, standardized estimate = 0.56, p < .001, we conducted another confirmatory factor analysis to test a single-factor model. Like the previous model, the FIML estimation method was used and parameter estimates robust to nonnormality were computed. Results suggested that the single-factor model has poorer fit than the two-factor model as reflected by an increase in SRMR value (from 0.04 to 0.08) and a decrease in CFI value (from 0.96 to 0.76). To test whether the model fit between the single-factor model and the two-factor model was statistically different, the Satorra–Bentler chi-squared difference test was conducted. Consistent with the shift-and-persist model, results suggested that the chi-squared fit indices for the single-factor model, χ2 (65) = 247.99, and for the two-factor model, χ2 (64) = 93.71, were significantly different, Satorra–Bentler scaled χ2 = 85.11, p < .001, suggesting that the two-factor model had better model fit than the single-factor model.
In sum, the confirmatory factor analysis results support the idea that shifting self to stressors and persisting with optimism are related, but separate, constructs. Therefore, we computed a shift score by averaging across the six shift items. We then created a persist score by averaging across the seven persist items (see Table 2). Next, because we conceptualized that these two separate constructs have the greatest impact on health when used in combination, we created a composite by averaging the shift and persist scores. This scoring method is consistent with previous research on shift-and-persist (Chen et al., Reference Chen, McLean and Miller2015; Kallem et al., Reference Kallem, Carroll-Scott, Rosenthal, Chen, Peters, McCaslin and Ickovics2013).
Parent report of perceived family social status
Subjective perceptions of social status were reported by parents using the MacArthur Scale of Subjective Social Status (Adler & Stewart, Reference Adler and Stewart2007), a commonly used scale with established validity, including associations with objective socioeconomic status measures and with health outcomes (Adler et al., Reference Adler, Epel, Castellazzo and Ickovics2000; Chen & Paterson, Reference Chen and Paterson2006; Demakakos et al., Reference Demakakos, Nazroo, Breeze and Marmot2008). Specifically, parents were presented with a picture of a 10-rung “social ladder” and were asked to place themselves in comparison with others in society on the ladder, with higher (vs. lower) rungs representing those in the United States with more money, education, and respected jobs. Higher ratings indicate higher perceived social status. We opted to have parents, instead of youths, complete this measure because (a) we were interested in the social status of the family as a unit (not of the individual child); and (b) research suggests that youth younger than 15 have lower test–retest reliability on perceived social status measures than older adolescents (Goodman et al., Reference Goodman, Adler, Kawachi, Frazier, Huang and Colditz2001). Given that our sample included youth as young as 8, we therefore relied on parent report.
Unfair treatment
Youths reported perceived unfair treatment using the Everyday Discrimination Scale (Williams, Yan, Jackson, & Anderson, Reference Williams, Yan, Jackson and Anderson1997), a reliable and valid scale (Clark, Coleman, & Novak, Reference Clark, Coleman and Novak2004; Taylor, Kamarck, & Shiffman, Reference Taylor, Kamarck and Shiffman2004) commonly used to assess overall unfair treatment (Beatty et al., Reference Beatty, Hall, Kamarck, Buysse, Owens, Reis and Matthews2011; Jang, Chiriboga, & Small, Reference Jang, Chiriboga and Small2008; Lee & Bierman, Reference Lee and Bierman2016). This scale includes 10 items assessing how often youths experienced unfair treatment in their everyday lives (e.g., “You are treated with less courtesy than other people”), rated on a 1 (never) to 4 (often) scale and summed such that higher scores indicated greater experience of perceived unfair treatment, α = 0.85.
Asthma control
Asthma control was reported by youths using a modified versionFootnote 1 of the Asthma Control Test™, a reliable and valid scale commonly used in clinical settings (Nathan et al., Reference Nathan, Sorkness, Kosinski, Schatz, Li, Marcus and Pendergraft2004). This scale includes five items assessing asthma symptoms, use of rescue medications, the effects of asthma on daily functioning, and perceived asthma control over the past 4 weeks, rated on a 5-point scale and summed such that higher scores indicated better asthma control, α = 0.74.
Asthma quality of life
Quality of life was reported by youths using the Pediatric Asthma Quality of Life Questionnaire (Juniper et al., Reference Juniper, Guyatt, Feeny, Ferrie, Griffith and Townsend1996), which has established reliability and validity (Juniper et al., Reference Juniper, Guyatt, Feeny, Ferrie, Griffith and Townsend1996; Juniper, Guyatt, Feeny, Griffith, & Ferrie, Reference Juniper, Guyatt, Feeny, Griffith and Ferrie1997). This scale includes 23 items assessing functioning across three domains: physical (e.g., “How bothered have you been by coughing?”), emotional (e.g., “How often did you feel frustrated because of your asthma?”), and social (“How much were you bothered by your asthma during activities done in the past week?”), each rated on a 7-point scale and all averaged such that higher scores indicated better quality of life, α = 0.94.
Daily asthma symptoms
Youths completed a series of diaries each morning and night for 14 consecutive days. For each entry, youths completed four items assessing their asthma symptoms (e.g., coughing from asthma) experienced during the previous night and during the day on a 0 (none) to 4 (really bad) scale. We averaged across the four items for each night (αs = 0.72 –0.89) and each day (αs = 0.75–0.88), then averaged the daytime and nightime scores to create 14 composites of asthma symptoms, rs = .55–.79. Finally, these daily scores were summed across all 14 days to create a composite such that higher scores indicated more daily asthma symptoms.
Covariate variables
Demographic variables, objective socioeconomic status, and medical variables were assessed as covariates. Demographic variables included youth age, gender (male vs. female), and race/ethnicity (White vs. non-White). Objective socioeconomic status was assessed with family income (MacArthur Research Network on Socioeconomic Status and Health, 2008; Oakes & Rossi, Reference Oakes and Rossi2003) and parental education (the higher number of years of education between the two parents) reported by parents. Medical covariates included asthma severity (1 = mild intermittent to 4 = severe) determined from the National Asthma Education and Prevention Program/Expert Panel Report 2 guidelines based on the higher of symptom frequency and medication use (Bacharier et al., Reference Bacharier, Strunk, Mauger, White, Lemanske and Sorkness2004), and use of inhaled corticosteroids and use of beta agonists (number of times in the past week).
Statistical analyses
First, we tested whether perceived social status moderated the associations between shift-and-persist and asthma outcomes in a series of hierarchical regression analyses. Specifically, asthma outcomes (i.e., asthma control, asthma quality of life, and daily asthma symptoms) were predicted from (a) main effects of covariates; (b) main effects of perceived social status and shift-and-persist; and (c) the interaction between perceived status and shift-and-persist. In the first set of regressions, only a basic set of demographic variables (youth age, gender, and ethnicity) were included as covariates. Next, to test whether perceived social status by shift-and-persist interactions held when additionally controlling for objective socioeconomic status, we included two measures of objective socioeconomic status (family income and parental education) as covariates. We also tested whether the perceived social status by shift-and-persist interactions existed above and beyond the objective socioeconomic status by shift-and-persist interactions with two separate regression analyses: one to test whether effects were beyond family income by shift-and-persist interaction while controlling for parental education and one to test whether effects were beyond parental education by shift-and-persist interactions while controlling for family income. Specifically, asthma outcomes were predicted from (a) demographic covariates; (b) family income, parental education, perceived social status, shift-and-persist; and (c) the interaction term between perceived social status and shift-and-persist and the interaction term between one of the objective socioeconomic status measures and shift-and-persist. Furthermore, because we later test interactions with unfair treatment with the same sample, we tested whether the perceived social status by shift-and-persist interactions were independent of unfair treatment by entering unfair treatment as a covariate. Finally, to ensure that interactions were not due to potential confounds in medication use and asthma severity, these variables were added as covariates in addition to the demographic covariates.
Second, we tested whether unfair treatment moderated the associations between shift-and-persist and asthma outcomes with a similar series of hierarchical regression analyses, with unfair treatment replacing perceived social status. In the first set of regressions, a set of demographic variables (age, gender, and ethnicity) was entered as covariates. Next, to test whether perceived social status by shift-and-persist interactions held when controlling for objective socioeconomic status, we included family income and parental education as covariates. Furthermore, we tested whether the unfair treatment by shift-and-persist interactions were independent of the findings from the above analyses in the context of parent-reported perceived social status by entering it as a covariate. Finally, to ensure that interactions were not due to potential confounds in medication use and asthma severity, these variables were added as covariates.
In all analyses, continuous predictors were mean-centered and dichotomous predictors were effect-coded. Significant interaction effects were followed up with tests of simple slopes between shift-and-persist and asthma outcomes at ±1 SD from the mean of perceived social status, or unfair treatment. In addition, for both sets of analyses, we conducted secondary analyses testing whether the interactions were consistent across development by testing the three-way interaction (age by perceived social status, or by unfair treatment, by shift-and-persist) on asthma outcomes.
Results
Preliminary analyses
Correlations among study variables are presented in Table 1. Age was not associated with shift-and-persist, r = .09, p = .122, suggesting that use shift-and-persist did not vary across development. Parent-reported perceived family social status was significantly related to family income, r = .60, p < .001, and parental education, r = .21, p < .001. The overlap indicated by these correlations suggests that parents partially factor in their income and education when making their rating of perceived social status. However, the fact that the correlations were not close to 1 suggests that parents were also considering other factors when making this rating.
Hypothesis 1: Perceived family social status by shift-and-persist interactions on asthma outcomes
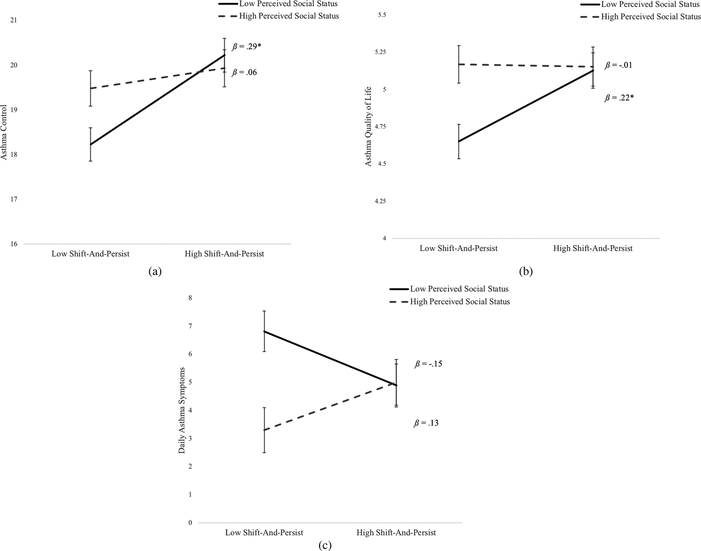
All primary regression results are summarized in Table 3. There was a significant interaction between parent-reported perceived family social status and shift-and-persist predicting asthma control with no main effect of perceived social status and a main effect of shift-and-persist. Specifically, shift-and-persist was associated with better asthma control only among youths from families of lower perceived social status, β = .29, p < .001, but not for youths from families of higher perceived social status, β = .06, p = .506 (Figure 1a).

Figure 1. Interaction between perceived social status and shift-and-persist predicting (a) asthma control, (b) asthma quality of life, and (c) daily asthma symptoms, controlling for demographic variables. The standardized regression coefficients (βs) and p value notations refer to the estimated regression lines for the links between shift-and-persist and asthma outcome at ±1 SD of perceived social status. Low and high shift-and-persist also refers to ±1 SD. Error bars reflect standard errors of asthma outcome scores. *p < .05.
Table 3. Hierarchical regression analyses of perceived social status and shift-and-persist predicting asthma outcomes (N = 308)

Note. Gender (female = 0.5, male = –0.5) and race/ethnicity (White = 0.5, non-White = –0.5) were effect-coded. ICS refers to inhaled corticosteroid and BA refers to beta agonist. Bolded statistics indicate significant results (p < .05).
Similarly, there was a significant interaction between parent-reported perceived family social status and shift-and-persist predicting quality of life with no main effect of perceived social status and a main effect of shift-and-persist. Specifically, shift-and-persist was associated with better quality of life only among youths from families of lower perceived social status, β = .22, p = .002, but not for youths from families of higher perceived social status, β = –.01, p = .910 (Figure 1b).
In addition, there was also a significant interaction between parent-reported perceived family social status and shift-and-persist predicting daily asthma symptoms with a main effect of perceived social status and no main effect of shift-and-persist. Specifically, shift-and-persist was associated with fewer daily asthma symptoms only among youths from families of lower perceived social status, β = –.15, p = .05, but not for youths from families of higher perceived social status, β = .13, p = .140 (Figure 1c).
Robustness of the perceived social status by shift-and-persist interactions
The parent-reported perceived family social status by shift-and-persist interactions on all asthma outcomes remained significant when additionally controlling for family income and parental education, |ß|s ≥ .13, ps ≤ .03, suggesting that the adaptive values of shift-and-persist depended on perceived social status, when objective socioeconomic status was held constant. We further tested whether the perceived social status by shift-and-persist interactions on asthma outcomes were above and beyond the objective socioeconomic status by shift-and-persist interactions. Results suggested that the perceived social status by shift-and-persist interactions remained significant when controlling for the parental education by shift-and-persist interactions, interaction |ß|s ≥ .12, p ≤ .032. In addition, the perceived social status by shift-and-persist interaction on daily asthma symptoms remained significant when controlling for family income, ß = .17, p = .026. However, the perceived social status by shift-and-persist interactions was no longer significant for asthma quality of life, ß = –.14, p = .054, and for asthma control, ß = –.10, p = .162.
Furthermore, perceived social status by shift-and-persist interactions on all asthma outcomes remained significant when controlling for unfair treatment, |ß|s ≥ .11, ps ≤ .049. Finally, the interactions on all asthma outcomes remained significant when further controlling for objective medical covariates (severity, use of inhaled corticosteroid, and use of beta agonist), interaction |ß|s ≥ .11, ps ≤ .043, suggesting that the adaptive values of shift-and-persist among low perceived social status were not primarily driven by potential medical confounds.
Consistency of the perceived social status by shift-and-persist interactions across development
There were no significant three-way interactions of age by perceived social status by shift-and-persist for any asthma outcomes, interaction |ß|s ≤ .05, ps ≥ .366, suggesting that the perceived social status by shift-and-persist interactions remained consistent across different ages.
Hypothesis 2: Unfair treatment by shift-and-persist interactions on asthma outcomes
All regression results are summarized in Table 4. There was a significant interaction between unfair treatment and shift-and-persist predicting asthma control with significant main effects of unfair treatment and shift-and-persist. Specifically, shift-and-persist was associated with better asthma control only among youths who experienced more unfair treatment, β = .28, p < .001, but not for youths who experienced less unfair treatment, β = –.05, p = .713 (Figure 2a). Similarly, there was a significant interaction between unfair treatment and shift-and-persist predicting quality of life with a significant main effect of unfair treatment and no main effect of shift-and-persist. Specifically, shift-and-persist was associated with better quality of life only among youths who experienced more unfair treatment, β = .16, p = .043, but not for youths who experienced less unfair treatment, β = –.07, p = .496 (Figure 2b). However, the interaction between unfair treatment and shift-and-persist predicting daily asthma symptoms was not significant, with a main effect of unfair treatment and no main effect for shift-and-persist.

Figure 2. Interaction between unfair treatment and shift-and-persist predicting (a) asthma control and (b) asthma quality of life, controlling for demographic variables. The standardized regression coefficients (βs) and p value notations refer to the estimated regression lines for the links between shift-and-persist and asthma outcome at ±1 SD of unfair treatment. Low and high shift-and-persist also refers to ±1 SD. Error bars reflect standard errors of asthma outcome scores. *p < .05.
Table 4. Hierarchical regression analyses of unfair treatment and shift-and-persist predicting asthma outcomes (N = 308)

Note: Gender (female = 0.5, male = –0.5) and race/ethnicity (White = 0.5, non-White = –0.5) were effect-coded. ICS refers to inhaled corticosteroid and BA refers to beta agonist. Bolded statistics indicate significant results (p < .05).
Robustness of the unfair treatment by shift-and-persist interactions
The unfair treatment by shift-and-persist interactions on asthma control remained significant when controlling for family income and parental education, ß = .17, p = .002, whereas the interaction on asthma quality of life was not significant, ß = .10, p = .059. Furthermore, the unfair treatment by shift-and-persist interactions on asthma control and asthma quality of life remained significant when controlling for parent-reported perceived social status, interaction |ß|s ≥ .12, ps ≤ .03, suggesting the unfair treatment by shift-and-persist interactions were independent of the perceived social status effects. In addition, the unfair treatment by shift-and-persist interactions on asthma control and asthma quality of life remained significant when controlling for medical covariates, |ß|s ≥ .11, ps ≤ .04, suggesting that the adaptive values of shift-and-persist among high unfair treatment was not driven by potential medical confounds.
Consistency of the unfair treatment by shift-and-persist interactions across development
There were no significant three-way interactions of age by unfair treatment by shift-and-persist for any asthma outcomes, interaction |ß|s ≤ .05, ps ≥ .398, suggesting that the unfair treatment by shift-and-persist interactions were relatively consistent across different ages.
Discussion
The results from this study suggest that one size does not fit all when it comes to adaptive coping strategies and asthma outcomes. How shift-and-persist strategies related to youth asthma outcomes depended on perceived family social status and on stressor experience. Specifically, we found that shift-and-persist was associated with better asthma control, better quality of life, and fewer daily asthma symptoms only among youths from families where parents reported lower (vs. higher) perceived family social status. In addition, shift-and-persist was associated with better asthma control and better quality of life only among youths who experienced more (vs. less) unfair treatment. These findings remained significant even after controlling for objective socioeconomic status and medical covariates.
These results are consistent with previous research that found benefits of shift-and-persist only among individuals from objectively lower socioeconomic backgrounds (i.e., individuals with lower family income or savings; Chen et al., Reference Chen, McLean and Miller2015; Chen, Strunk, et al., Reference Chen, Strunk, Trethewey, Schreier, Maharaj and Miller2011), as well as the broader literature on psychological resources buffering the deleterious health correlates with low socioeconomic status (Finkelstein, Kubzansky, Capitman, & Goodman, Reference Finkelstein, Kubzansky, Capitman and Goodman2007; Taylor & Seeman, Reference Taylor and Seeman1999). Previous research has suggested that one reason why shift-and-persist is particularly adaptive in low socioeconomic contexts may be because it provides a way for individuals with low socioeconomic status to cope with the impact of stressors without needing to act on the stressor itself. The present study extends previous research by examining the adaptive values of shift-and-persist as a function of a family's perception of their social status.
Conceptualizing social status as a cultural process (Cohen, Reference Cohen2009; Kraus et al., Reference Kraus, Piff and Keltner2011; Stephens et al., Reference Stephens, Markus and Phillips2014) helps explain why shift-and-persist may be more adaptive in contexts of low, but not high, social status. Culture involves an integrated constellation of practices, symbols, values, and ideals shared by a community (Causadias, Reference Causadias2013; Causadias et al., Reference Causadias, Vitriol and Atkin2018b); these pervasive cultural features crucially shape the definition of what may be adaptive or maladaptive (Causadias, Reference Causadias2013; Cicchetti & Toth, Reference Cicchetti and Toth2009). For example, with respect to socioeconomic status in particular, individuals with lower (vs. higher) socioeconomic status may have experiences in their day-to-day lives (e.g., more frequent uncontrollable stressors, more variable family routines) that make it more adaptive to adjust the self in response to adversity, rather than trying to change their environments (Chen & Miller, Reference Chen and Miller2012; Stephens et al., Reference Stephens, Markus and Phillips2014). Of note, this conception of social class as multifaceted culture allows both objective and subjective factors to shape people's membership in cultural groups and the patterns of behaviors that may be adaptive for health. Previous research using objective markers of cultural group membership has found that individuals who think, feel, or behave in ways consistent with cultural models tended to be healthier (Dressler, Balieiro, Ribeiro, & Dos Santos, Reference Dressler, Balieiro, Ribeiro and Dos Santos2016; Dressler & Bindon, Reference Dressler and Bindon2000; Levine et al., Reference Levine, Miyamoto, Markus, Rigotti, Boylan, Park and Ryff2016). For example, previous research found that independent self-construal was associated with healthier diets in the United States (where independence is emphasized), whereas interdependent self-construal was associated with healthier diets in Japan (where interdependence is emphasized; Levine et al., Reference Levine, Miyamoto, Markus, Rigotti, Boylan, Park and Ryff2016). In addition, studies have also found that individuals whose behaviors and values were consistent with the shared cultural model had lower blood pressure (Dressler, Balieiro, Ribeiro, & Dos Santos, Reference Dressler, Balieiro, Ribeiro and Dos Santos2005) and lower systemic inflammation (Dressler et al., Reference Dressler, Balieiro, Ribeiro and Dos Santos2016). The present research builds on and extends these findings by showing that the positive health outcomes associated with fitting cultural models are also found when cultural group membership is measured subjectively (i.e., using parent-reported perceived social status).
This study also suggests that shift-and-persist has relevance for asthma outcomes. If this is truly a causal effect, through what pathways could shift-and-persist influence downstream disease outcomes? Asthma has been shown to be exacerbated by psychological stress (Chen & Miller, Reference Chen and Miller2007; Wright, Rodriguez, & Cohen, Reference Wright, Rodriguez and Cohen1998). As such, because shift-and-persist may enable more successful coping with stressors, it may ameliorate downstream physiological processes that worsen asthma (e.g., allergen sensitivity, airway inflammation, and bronchial constriction). In addition, shift-and-persist may also influence asthma outcomes via behavioral pathways, such as through affecting the behavioral management of asthma. For example, shift-and-persist may enable an individual to lower the negative impact of stress, which may in turn be linked with better management of asthma (Shalowitz, Berry, Quinn, & Wolf, Reference Shalowitz, Berry, Quinn and Wolf2001) and greater adherence to medical treatments (Cluley & Cochrane, Reference Cluley and Cochrane2001).
Secondary analyses revealed no evidence that age moderated the subjective social status by shift-and-persist interactions or the unfair treatment by shift-and-persist interactions, suggesting that this coping strategy was similarly adaptive across younger and older youths. In addition, there was also no evidence for age difference in youths’ report of shift-and-persist strategies. The conceptual model of shift-and-persist theorizes that the development of this coping strategy depends on the broader social context (e.g., presence of a role model in family or school environments to teach youth emotion regulation and meaning in life; Chen & Miller, Reference Chen and Miller2012; Chen et al., Reference Chen, Lee, Cavey and Ho2013). One study found shift-and-persist to partially mediate the association between presence of role model and lower inflammation among youth from low socioeconomic status background (Chen et al., Reference Chen, Lee, Cavey and Ho2013). As such, the use of shift-and-persist as well as the adaptive values of shift-and-persist may be less dependent on the age, and more dependent on the presence of social role models.
Strengths of this study include the large clinical sample of youths with asthma across a wide age range as well as the multiple methods of assessing asthma outcomes utilizing both questionnaires and a 14-day diary approach. The daily diary approach to examining asthma symptoms eliminated the need for youth to recall symptom frequencies over an extended period of time and increased the ecological validity of our findings by assessing symptoms as they happened in youth's everyday lives. In addition, recent research suggests that studies of culture, ethnicity, and race (vs. non-culture-ethnicity-race studies) tended to have higher percentage of minority participants (Causadias, Vitriol, & Atkin, Reference Causadias, Vitriol and Atkin2018a), suggesting a threat to the generalizability of research in cultural psychology because knowledge of how culture influences White participants remain limited (Causadias et al., Reference Causadias, Vitriol and Atkin2018b). As such, another strength of this study is the examination of the link between coping behaviors and health in a sample diverse in race/ethnicity and in social status, increasing the generalizability of the results.
There were also limitations to this study. First, this study relied on cross-sectional and correlational data; thus, although we propose that shift-and-persist would reduce the negative impact of low subjective social status on asthma outcomes, neither causality nor directionality can be determined from our analyses. Future research would benefit from experimental designs that manipulate the use of shift-and-persist in laboratory stressors and/or in daily life among youth from families with low perceived status or who are experiencing mistreatment. Second, this study relied on self-reports of shift-and-persist, unfair treatment, and asthma outcomes; thus, it is unclear whether common-method variance may have influenced the associations. Future research will benefit from assessing shift-and-persist from other sources, such as through behavioral tasks, as well as by measuring asthma outcomes from medical records or other sources. Third, we were unable to test potential mechanisms for the perceived social status by shift-and-persist interactions. Because the shift-and-persist model emphasizes the role of uncontrollable stressors, future research will benefit from assessing various types of uncontrollable stressors relevant to low socioeconomic status, or low social status, contexts, and conduct mediated moderation analyses to formally examine the role of uncontrollable stressors. Fourth, this study used single assessments of shift-and-persist and unfair treatment. Future research may consider a daily diary approach to measure the daily experience of unfair treatment, use of shift-and-persist, and asthma outcomes. This will allow examination of within-individual associations across days (e.g., whether social class would moderate the daily link between shift-and-persist and asthma outcomes or whether habitual use of shift-and-persist would moderate the daily link between unfair treatment and asthma outcomes).
In sum, among youth from families perceived to be low in social status, those who engaged in shift-and-persist exhibited better asthma profiles. By contrast, shift-and-persist was unrelated to asthma outcomes among youth from families of high perceived social status. In addition, among youth who experienced more unfair treatment, those who engaged in shift-and-persist also exhibited better asthma profiles. Although shift-and-persist is an individual-level factor, the development of this strategy may stem from, and be reinforced by, higher level factors (e.g., family-level or school-level factors); thus, future studies will benefit from multilevel approaches to exploring why some youth with low status are able to develop and maintain shift-and-persist strategies despite adversity. Finally, this type of research may inform evidence-based interventions: because shift-and-persist is an individual-level protective factor, it may be relatively less challenging to implement (compared to societal-level interventions) as a way to improve health in youth with chronic conditions who are low in perceived family social status or who experience unfair treatment. It is, however, important to emphasize that implementation of individual-level factors, like shift-and-persist, are not meant to be an alternative to societal-level interventions. Rather, the complexity of health disparities is such that the underlying precursors likely operate in complex, multiprocess, multilevel manners; thus, approaches to interventions in health disparities must also operate in similarly multiprocess, multilevel ways to be effective. As such, we suggest the implementation of shift-and-persist as a potential complementary approach to other family-level, school-level, and societal-level approaches, all of which strive for the common goal of eliminating health disparities.





