1 Introduction
The benefits of free/libre open-source software (F/LOSS) have been acknowledged for a long time in the industry. This type of software is characterized by permission being granted to anyone to use, study, modify, and distribute the source code for any purpose. These liberties enable the following benefits: flexibility and freedom (open standards are used for easier integration in or with other systems; easy customization), auditability and reliability (anyone can detect and correct a bug or a malicious feature), support and accountability (development of upgrades is supported by the whole community; contributions are tracked and monitored), stability and maintenance (software development can continue even if original editor closes down). These benefits have led to great industrial successes: e.g., GNU/Linux is an operating system on which two thirds of web servers were run in 2017 (W3Techs 2017). It is sold by Red Hat (among others) – a company that generated more that USD 2bn of revenue in 2016 (Business Wire 2016). Further, the Apache HTTP Server powers one half of web servers worldwide; Docker Inc. has been valued at USD 1bn in 2015; etc. These features of F/LOSS have also brought about new practices: iterated and decentralized development, asynchronous bottom-up contributions, flat-hierarchy and meritocratic project structuring, active involvement of end user in the development, etc.
This phenomenon has long been limited to the software industry. However, due to global digitization and the spread of efficient and low-cost Internet access, it has spread to other industrial fields. One can cite open data, open education, open hardware, among others. Design is no longer an exception: the term open-design has been used since the late 1990s. Van Abel, Evers & Klaassen (Reference Van Abel, Evers, Klaassen and Van Abel2011) define open-design as ‘design whose makers allowed its free distribution and permitted modification and derivations of it’. Open-design uses two levers: the power of the crowds (summing of single contributions leads to great progress) and ‘standing on the shoulders of giants’ (effort is only spent on improving existing solutions, and not reinventing the wheel). Noteworthy examples of open-design include the following. RepRap, an amateur-designed 3D printing machine whose documentation is freely available on the Internet (CAD files, assembly instructions, version records). This has served as a basis for 400+ customized derivatives (Gilloz Reference Gilloz2014). Arduino, an open-source micro-controller, and related integrated development environment, which makes it easy for the user to build and control electronic systems and has interfaces for external ‘shields’ (sub-modules that enable a specific function, e.g., a RFID reader). Also in the solar photovoltaic sector, several companies have shared their intellectual property (IP) in order to boost the development of new techniques (Buitenhuis & Pearce Reference Buitenhuis and Pearce2012).
Open-design appears to be promising, yet disruptive. Moreover, this phenomenon has been little studied in the scientific literature. Although some use cases have been reported, no global overview or analysis of open-design exists yet. Furthermore, intrinsic differences between software and hardware (zero versus non-null marginal cost; non-rival versus rival goods) make direct transposition of knowledge about F/LOSS into the design of tangible artifacts difficult (Abdelkafi, Blecker & Raasch Reference Abdelkafi, Blecker and Raasch2009). Yet, understanding and taking stock of existing knowledge is the first step of design science, which then allows for process modeling and the development of prescriptive methods or tools that would increase industrial interest in these processes. A review of current practices and findings about open-design is thus crucial to enable its propagation in both practitioner and scientific design communities, and thus unlock its full potential.
Our objective in this paper is to provide a global and up-to-date review of the state of the art of the open-design approach, notably via a typology of current practices. It is intended for both researchers and practitioners coming from the design sector who want to better grasp the open phenomenon, as well as for those familiar with openness in the software industry who want to understand the specific features of openness in the design of tangible goods. Therefore, we have provided an extended systematic state of the art review on open-design, backing up a typology of current practices. This paper aims to be a cornerstone for future research on open-design, as well as to enable both researchers and practitioners to better grasp this recent and growing phenomenon.
Section 2 discusses how the meeting of product design and the open approach led to the concept of open-design. It recalls the context in which open-design arose, and makes it intelligible to the widest possible base. Section 3 presents the results of our systematic analysis, conducted on entries matching the keyword ‘open-design’ within the Scopus bibliographic database. This review embraces the largest possible scope in order to report on all accounts of open-design, even if it has a restricted distribution. We first give a quantitative insight into the literature about open-design (Section 3.1). Then, we summarize these papers in a qualitative synthesis (Section 3.2). Lastly, a typology based on this synthesis is detailed in Section 4. It distinguishes three main families gathered under the umbrella term ‘open-design’: do-it-yourself, meta-design, and industrial ecosystem. This typology is the main contribution of this paper. The consequences on design of the different families of open-design we distinguish are presented and developed as a final discussion.
2 Scientific literature review
The first objective of this paper is to present an exhaustive literature review on open-design in order to popularize it. It does so by making this concept more intelligible. This review gathers papers from multiple disciplines, but our analysis falls within the design science framework.
Open-design occurs where democratized product design and the open approach meet. Therefore, Section 2.1 defines ‘design’ and details how it has become more accessible. Then, Section 2.2 analyzes the emergence of the open approach. Lastly, Section 2.3 retraces findings on open-design.
2.1 Design and its democratization
The first reason why open-design occurs is the democratization of design. That is to say that nowadays it is technically, knowledgeably, practically, and legally easier than before for the man in the street to gain access to the act of designing – i.e., to design. This is due to three main factors: the spread of digital manufacturing, the digitization of the design process, and the rise of new structures for design.
2.1.1 What is design? What is the science of design?
By definition, product design is about products, or functional artifacts – i.e., man-made products serving a purpose. We distinguish material objects (including both physical, or tangible, objects and digital ones such as software) from intangible goods (e.g., services). The design of the latter has become a growing and major topic (Meroni & Sangiorgi Reference Meroni and Sangiorgi2011), notably with the rise of product–service systems. However, it is not covered by the scope of this paper, which focuses on the open-design of tangible objects only.
We consider product design to be a sub-process of product development. The latter is ‘the transformation of a market opportunity into a product available for sale’ (Krishnan & Ulrich Reference Krishnan and Ulrich2001, p. 1). As depicted in Figure 1, product development is made up of two sub-processes (Ulrich Reference Ulrich2011).
- Product design:
-
The first process is the formulation of the idea of a solution (that is, the so-called plan) that meets users’ needs (the gap between expectations and current reality) in terms of features and constraints. The science of design focuses on this step.
- Product manufacturing:
-
Then, there is the manufacturing, that is, the realization (i.e., making real) of the plan. This step can have an influence on the previous one: how an object will be produced impacts its definition (Boothroyd Reference Boothroyd1994). We note that, for a given artifact, the design happens only once, while the manufacturing is repeated as many times as produced objects.
Product design is thus a process that has a gap as input and aims to produce an unequivocal representation of the object (a plan) that meets identified needs (Cross Reference Cross2001). In other words ‘design is conceiving and giving form to artifacts that solve problems’ (Ulrich Reference Ulrich2011, p. 2), or aims ‘[to change] existing situation into preferred ones’ (Simon Reference Simon1996, p. 111).

Figure 1. Product development and its two sub-processes: product design and product manufacturing; adapted from Ulrich (Reference Ulrich2011, Exhibit 1–9, p. 6).
Starting in the second half on the 20th century, a specific field of science took an interest in product design (Matthias Reference Matthias2005), completing other disciplines such as management science and business economics (Hatchuel Reference Hatchuel and David2012), or history of techniques. It aimed to rationalize product design with a view to optimizing industrial processes and leading researchers and practitioners to use a scientific approach in order to study and improve design processes. Its focus was, however, fuzzy (Horváth Reference Horváth2004), and several approaches to combining science and design remain (Cross Reference Cross2001, Reference Cross2007).
In summary, the science dealing with design focuses (i.e., studies and improves) on design theories and methodologies (DTM), which Tomiyama et al. define as ‘a rich collection of findings and understandings resulting from studies on how we design (rather than what we design). In other words, DTM is about design processes and activities, rather than about products’ (Tomiyama et al. Reference Tomiyama and Gu2009, p. 544). Design science is not an exact science for several reasons: the design process is contingent and not reproducible; most variables are subject to the observer effect; and its result is a compromise (Matthews, Blessing & Wallace Reference Matthews, Blessing and Wallace2002) because it must answer contradictory needs (Jansen Reference Jansen1990). Design problems are also noteworthy examples of ‘wicked problems’ (Rittel & Webber Reference Rittel and Webber1973; Buchanan Reference Buchanan1992). Moreover, design science is an applied science where the value of a theory corresponds to its successful implementation in practice. Thus, the goal of the science of design is to analyze existing practices in order to understand them, as well as to offer and promote better ones (in a prescriptive way or by highlighting best practice).
The design process has been widely studied since the 1950s. Nevertheless, due to the nature of product design, there is ‘no “silver bullet” method which can be universally applied to achieve process improvement’ (Wynn & Clarkson Reference Wynn, Clarkson, Clarkson and Eckert2005, p. 35). However, regardless the approach used, we can still highlight some general observations made via science on product design and its features, which are largely accepted within design communities. We will succinctly call them to mind in order to outline features of the traditional product design process.
We have seen that the problem that designers have to address is to provide a plan based on a gap. This calls for the development of a solution that takes into account an identified (even if not fully defined) need. The design problem (that is, the gap) is an ill-defined and wicked problem that requires a co-developing resolution: looking for the solution helps to better understand the design problem. Better understanding the problem makes it easier to look for the right solution, etc. Myriad models exist to describe the design process (Tomiyama et al. Reference Tomiyama and Gu2009). They differ in terms of intent (prescriptive, descriptive, etc.), form (linear, iterative, sequential, parallel, etc.), and scope (chosen boundaries, industrial-sector-specific, etc.). Wynn & Clarkson (Reference Wynn, Clarkson, Clarkson and Eckert2005) proposed a classification of DTM based on their elements (stage and/or activities of the design process), their strategy (improvement of an initial solution, or refinement of the given problem), as well as their level of abstraction. The latter is either procedural (concrete and easy to implement), abstract (more general, but less directly linked to the practice), or analytical (specific to design instances). One element to describe the product design process is thus the phases and activities that constitute its make-up. Another element is boundary objects which constitute information formalized and carried from one phase to another. These are used for sharing a common understanding of the solution aimed for among the participants (Carlile Reference Carlile2002; Eckert & Boujut Reference Eckert and Boujut2003; Subrahmanian, Reich & Krishnan Reference Subrahmanian, Reich and Krishnan2013). (We can note that the plan is the final boundary object, or output, of the design process.) The last element for describing the product design process is precisely the participants (or stakeholders) taking part in one or more activities of the design process, and their skills that are involved (Ullman Reference Ullman2010).
We can observe that three main elements are needed to describe product design: first, the input of the process (that is, the gap); then, the process itself (described through the phases and activities it consists of, the boundary objects used, and the stakeholders involved); and, lastly, the output of this process (that is, the plan).
2.1.2 Design democratization
Design having been defined, we will now detail factors influencing its democratization, and thus having led to the emergence of open-design. These factors are digital manufacturing, the digitization of the product design process, and new structures for designing. We then highlight the impact of this democratization on the product design process itself, as summed up in Table 1.
Table 1. Major features of the design process and its democratization

2.1.2.1 Digital manufacturing
At first sight, it might appear surprising that the democratization of product design occurred via a change in product manufacturing. However, we have noted above that manufacturing impacts the design of a product: a mechanical part will not have the same design if it is made by sand-casting, by machining, or by forging. Therefore, the democratization of manufacturing (via its digitization) boosted the democratization of design.
Manufacturing is becoming more and more democratized (Bull & Groves Reference Bull and Groves2009), notably via the rise of digital manufacturing (Anderson Reference Anderson2014). This is due to the emergence of low-cost manufacturing solutions (additive manufacturing or ‘3D printing’ (Gibson, Rosen & Stucker Reference Gibson, Rosen and Stucker2015b ), but also laser cutting, etc.Footnote 1 ). These reduce the cost obstacle, just like new facilities for local manufacturing (e.g., Fab Labs, makerspaces, etc. – see below) and ‘manufacturing-as-a-service’ companiesFootnote 2 which enable the production of single prototypes or limited series artifacts for private individuals.
Digital manufacturing impacts the design process in several ways. First, it is no longer necessary to master craftsmanship skills to produce things. The correct definition of an object makes it manufacturable by any machine. (This is especially true with additive manufacturing, where the a priori knowledge of specific rules is not required: not angle of draft as in molding, most geometries are ‘printable’, entire functional units with moving parts can be produced in one go, etc. (Gibson, Rosen & Stucker Reference Gibson, Rosen and Stucker2015a ).) It is then not necessary to be a craftsman anymore to design and produce new objects by oneself. Then, the use of CNC machining also enables outsourcing of the manufacturing. One can just focus on the design of an object, and send the numeric file to be produced. Therefore, objects can be produced without tinkering out, because high-precision tools can be used to this intent. Lastly, the use of digital files and at-home machining (e.g., laser cutting, additive manufacturing) enables both a low-cost and a try-and-fail approach, such as adapting already existing designs. This makes the gap to cross over for adapting already existing solutions smaller. These changes in the manufacturing process lead to new forms of production, as listed by Yip et al. (Reference Yip, Jagadeesan, Corney, Qin, Rauschecker and Harrison2011): ‘open manufacturing’ (Heyer & Seliger Reference Heyer and Seliger2012), ‘open production’ (Wulfsberg, Redlich & Bruhns Reference Wulfsberg, Redlich and Bruhns2011), ‘crowd manufacturing’ (Send, Friesike & Zuch Reference Send, Friesike and Zuch2014), and ‘peer-production’ (Benkler & Nissenbaum Reference Benkler and Nissenbaum2006; Kostakis & Papachristou Reference Kostakis and Papachristou2014), as well as manufacturing as a service (MaaS).
2.1.2.2 Digitization of the product design process
The second factor facilitating the democratization of design is the digitization of almost all steps of the design process, via computer-aided design (CAD), manufacturing (CAM), engineering (CAE), and also via product life-cycle management (PLM). It makes it easy to exchange boundary objects at various stages of the development, and thus to outsource one or more steps of this process. This digitization occurred upstream, starting from manufacturing (see above), and then reaching early phases of the design process.
Manufacturing tools have been automatized for a long time, starting in 1725 with a loom using a punched ribbon (Ligonnière Reference Ligonnière1987), preceding automatized machines with computerized numerical control. However, only the machining sequence was automatized.
Through progress in complex geometry modeling (notably via Bézier’s curves), CADFootnote 3 appeared, shifting from drawing board to digital parametrized volumes. It was then possible to define the to-be-produced objects, which enabled inference checking, automatic generation of the bill of materials, etc. However, the greatest advantage was the consequent development of CAM, i.e., digitally connecting product definition with its manufacturing. Later improvement of CAD no longer focused only on 3D definition of the to-be-produced object, but also included decision-making tools (integrating stress analysis, structural calculation, strength of materials, kinematics, etc.). This global digitization is also referred to as CAE (Lee Reference Lee1999).
This automation focused on the late phases of the design process, that is, detailed design. However, recent studies have addressed the automation of its early phases; for example, the project TRENDS (Bouchard et al. Reference Bouchard, Omhover, Mougenot, Aoussat and Westerman2008) aimed to compute the inspirational phase (Bouchard et al. Reference Bouchard, Kim, Omhover and Aoussat2010) and developed creativity support tools for designers (Kim et al. Reference Kim, Bouchard, Omhover and Aoussat2012). At the same time, the project GENIUS aimed to help designers with automatic shape generation (Omhover et al. Reference Omhover, Bouchard, Kim and Aoussat2010).
The digitization of all steps of the product design process enables the spread of computing tools for design. These tools enable the computation of some steps of the design process, and thus lessen the need for specialized skills. As a consequence, this favors design democratization.
2.1.2.3 New structures for designing
Lastly, design democratization also puts down roots into alternative structures for designing: Fab Labs, makerspaces, hackerspaces, and techshops (Cavalcanti Reference Cavalcanti2013). Even though Fab Labs (Gershenfeld Reference Gershenfeld2005) and hackerspaces emerged from the open movement and the movement of the makers (Anderson Reference Anderson2014), all of these initiatives are not fully new. Indeed, makerspaces and collaborative development stemmed from industrial collaborative ecosystems in the 19th century.
Figure 2. The alternative structures for design; adapted from Troxler (Reference Troxler and Van Abel2011, p. 92).
Fab Labs (for ‘Fabrication Laboratories’), techshops, and hackerspaces are workshops dedicated to personal digital fabrication. They differ in terms of subject of production (low- versus high-tech products) and focus (how people spend their time in these structures); see Figure 2. Their origins are also different: Fab Labs was coined at MIT in the early 2000s, originally for developing ICT in a network, with personal manufacturing machines and at an affordable price (Mikhak et al. Reference Mikhak and Lyon2002). It then grew into a network that nowadays represents more than 650 different laboratoriesFootnote 4 sharing four common principles.Footnote 5
Techshops follow the same purpose as Fab Labs – Cavalcanti (Reference Cavalcanti2013) argues that both are ‘makerspaces franchises’. They enable personal (digital) manufacturing in an open and collective workshop. However, even if techshop is now used as a generic noun, it comes from the TechShop company that started in 2006 in Menlo Park, CA. This company is a chain of for-profit open-access public workshops, which include facilities and design services. While Fab Labs have no, or limited, fees for participating but require personal implication and/or open-source project documentation, techshops are personal manufacturing providers as a service, and thus have higher fees.
100k garages share the same principles as techshops, but rather focus on the making. Like a subcontractor’s workshop for digital fabrication, they are, however, dedicated to amateurs.
At the same time, hackerspaces (originally underground networks) have grown in popularity – cf. NYC Resistor and Noisebridge, two famous US hackerspaces, respectively created in 2007 and 2008, or the Berliner one c-Base that opened in 1997 which is considered as the first hackerspace. They were originally defined as ‘a collection of programmers (i.e., the traditional use of the term hacker) sharing a physical space’ (Cavalcanti Reference Cavalcanti2013). Focused on computers, they then expanded to electronics and mechatronics. They are rooted in and influenced by the free-software movement.
However, these places for collaborative design and development are not totally new. Nuvolari & Rullani (Reference Nuvolari, Rullani, St. Amant and Still2007) highlighted how ‘collective inventions’ (Allen Reference Allen1983) have existed since the industrial revolution. See Hunter (Reference Hunter1949), Nuvolari (Reference Nuvolari2004), and Foray & Perez (Reference Foray and Perez2006) for case studies on this topic. Makerspaces and other manufacturing spaces with pooled means are very similar to what we have previously presented, as they share the same purpose. However, even though they have been recently created, they look like older structures such as artists workshops and studios of the 19th century, where knowledge, know-how, and tools were put in common. These new structures enabled open access to the making process, which in turn led to design democratization by making the design phase closer to the consumer, but also by changing the general perception of industry and making it closer to end users (Rumpala Reference Rumpala2014).
We observe through the semantics of this phenomenon (‘movement of the makers’, ‘Fabrication Laboratories’) that this new approach to design occurred upstream, i.e., is correlated to a change in the manufacturing of objects. Moreover, this approach is very much product or outcome oriented. It means that design is taken on relative to the manufacturing and not per se.
It is in this context of the product design realm that open-design emerged when product design met the open approach.
2.2 The open approach
The second field in which open-design is rooted is the open approach. This approach comes from the free-software movement which became widespread in its pragmatic approach, that is, the open (source) movement. Thus, if free software was a movement originally limited to computer engineering, its underlying pragmatic consequences – the so-called open-x (with x as a variable, just like DfX gathers design for manufacturing, design for assembly, etc.) – spread over numerous industrial fields within a decade: open data, open science, open governance, open innovation….
2.2.1 From free software to open-x
The origin of the open approach is the political movement initiated notably by Stallman through the ‘GNU Project’, which appeared in the computer engineering milieu at the beginning of the 1970s in reaction to proprietarization of software source code. Focusing on pragmatic implications of this approach, the open movement spread out of the free-software sector and has now reached most industrial sectors.
2.2.1.1 Origins of free software
At the beginning of information technology (IT), sharing of source codeFootnote 6 of software among programmers was common (even from companies to researchers or end users) (Lerner & Tirole Reference Lerner and Tirole2002; Stallman & Sam Reference Stallman and Sam2010). In the 1970s–1980s, the structure of the IT market evolved, notably due to changes in the US anti-trust legislation.Footnote 7 It shifted from a vertically structured industry (the same company was selling hard- and software), to a modular, horizontally structured one (e.g., a company selling software for various types of hardware) (Ong Reference Ong2004). Moreover, some companies claimed intellectual properties on software (and thus did not allow sharing of source code anymore); a noteworthy example is AT&T claiming rights on Unix. To protect software intellectual property (i.e., restraining software copying, keeping secret a competitive advantage, etc.) and de facto to retain users, the release of only a binary version of the source code of purchased software became the norm (Stallman Reference Stallman and Gay2010).
Reacting against this ‘liberty privation’ (as it was not – legally or technically – possible anymore for users to modify software and to adapt it to their needs), the free-softwareFootnote 8 movement appeared, notably boosted by Stallman’s GNU manifesto (Stallman Reference Stallman1985). This political movement (Stallman Reference Stallman2008) is now structured within the Free Software Foundation (FSF). Its outcomes mainly rely on the GNU project and the General Public License (GPL – Free Software Foundation (2007)). This movement promotes four liberties for the user of a piece of software (Weber Reference Weber2004; Free Software Foundation 2014):
-
(1) to run the software without any restriction;
-
(2) to be able to study and modify its functioning;
-
(3) to have the right to redistribute original copies of the software;
-
(4) to have the right to redistribute modified copies of the software.
2.2.1.2 From a political to a pragmatic approach
Practical consequences of the FSF’s political programs spread as a more pragmatic approach.
The free-software movement is now widely spread within the IT sector: the GNU/Linux OS, as well as PHP, or Apache software, on which most web servers in the world run (Warger Reference Warger2002), have been developed based on this approach. However, the whole software community does not share the same vision about how to spread this model. This is the reason why a pragmatic version of the free-software movement appeared in 1998 with the Open-Source Initiative (OSI). It focuses on the practical consequences of the open-source principles, rather than on related values (OSI 2006).
Free-software (responding to the four previously enumerated liberties) can thus be considered as a subset of open-source software (meeting the 10 criteria of OSI’s definition (OSI 2015)) that is itself a subset of software with an open source code. Warger thus defines open-source software as ‘an approach to software development and intellectual property in which program code is available to all participants and can be modified by any of them’ (Warger Reference Warger2002, p. 18).
2.2.1.3 Open-x: open beyond software
Looking at the previous definition, we note that what is open is the process (‘software development’) and rights (‘intellectual property’), and not the software itself. This enables us to consider this approach outside of the field of IT.
Since the beginning of the 1990s, the concept of ‘open’ has spread over various sectors. This trend is correlated to their digitization, the development of digital techniques (Berry Reference Berry2008; Atzori, Iera & Antonio Reference Atzori, Iera and Morabito2010), as well as the democratization of affordable and high-speed Internet (OECD 2012; ITU 2013). This digitization is the context enabling the spread of the open approach. However, these necessary conditions are not sufficient. Two motivations can be distinguished in order to explain how stakeholders get involved in open projects: ideology and opportunity. Raymond (Reference Raymond2001) highlights the ideological motivation (even ‘zealotry’) of some participants. However, Lakhani & von Hippel (Reference Lakhani and von Hippel2003) have shown that this is not the only motivation, since the direct or indirect benefits earned by participants are also important. This is reinforced by Lerner & Tirole (Reference Lerner and Tirole2002) in their neo-classical micro-economical analysis of open source.
Benefiting from a favorable context, and with various motivations, the open models spread over numerous sectors. The so-called ‘open-x’ notion (Avital Reference Avital and Van Abel2011; Omhover Reference Omhover2015), or open approach, is the ‘openized’ version of this sector, i.e., the implementation of open principles of open in this sector (Benyayer Reference Benyayer2014). Beyond software, this approach gathers the following together.
- Open data:
-
where data of all types (but mostly raw data) are put at everyone’s disposal by companiesFootnote 9 or public entitiesFootnote 10 (Bonnet & Lalanne Reference Bonnet and Lalanne2014).
- Open art & culture:
-
where the outcome of an artist or an author is in open access, while being protected (notably via, e.g., Creative Commons licensing) (Maurel Reference Maurel2014).
- Open education:
-
with Massive Open Online Courses (MOOCs) and peer-to-peer knowledge sharing.
- Open science:
-
an equivocal notion, referring to the modern way of practicing science (Merton Reference Merton and Storer1973; Dasgupta & David Reference Dasgupta and David1994), as well as renewal of its practice in a more ethical way (open peer-reviewing, pre-publication of protocols, open-access journals, etc.) (Gruson-Daniel Reference Gruson-Daniel2014).
- Open licenses:
-
for protecting both intellectual property and the open nature of someone’s work – see, for example, the GNU-GPL (Free Software Foundation 2007), the Creative Commons licensesFootnote 11 , etc.
These heterogeneous realities have a common denominator: the open model or open approach. Under open, we refer to open-source principles (and not only the technical feature of an open source code) with an apolitical approach. The Open Knowledge Foundation coined the following definition: ‘Open means anyone can freely access, use, modify, and share for any purpose (subject, at most, to requirements that preserve provenance and openness)’ (OKF 2015). Fundamental principles of open are thus:
-
(1) the freeFootnote 12 access (technically and legally) to anyone, without any discrimination;
-
(2) the free use (and then the right to modify and redistribute – even commercially);
-
(3) a potential limitation, in order to preserve the original work, and its open characteristics.
These principles induce the following two aspects of open-x.
-
(1) The digital form of contents: to ensure the free access in practice, content must not be physically localized somewhere. It must thus be somehow digital. If hardware cannot be digital, its blueprint, electrical diagram, etc. can be.
-
(2) Peer-to-peer collaboration: since every one can access and (re-)use the content, a fostered consequence is that people (who are now peers) tend to join their efforts.
2.2.2 When open meets products: open-source hardware
Open-source hardware (OSH) – or open hardware – is the open approach applied to products, or, in other words, ‘the sharing [of] the original design files for an object in a way that allows it to be modified or reproduced by others, including for commercial use’ (Mellis & Buechley Reference Mellis and Buechley2012, p. 1175). We consider it as a preliminary form of open-design.
2.2.2.1 Design data sharing
Open-source hardware means that the design files of developed products are openly accessible. However, a fundamental difference remains between open-source software and hardware: the matter (i.e., shifting from bits to atoms), which implies a non-zero marginal cost for duplicating an object. In the case of OSH, sources are not source code – that is, to some extent, directly runnable on a computer – there are plans (technical drawings), digital files (such as a 3D model file, e.g., the .stl files, or a vector graphic enabling laser cutting), or mounting instructions (Tincq & Benichou Reference Tincq and Benichou2014; Macul & Rozenfeld Reference Macul, Rozenfeld and Weber2015) for an object that still needs to be actually manufactured.
Lapeyre (Reference Lapeyre2014) showed that sharing of design information is not completely new, using the example of the industrial cooperation within the silk industrial community in Lyon (France) in the 18th century. However, only the current context of openness, as well as the democratization of design and production (cf. supra), enabled the rise of open hardware (Atkinson Reference Atkinson and Van Abel2011).
Open-source hardware now represents a wide variety of products: micro-controllers (Arduino
$^{\dagger }$
Footnote
13
), manufacturing machine tools (RepRap (Jones et al.
Reference Jones and Haufe2011), Open Source Ecology
$^{\dagger }$
), cars (Tabby
$^{\dagger }$
, Wikispeed
$^{\dagger }$
), smartphones (OpenMoko
$^{\dagger }$
), satellites (Ardusat
$^{\dagger }$
), as well as furniture
$^{\dagger }$
, knickknacks, non-technical objects
$^{\dagger }$
, etc.
2.2.2.2 Fixing, improving, re-designing
Products becoming open tend to see their design process also ‘openized’.
As noticed with open-source software, the attribute of being open enables anyone to influence the design process: bug reporting or debugging, feature request, add-on development, etc. We can then observe that users colonize and take action in the design process upstream. As the source of a product is open, it becomes easier to repair it along the same lines as DIY (do-it-yourself) (Stikker Reference Stikker and Van Abel2011). New organizations can facilitate this, such as ‘Repair Cafés’.
Thus, empowered users can now ‘hack’ their objects by changing their original purpose, or by improving them via the development of ‘tangible add-ons’. If this phenomenon is not new, or directly related to OSH, opening object sources stimulates this behavior, as well as recently created digital platforms for sharing DIY projects.Footnote 14
Table 2. Principle of open, and its impact on software and hardware

The principles of open stem from free software, but have been applied in broader contexts, as recapitulated in Table 2. Finally, opening of sources enables a re-design of products by ‘forking’ them, which is the first step into open-design.
2.3 Toward a definition of open-design
Open-design lies where the open approach meets product design. However, this unique term is more or less closely related to multiple already existing practices. Therefore, to coin a definition of open-design, we must first be able to assess the openness of a design project. This will enable us to define this notion relative to existing concepts.
2.3.1 Assessing openness
If we refer to the previously accepted definition of open, almost no real cases fully meet this definition. There are always some parts of a project that are open, some others not – deliberately or not (e.g., lacking documentation about intermediary stages of the design process). Thus, openness appears as a continuum, rather than a discrete or binary criterion. It means that a project is not open or not open (closed), but rather ‘more or less open’.
Product design has, from an outside point of view, three elements: the gap, the process itself, and the plan (Figure 1). However, the gap is contingent, and independent of the design project: actors of the design process have no influence on it (i.e., on the difference between user’s expectations and current reality). Thus, the two controllable parts of a design project are its process and the plan. Therefore, to assess the global openness level of a project, we should distinguish two independent axes, as coined by Huizingh (Reference Huizingh2011): the process and the plan.
Openness of product design will thus be assessed using two continuous scales (from not open to open Footnote 15 ) over two axes (process and plan).
2.3.2 Concepts related to open-design
Referred to as open-design or related concepts, a myriad of realities, which are in some part open, exists. We found it necessary to define them and to disambiguate their link with the open-design. Figure 3 sums up these notions and maps them according to previously identified axes. Traditional (or conventional) design is when neither the process nor the plan is open.

Figure 3. Open-design and related concepts.
A design project might have an open process, but without impacting the openness of its plan (see crowdsourcing); and at the opposite end of the scale, an open plan might be the result of a close (or traditional) process (see downloadable design). Open-design can in a first approach be considered as a design project in which both variables are open.
Considering the first variable, that is, the process, various shades of openness can be observed. We will now present concepts that do not necessarily have an open plan, from the least to the most open regarding their process.
2.3.2.1 User-centered design
This approach, popularized by Norman & Draper (Reference Norman and Draper1986), tends to focus on the end user’s needs and context at each phase of the design process; that is, to design for the end user. Even if a wide range of methods and practices implements this approach (Abras, Maloney-Krichmar & Preece Reference Abras, Maloney-Krichmar, Preece and Bainbridge2004), we will limit this definition to its narrow and original form (see the formalization in norm ISO 9241-210 for interactive systems), since more evolved forms fall within the scope of following concepts. This approach differs from open-design because, despite taking the user into consideration, it does not fully integrate them into the design process.
2.3.2.2 Participatory design
Participatory design is an adaptation of the product design process ‘in which people destined to use the [product ] Footnote 16 play a critical role in designing it’ (Schuler & Namioka Reference Schuler and Namioka1993, p. xi). This approach was pioneered during the 1970s in order to assist in the implementation of computer-based systems into workplaces – notably in Scandinavia where it was supported by cultural leanings for equality and democratic collaboration, such as a homogeneous and highly educated workforce (Ehn Reference Ehn, Schuler and Namioka1993). We can refer to Kensing & Blomberg (Reference Kensing and Blomberg1998) for details on the reasons for deploying participatory design, the nature of end-user participation, as well as the methods and tools used. This approach differs from user-centered design because it explicitly involves the participation of end users as peers. It is still different from open-design as users cannot fully impact the process.
2.3.2.3 Open innovation
Coined by Chesbrough (Reference Chesbrough2003), this form of innovation promotes information exchange across enterprise boundaries. Open innovation does not belong to the open approach, since knowledge transfers are usually limited to a contractual framework and subject to non-disclosure agreements (Marais & Schutte Reference Marais and Schutte2009), and not freely opened.
2.3.2.4 User innovation
This model, coined by von Hippel (Reference von Hippel2005, Reference von Hippel, Soegaard and Friis Dam2014), considers users as a source of innovation (Füller, Jawecki & Mühlbacher Reference Füller, Jawecki and Mühlbacher2007; Bogers & West Reference Bogers and West2010). User innovation is defined as ‘open, voluntary, and collaborative efforts of users’ (Shah Reference Shah and Cooper2005, p. 1). However, if innovation comes from users, sharing and open access are not granted in user innovation.
Within the same concept, we include the related notion of co-design or co-creation, which refers – beyond the literal meaning of design or creating in a group – to ‘the creativity of designers and people not trained in design working together in the design development process’ (Sanders & Stappers Reference Sanders and Stappers2008, p. 6).
2.3.2.5 Crowdsourcing
Crowdsourcing (or crowdsourced design) is using ‘the crowd’ – often end users, but also ordinary persons not specifically related to the project – in order to solve design problems (Brabham Reference Brabham2008; Nickerson, Sakamoto & Yu Reference Nickerson, Sakamoto and Yu2011). We use the following definition. ‘Crowdsourcing represents the act of a company or institution taking a function once performed by employees and outsourcing it to an undefined (and generally large) network of people in the form of an open call. This can take the form of peer-production (when the job is performed collaboratively), but is also often undertaken by sole individuals. The crucial prerequisite is the use of the open call format and the large network of potential laborers’ (Howe Reference Howe and Howe2006). How close to open-design the crowdsourcing is relies on the publicness of crowdsourced results and the influence that participants have on the design. Crowdsourcing can thus be used in both open and non-open designing processes (Nickerson et al. Reference Nickerson, Sakamoto and Yu2011). The openness level of crowdsourcing then varies, and in some cases might be less open than as depicted in Figure 3.
We have seen how the design process can have various levels of openness without necessarily implying an open plan. Now, we present concepts leading to open plans, starting with those having the least open process.
2.3.2.6 Downloadable design
This notion refers to a product for which the sources can be downloaded (Atkinson Reference Atkinson and Van Abel2011). Although the sources might be open, the design process is, however, not necessary open: 2D models of furniture are, for example, freely downloadable on OpendeskFootnote 17 under a Creative Commons license, but design of this furniture occurred traditionally (i.e., without collaboration with end users). It thus differs from open-design.
2.3.2.7 Open-Source innovation (or open-source model)
The concept of an open-source model might be the closest one to open-design. It refers to a collective development process (Gläser Reference Gläser, St. Amant and Still2007) used in the free-software context (i.e., via dematerialized contributions). The question is to know whether this model can be extended outside of the software industry (Raasch et al. Reference Raasch, Herstatt, Blecker and Abdelkafi2008; Raasch, Herstatt & Balka Reference Raasch, Herstatt and Balka2009). According to Raasch et al. (Reference Raasch, Herstatt and Balka2009), open-design is an instance of open-source innovation applied to physical objects. We consider open-source innovation and open-design as close, yet different. Indeed, as ‘a collective innovation process and model’ (Blanc Reference Blanc2011, p. 3) open-source innovation appears as a more general concept that goes beyond the scope of product design.
2.4 Definition proposal
Based on previous considerations and related concepts, we can define open-design as ‘the state of a design project where both the process and the sources of its output are accessible and (re)usable, by anyone and for any purpose’.
This definition covers the following aspects.
-
(1) Open-design is about both the process and the outputs.
-
(2) Pure open-design is an abstraction, since we do not think that full openness could be achieved in practice. It is thus a direction to pursue.
-
(3) Openness in open-design can be summarized as ‘accessible and (re)usable, by anyone and for any purpose’. It has to be understood as a simple rephrasing of the open definition.
-
(4) ‘The sources of its output’: what matters is not ‘the cake’, which cannot be accessible or shared by anyone, but ‘its recipe’ (that is, the source of the output).
-
(5) The definition applies to a design project (i.e., an instance of the product design process), because a process cannot be open per se. Similarly, if two processes follow the same steps, one can be open while the other is not.
-
(6) ‘A process that is usable by anyone’ means that anyone could have an input to it (even if not necessary considered by the design team).
Considering this definition, we will now analyze the scientific literature on open-design.
3 Systematic analysis of literature related to open-design
In order to better grasp the current state of the art in open-design, we present in Section 3.1 our systematic quantitative analysis of scientific works referring to the keyword ‘open-design’, according to the type of work, product, and open-design they refer to. Then, we provide in Section 3.2 a qualitative synthesis of these works in the case of the development of tangible artifacts’. This will be the basis for our typology of open-design that we present in Section 4.
3.1 Quantitative bibliometric analysis of scientific literature related to open-design
3.1.1 Method
We have listed all references matching with the research term ‘open-design’ using the Scopus Footnote 18 database integrated research tool. We looked for this keyword in the fields title, abstract, and keywords (author and journal ones). We did not set boundaries for subject areas. However, in order to make our research reproducible, we limited the results to the most exhaustive but complete corpus at the date of writing, that is, publication prior to 2016. Therefore, our query was TITLE-ABS-KEY(‘open-design’) AND PUBYEAR < 2016. We accepted all document types except patents. We chose the Scopus database since it is one of the largest ones, and because it covers the majority of journals in engineering and design. The fact that the reference lists are only indexed consistently from 1996 onwards is not a major bias since open-design is a recent notion (cf. infra).
Then, we manually grouped the listed references into homogeneous categories according to the meaning of ‘open-design’ in them. Therefore, we used information contained in the title, abstract, and keywords of the paper. When we were not sure, we read the entire paper to resolve the ambiguity.
We used categories to group entries sharing the same significance for open-design. They emerged during the processing: if a paper did not fit into one of the existing categories, we created a new one. At the end of the processing, some categories containing only a few papers were merged with other ones, in order to form larger, but still homogeneous, clusters.
We were interested in entries fitting our previously coined definition of open-design. These entries are the so-called true positives, i.e., entries matching the query and to some extent our definition. (Among potential true positives we neglected seven papers that were not categorizable because of the language – five entries in Chinese and one in Italian. Another entry, written in 1990, was not accessible by the authors.) In order to minimize bias due to clustering, papers were assigned to the true positive category by default: that category contains all papers that are not radically different from the previously coined definition – that is, all entries for which no information would make them belong to another (or a new) category.
Then, the remaining ‘true positive’ entries were tagged according to three criteria.
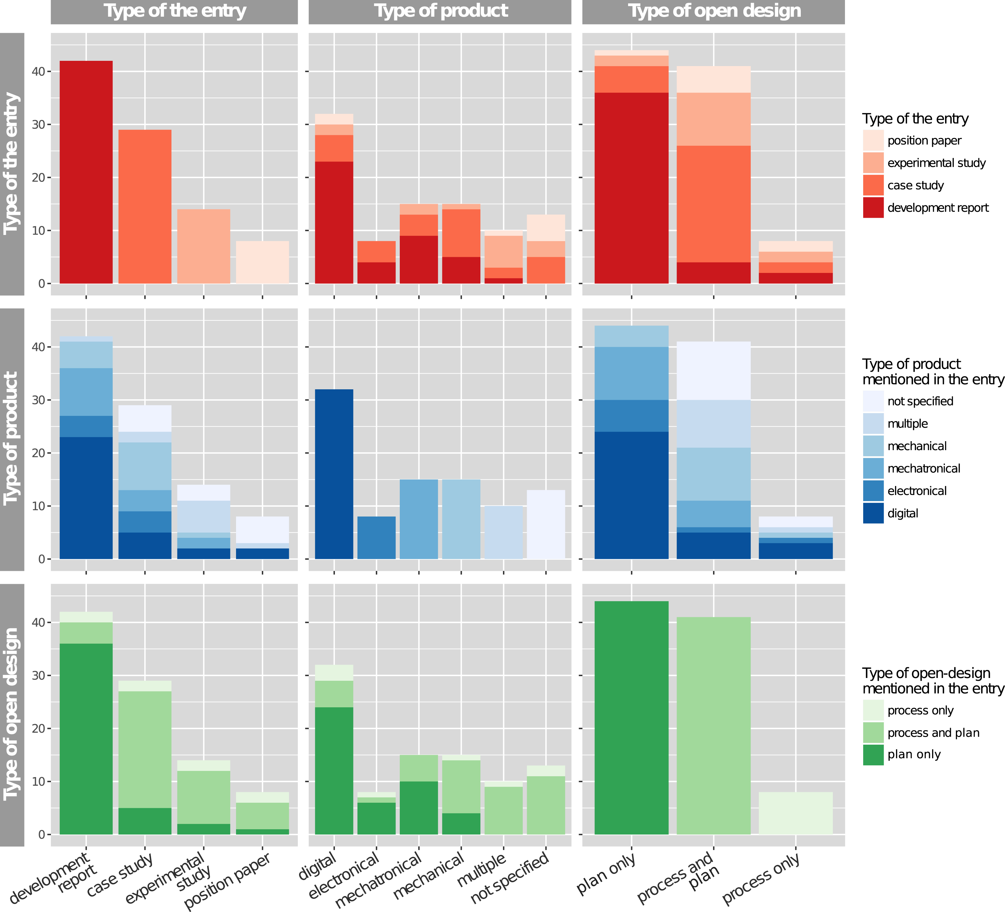
- Type of the entry:
-
We categorized entries according to the type of scientific paper it was: does it report the development of a particular system (development report), does it analyze a system and/or its development (case study), does it report an original research survey where the author had an influence on the development context (experimental study), or is it made up of author’s analysis (position paper)?
- Type of product:
-
Entries refer to one or more products. Are they digital, electronical, mechatronical, or mechanical systems? We also considered the case where multiple types of systems were mentioned, and when the type of product was not specified.
- Type of open-design:
-
All entries are ‘true positives’, so they refer to some extent to our definition of open-design. We tagged entries according to the part of the design openized in the paper: the process, the plan, or both.
Next, we ran descriptive statistics using R (R Core Team 2015) to determine whether any correlations were present in the gathered data and produce trend analysis. Correlations were also tested using the Apriori algorithm (Hahsler, Gruen & Hornik Reference Hahsler, Gruen and Hornik2005). This algorithm tests every directed association between two or more characteristics of an entry (e.g.,
$development.report\Rightarrow digital$
) and weights them according to their veracity and representativeness (Agrawal et al.
Reference Agrawal and Srikant1994).
After having quantitatively analyzed the true positive corpus, we read and analyzed listed entries in order to synthesize their content. This synthesis enabled us to gave create a typology of open-design families. Both of these steps were executed with numerous iterations via discussions between authors, in order to reach a common agreement on the synthesis and the typology derived from it.
3.1.2 Results
References were searched on April 19, 2016; 624 entries matched the search criteria. We have clustered them into eight categories: three for noise (irrelevant, n/a, and duplication) and five for different meanings of ‘open-design’ – one is true positive, the others are methodology, topology, problem, and structure. Table 3 shows the spread of entries per category; 106 match the category corresponding to our concept of open-design. (These categories and their meanings are further detailed within the appendix, in Table 11.)

Figure 4. Number of relevant entries per year.
Table 3. Number of entries per category

IMPORTANT: From now on, we will be considering entries in the true positive category only.
The number of entries per year depicts open-design as a topic that has expanded in the past decade (Figure 4). It should be noted that the decrease in the last two years is likely to be due to a partial referencing by Scopus (i.e., all publications from 2014 and 2015), since a similar drop is observed in the global database.
Among the 292 single authors referenced, only seven wrote more than three papers (Table 7, in appendix). It should be noted that most of these author wrote articles together (e.g., Raasch, Herstatt, and Balka, as well as Baurley, Phillips, and Silve). Similarly, only two journals among the 91 listed (Design Journal and Lecture Notes in Computer Science) published more than five referenced entries (Table 8). We also analyzed keywords given by authors (Table 10) and journals (Table 9).
The count of entries tagged according to their type, the type of product they refer to, as well as the type of open-design is found in Figure 5. We observe that most entries (71) are applied results (case study and development report), while only 22 are theory oriented. Similarly, most of the projects include a digital part, and process-only open-designs are rare.

Figure 5. Count of entries, according to their type, the type of product they mention, and the subject of openness. (Top: the criteria used to spread entries into columns – see the label of each column at the bottom of the graph. Left: the criteria used to spread entries, within a single column, using a color chart – see the color chart at the end of the row.)
The proportion of design projects including an open process increases as the product becomes less digital and more mechanical. Full open-design (process and plan) is mostly reported in case and experimental studies: they deal with real system development, but within the framework of research. They affect mostly mechanical products or are reported in overview studies (multiple or not specified studies).
These results are confirmed by the output of the Apriori algorithm (see Table 4). The support is the number of entries that satisfy the premise, divided by the total number of entries (or, in other words, the breadth of the association – 1, meaning that it concerns every single entry; 0, meaning none). The confidence is the number of entries satisfying the premise that also satisfy the conclusion, divided by the number of entries satisfying the premise (or, in other words, how correct the association is – 1, meaning that the association is always true; 0, never).
Table 4. Association results of the Apriori algorithm

The results of the qualitative analysis are detailed in Section 3.2. The resulting typology of open-design families is then presented in Section 4.
3.1.3 Discussion
3.1.3.1 Analysis of meta-data
The timeline illustrates that open-design is a recent but growing phenomenon. The main rise of the concept started in the early 2000s (fewer than 15% of the references were published prior to 2000), which corroborates our findings on the origin and the reasons for the rise of open-design. The number of published papers remains, however, limited. This advocates for a still restricted concept that has not spread over traditional design communities. The large distribution of authors referenced, as well as of journals, shows that, except for a few research groups, there is no global community researching on this topic.Footnote 19
3.1.3.2 Entry content analysis
After analysis of the entries listed, we observe that the typical entry in our database is the development report of a digital system in which only the plan is open. These results are close to the situation of free software in its early stages. A reason is that some funding agencies (e.g., in the European Horizon 2020 framework program for research funding) explicitly ask for release of research results in open access (European Commision 2016). Research groups tend thus to release their digital results with an open license, but without intrinsically aiming for collaboration.
Regarding mechanical products, most entries listed are case studies, in which an open process and plan had been adopted. This might be due to the fact that open hardware is less common than open (source) software. This implies that those who open their plans are ‘open advocates’ and thus more disposed to also adopt new practices during the development process.
Within entries referring to full open-design (i.e., where both the process and its output are open), various industrial sectors are represented. The sectors can be grouped into families, according to the reasons explaining the penetration of open-design in them.
In first place comes software. Of course, it is the most represented sector, as open source has a stronger background in software. Software dedicated to private individuals is as much represented as industrial software.
Objects that are used in a everyday life are the first to be impacted. This corresponds to ‘hacking’ of their objects by end users. However, we noted that these objects are only low-tech products (wearable craftwork, beehives). This can be explained by the fact that, in order to be hacked or reproduced by end users, these objects must be manufacturable at home and at low cost. The reason for this re-design is either lowering the cost of niche objects (beehives) or customization (clothing, furniture).
Technical products are also mentioned in the literature. Open source appears here to be an asset in order to democratize complicated systems, such as electronics. The use of platform systems (micro-processing boards, such as, e.g., Arduino) makes it easy for the largest possible number of users to create their own system at lower cost. Opening of sources also favors the spread of best practice and peer-to-peer learning (via online documentation). It thus softens the learning curve and democratizes these complex systems.
In medium- to high-tech products, open source has other advantages, enabling the development of tailored niche-need products, such as notably in the medical sector. Joining effort and taking stock of existing systems reduces the investment (time, effort, money) needed to develop new specific systems.
However, everyday life objects are not the only ones impacted by open-design. The literature also refers to basic and generic systems that are ‘openized’. These systems are mostly dedicated to energy production (wind turbines, solar cells). The motivations behind this are diverse. A notable one is the ideological framework of appropriate technologies. The point is to empower the end user and develop decentralized and locally controlled energy production units. Open source is then an asset enabling decentralization of systems manufacture, as well as their appropriation by end users. Another motivation is to join efforts in order to tackle a generic issue on a global level. This phenomenon can be seen, e.g., in the photovoltaic industry.
We also aimed to carry out an exhaustive review of open-design projects from an industrial perspective. This, was in order to weight the influence of industrial sectors in open-design and to assess the relative penetration rate of openness too. However, we did not find a satisfactory corpus of projects that would permit a robust analysis. The databases we found were either too small or too specific regarding a single sector, which would not have enabled robust statistics. However, the reader can find a description and a categorization of typical open-design projects in Tooze et al. (Reference Tooze and Baurley2014).
3.1.3.3 Limitations
An issue we faced during the tagging of entries in our database was the following: how to distinguish between open as a true positive and open as in the case of a system that allows inputs and outputs or interaction with the external environment. For example, one abstract states the following. ‘Archangel98 uses the latest software design concepts allowing a very open-design process, working with virtually all other applications’ (Bilbija & Biezad Reference Bilbija and Biezad1998). ‘Open design process’ here refers – as made explicit by the context of the paper – to a broad interoperability of the system with other ones. We could have said that it matches our previously coined definition of open, since this ability of the software enables others to use or implement this system with low technological barriers. However, this level of openness of the plan remains low since there is no legal guarantee that this is allowed, and the development process of the cited software is standard. Similarly, Barrett et al. (Reference Barrett and Suzek2005) states the following. ‘The database has a flexible and open design that allows the submission, storage and retrieval of many data types.’ We thus tagged papers according to the context, notably considering whether the openness of the structure was a sought asset of the developed system or not. However, we do agree that this categorization is somehow subjective, even if its impact on previous results is limited, since only nine papers of the true positive category are in this situation. We consider journal and author keyword homogeneity (cf. 9 and Table 10) as a validation of our manual tagging.
Despite the contingent nature of the evidence gleaned from the qualitative analysis of the literature, we did our best to provide an unbiased synthesis approved by a collegial consensus among authors. Similarly, the typology we have created is contingent on entries referenced as a result of our query to the Scopus database. One must note that we considered the design of tangible goods only, as detailed above. This does not allow us to generalize our results to product–service systems. We also acknowledge that this typology is subjective, because it has been created based on our synthesis results. However, we checked that we were able to assign each entry to a type we defined. This argues in favor of the relevance of our typology.
This literature review aimed to be exhaustive. We used the largest database available for this purpose. Of course, it cannot be fully exhaustive, and since referencing of new papers is not immediate, some recent major papers on open-design were not found by our query. In our opinion, these results give, however, a valid and robust global snapshot of the current state of the art. This snapshot is intended to serve as a keystone for future research on open-design, but will have to be updated in the future, as the research field is maturing.
3.1.3.4 Intermediary synthesis
All of this argues for open-design to be a still circumscribed and not yet a mature topic, which has been only studied on a small scale and not directly or globally. Its adoption in the industry remains limited. We have dug into our database and highlighted major features of articles it includes. We will now draw a full synthesis of open-design in the case of product development by summarizing these papers.
3.2 Qualitative synthesis of scientific literature on open-design
After a quantitative analysis of the corpus, we summarized current findings on open-design found in the scientific literature. Our synthesis is based on ‘true positive’ entries that we previously identified. The following analysis is summed up in Table 5.
Table 5. Synthesis of openness impact on design

3.2.1 What is new and what is not
First, we must contextualize open-design and recall that this approach is incorporated within the framework of established practices. Sharing of knowledge and know-how, as well as collaboration during the design process, are not prerogatives of open-design. Open-design is just an implementation of these practices, which have been developed independently. Moreover, despite noteworthy differences (physical production, IP protection, etc.) between the development of hardware and of software, ‘open-design processes can be organized to resemble open-source software development processes to a considerable degree’ (Raasch Reference Raasch2011, p. 573). However, issues remain, mainly because of the physical and rival nature of tangible goods.
Thus, we especially focused on entries reporting the development of mechanical systems where both process and plan were open. Indeed, as noted by Balka et al. (Reference Balka, Raasch and Herstatt2009), even if the field of open-source software has been widely studied, there are only a few studies on ‘open source development of tangible objects, so-called open-design’. The lack of successful empirical examples was a reason for this. However, this statement was made eight years ago and might not be valid anymore.
We previously listed the three components of a design project: the input, the process, and the plan. Therefore, we divided our analysis based on these three parts, as well as a fourth one on motivations, benefits, and global consequences of open-design.
3.2.2 Input: the open-design problem
The nature of design problems that open-design deals with is not specifically mentioned in the literature. The cause could be that open-design problems do not differ from traditional design problems – which Balka, Raasch & Herstatt (Reference Balka, Raasch and Herstatt2010) report, saying that ‘open-design projects tackle both incremental improvements and radically new designs’. However, as presented by Bouchez (Reference Bouchez2012), the needs of some users are not to have a product anymore, but rather to make it. Because the designer should not only design an artifact, but also the process of the user making it, the need to be addressed by the output of the design process is thus changed.
Open-design is also sometimes presented as a bottom-up approach. We noticed that in most case reports mentioned in the literature, those who took part in the solving of the design problem were the same as those for whom the need or gap was addressed. In other words, people who take part in the design process are also the users of the solution: they are designing for themselves. This leads to the following open-ended question: how can unexpressed or unconscious needs be taken into consideration by users–designers?
3.2.3 The open-design process
The process of designing is the second and main part of a design project. Here, we analyzed the impact of openness in this process. This part is divided into the three components of the process: the phases and activities making up the process, the stakeholders contributing to the process and their skills that are involved, and the boundary objects used and the infrastructures used to manage them.
3.2.3.1 Phases, activities
In the current literature, it is hard to distinguish specific features of an open-design process, since most initiatives do not have sufficient perspectives for a reflexive study. In their quantitative study, Balka et al. (Reference Balka, Raasch and Herstatt2009) ‘observe[d] different groups of actors being responsible for the creation of a product concept, the actual development work, and the final production, but [found] no formally distinguishable patterns’. This might also be due to numerous and heterogeneous production models, as explained by Troxler (Reference Troxler and Van Abel2011). Indeed, we know that the chosen manufacturing process influences the design plan (cf. supra) and its process as well.
However, we can point out that new models for designing have appeared in the software industry: some designers have switched from a ‘cathedral’ (vertical and hierarchical) to a ‘bazaar’ (with horizontal organization, bottom-up streams, beta-versions, etc.) (Raymond Reference Raymond2001). The benefits of this new organization have been validated scientifically (Feller & Fitzgerald Reference Feller and Fitzgerald2002; Fitzgerald Reference Fitzgerald2006) and industrially in the software industry. In these cases, ‘product development is organized as an evolutionary learning process that is driven by criticism and error correction and institutionalized as peer review’ (Raasch Reference Raasch2011, p. 559). However, when it comes to hardware, corrections, updates, patches, improvements, etc., it cannot be implemented ‘online’: a circuit board cannot simply be ‘updated’ and a silicon joint cannot be patched. Thus, a key point is the sequencing of online and offline activities (Raasch Reference Raasch2011).
3.2.3.2 Stakeholders, skills
In the open-design process, we observe a hybridization of roles, where the same stakeholder can wear many hats (Figure 6). Traditionally, a user buys a product, i.e., trades money for an object (s)he will use and live with. On the other hand, the designer receives a brief that describes the general and strategic positioning of the to-be-developed object, and produces the plan of a product that meets defined criteria. In between lies the product provider, who handles the whole product development process and takes care of the manufacturing of the artifact. Of course, this linear representation is simplistic and does not reflect all current practices, but it illustrates that their relationships are standardized, well defined, and there is no direct interaction between designers and users, with the exception of design activities in which the designer decides to and defines how to interact with one or several users. In this case, the interaction is unidirectional and does not expect reciprocity.
Open-design, however, reveals new forms of interactions between these stakeholders, and ‘user involvement is progressively moving toward the front end of designing’ (Stappers, Visser & Kistemaker Reference Stappers, Visser, Kistemaker and Van Abel2011, p. 145). The user is considered to be an expert of his own experience; the interaction between the product provider and the user goes deeper and beyond a simple object-for-money trade (Stevens & Watson Reference Stevens and Watson2008), and inputs for the design process are from many levels, such as design contributions.
To drive open-design projects, new skills are needed; Phillips et al. (Reference Phillips, Ford, Sadler, Silve and Baurley2013) highlight the role of facilitators between end users and designers. This new role adds to the triad of designer/user/fabricator (or client) highlighted by (Stappers et al. Reference Stappers, Visser, Kistemaker and Van Abel2011). However, in distributed co-development, having numerous users and contributors is a key point. Yet ‘only a few open-design projects manage to attract a sufficiently high number of active contributors, both from private and commercial backgrounds, to build a developer community and to achieve progress in terms of project advancement’ (Balka et al. Reference Balka, Raasch and Herstatt2009). The role of designer could also evolve as creator of design generators, i.e., meta-designer (Filson & Rohrbacher Reference Filson, Rohrbacher and Luo2011).
Thus, open-design implies changes in the profession of designer (Atkinson Reference Atkinson and Van Abel2011): even if the consequences and implications are not clear, the role of designer will evolve (de Mul Reference de Mul and Van Abel2011) from creator to conductor.

Figure 6. Blurring the roles of stakeholders; adapted from Stappers et al. (Reference Stappers, Visser, Kistemaker and Van Abel2011).
However, even if new stakeholders appear in the design process, they do not have the same importance. For open-source software, Raasch (Reference Raasch2011) distinguishes two categories of stakeholder: the core development team and the periphery. The former drives the development, while the latter provides ‘patches’ and/or tests development versions (Rullani Reference Rullani2006). Access to the core team is meritocratic (according to inputs given to the project and acknowledged skills) (Roberts, Hann & Slaughter Reference Roberts, Hann and Slaughter2006). Some teams also have a designated ‘benevolent dictator’, often a project founder with a major contribution in the project.
Moreover, as previously mentioned, openness has to be assessed on a continuous scale (and not a binary one). Thus, various degree of openness can be observed – which is the case with end-user involvement in the design process. Aitamurto, Holland & Hussain (Reference Aitamurto, Holland, Hussain and Lindemann2013) distinguished three steps in opening the design process to the user: layer 1 – ‘listen into’ the user; layer 2 – ‘interact and create with’ him/her; layer 3 – ‘share with’ him/her. Thus, we can observe that open-design implies a special attention to the user, and suggests its integration during the design process. The role of users in open-design is also underlined by Stappers et al. (Reference Stappers, Visser, Kistemaker and Van Abel2011) and Stikker (Reference Stikker and Van Abel2011), especially the role of novices (Rijken Reference Rijken and Van Abel2011).
In order to make horizontal user innovation work, three conditions are required according to von Hippel (Reference von Hippel2007). The first one is that at least some users innovate in the field. The second is that these users need to have incentives to freely reveal their innovation. The last is that they can self-manufacture their innovations ‘cheaply’. However, these conditions focusing on end users are not enough. Indeed, De Couvreur et al. (Reference De Couvreur, Dejonghe, Detand and Goossens2013) underline how the role of the user’s ecosystem impacts innovation.
3.2.3.3 Boundary objects, data, infrastructures
Boundary objects are critical in a collaborative design process, since they are used as a means to share a common understanding of the aimed for solution among the participants (Subrahmanian et al. Reference Subrahmanian, Reich and Krishnan2013). This issue is also identified by stakeholders in open-design projects. However, as in immature and/or non-professional organizations their efficient use and management is limited. Indeed, Affonso & Amaral (Reference Affonso, Amaral and Weber2015) report that hand drawn sketches and prototypes are the only boundary objects used in the Open Source Ecology community. One reason is the skills required to master (create and/or exploit) more complex boundary objects (such as 3D modeling files, CAD/CAE systems, etc.).
To enable free sharing of information in practice (access without time or geographical restriction), boundary objects must be digitized. However, in practice, verbal communication is identified as a key component of successful projects (Filson & Rohrbacher Reference Filson, Rohrbacher and Luo2011; Phillips, Baurley & Silve Reference Phillips, Baurley and Silve2014), which underlines the need for alternating on- and offline phases (see supra).
To achieve this, Bonvoisin & Boujut (Reference Bonvoisin, Boujut and Weber2015) claim that online collaborative platforms are needed to further foster the rise of open-design. These platforms must provide the following features: community management (building and keeping the community active); convergence of the development process; knowledge and quality; and supporting co-creation. However, no existing tools currently offer such opportunities. Open standards appear as a solution for developing a shared language – a key issue elicited by Filson & Rohrbacher (Reference Filson, Rohrbacher and Luo2011) and Phillips et al. (Reference Phillips, Baurley and Silve2014) – among stakeholders, especially in industry (Carballo Reference Carballo2005).
Another issue, frequently raised when dealing with open source, is intellectual property, which is closely bound to boundary objects. Its fair valuation along the value chain is a key point in successful and healthy industrial ecosystems (Carballo Reference Carballo2005). Indeed, one common fear when dealing with open-design is ‘how can I be paid for my work if everyone is allowed to use and copy it for free?’. Various business models have been successfully developed in the software industry, even if intellectual property remains a crucial issue (Bertrand et al. Reference Bertrand, Juliot, Fermigier, Soroko and Viné2014). Similar models can also be developed in the hardware industry (Buitenhuis & Pearce Reference Buitenhuis and Pearce2012), which can be integrated into the traditional value chain (Without Model 2014).
In the case of tangible artifacts, designers can benefit from open licensing (Katz Reference Katz and Van Abel2011). Thus, a fair valuation of intellectual property would help stakeholders to participate in an open-design process while ensuring that they captured enough value (Carballo Reference Carballo2005). Regarding the licensing, ‘open-design projects generally tend to make use of an open license, but licensing is less straightforward than for OSS’ (Balka et al. Reference Balka, Raasch and Herstatt2009). Lastly, we can observe that this new form of designing will change the infrastructures of the product development process. Due to the democratization of the production means (Pettis Reference Pettis and Van Abel2011), phenomena of micro-industrialization and distributed manufacturing will appear (Avital Reference Avital and Van Abel2011).
3.2.4 Outcome of the open-design process
Open-design in mechanical products embraces a wide variety of sectors: energy production units, furniture, wearable craftwork, etc.
Considering the do-it-yourself approach, new types of outcome might be expected from the designer: these are product kits (with related manufacturing/mounting/assembly instructions) but also design generators (or meta-designs). With the example of a line of furniture, Filson & Rohrbacher (Reference Filson, Rohrbacher and Luo2011) showed that the outcome of the open-design process can be a platform that generates the design of an object based on input data given by the end user (material thickness, desired dimensions, number of shelves, etc.). This is close to parametric or generative design (Avital Reference Avital and Van Abel2011), but the emphasis is here on how to open most variables to user choice and creativity.
When it comes to outcomes in openness, modularity is a crucial issue. This enables sub-modules to be developed independently, and thus eases the customization/adaptation of one part of the design. Regarding the kinds of outcomes of an open-design process, Balka et al. (Reference Balka, Raasch and Herstatt2009) noted that different levels of complexity are reachable. Distinctive features are the modularity and the digitization of the object.
Since openness promotes more frequent interaction between the product and the user(s), a key factor is that (more than in current industry) the outcome of the design process has to be considered over all of the product life cycle (Gürtler, Kain & Lindemann Reference Gürtler, Kain, Lindemann, Chakrabarti and Raghu Prakash2013).
3.2.5 Motivations, benefits, and consequences of open-design
People open their design processes or plans because they have incentives to do so. There are many reasons for this.
The first one is adaptivity, i.e., adapting to subjective needs, tailoring to specific users or environments (production means, resource). However, adaptivity is not an objective per se. Indeed, ‘local solutions are frequently more effective as they reflect the physical, emotional and cognitive needs of specific [users]’ (De Couvreur & Goossens Reference De Couvreur and Goossens2011, p. 107). Open-design also helps to address niche needs (Phillips et al. Reference Phillips, Baurley and Silve2014). Other strategic reasons exist, as listed by Buitenhuis & Pearce (Reference Buitenhuis and Pearce2012): increasing development speed and thus decreasing development cost, faster adoption of technology, and increasing the efficiency of design activities.
Open-design appears thus as a major change in design projects. It is driven by sociotechnical changes of our environment. For some, ‘[openness] is a matter of survival’ (Thackara Reference Thackara and Van Abel2011, p. 43). It is thus the responsibility of designers to consider openness and its impact. The fist step is thus to rethink the way in which design is taught and learned (Hummels Reference Hummels and Van Abel2011; Zer-Aviv Reference Zer-Aviv and Van Abel2011).
However, the added value of open-design is not limited to design itself (Laitio Reference Laitio and Van Abel2011; Ratto Reference Ratto and Van Abel2011): concepts involved in it, such as common goods (Hardin Reference Hardin1968; Ostrom Reference Ostrom, Durlauf and Blume2008) will impact the whole society by changing our relationship with goods and the status of the latter (Smiers Reference Smiers and Van Abel2011). This can be related to a larger motivation for participants in open-design.
4 Contribution: a typology, or the three families of open-design
The previous results might appear to be heterogeneous, and do not make it easy to grasp what open-design concretely is. We thus tried to define homogeneous families of open-designs, i.e., practices of the open-design approach that share similar distinctive features. Table 6 recapitulates these families.
Table 6. Families of open-design for physical artifacts, and their characteristics

4.1 Do-it-yourself
The first and maybe most intuitive family is do-it-yourself (DIY) open-design. It is an evolution and structuring of initiatives from private individuals. These users share their design, either because they want to share their achievements or because it enables joint work with peers. As noted above, digitization of the design process enables experts to connect and work together on a shared project while enabling decentralization and asynchronous contributions. This approach is also encouraged in Fab Labs and other makerspaces networks. In this case, documenting and sharing projects enables one to stack one’s work, and thus ease the achievement of more complex systems. As made plain in the term do-it-yourself, this approach is more oriented from private individuals toward private individuals.
The motivations are diverse. Some users open and document their projects only to share with others (cf. hobby blogging) and establish new connections with peers.
For some others, the purpose is to join the efforts of field experts and/or look for collaboration with others who have complementary skills, in order to develop products answering very specific needs. Another motivation is the cost reduction of products, i.e., replicating functions of products that are already available on the market, but at a lower cost (because they are home-made).
User-generated product success over designer generated products has been proved in the industry (Nishikawa, Schreier & Ogawa Reference Nishikawa, Schreier and Ogawa2013). Yet, this mostly concerns products of everyday life, i.e., products that the end user has an expertise in.
However, DIY design is different from inclusive forms of design processes where end users can take part. Indeed, in the latter, users are mostly present during the idea generation phase only. The detailed design of the product is then carried out by expert designers, supporting Ulrich, who claims that firms’ experts ‘have acquired skills and capabilities that allow them to perform most design tasks more effectively and at a higher level of quality’ (Ulrich Reference Ulrich2011, p. 57). There is no expert designer in DIY design – the end user designs and broadcasts the product by him/herself, possibly helped by peers. Do-it-yourself design is also different from ‘user-design’ (Ulrich Reference Ulrich2011) or from odd jobs, because the broadcast of the formalization of the source enables the manufacture of multiple artifacts.
4.2 Meta-design
The second family is so-called meta-design.Footnote 21 Along the same lines as mass customization, users want to tailor the products they have, either to better address their personal needs or simply to personalize them. One option to tackle this issue is the open-design approach. Designers can thus develop systems that enable the user to set a certain number of parameters and generate adequate plans. This approach also enables a better integration of user inputs. However, their inputs are restricted to the fixed framework of the meta-system formerly defined by designers.
This approach is not restricted to open-design and can also be related to mass customization (Khalid & Helander Reference Khalid, Helander, Tseng and Piller2003). However, within the framework of open-design, this approach is used with a greater degree of freedom in user inputs (instead of simply selecting among a finite list of options). Parametric design that generates a new design according to a set of parameters (Monedero Reference Monedero2000) is also related to meta-design, but, again, if the choice can be infinite, the end user cannot go outside possibilities enabled by parameters. It thus cannot create new functions.
Meta-design also includes systems that encourage and facilitate the user to produce their own systems (designs), e.g., the Arduino micro-controller. According to this point of view, modules for modular systems or creation platforms, even if they can be considered as regular products per se, can be gathered under this family. Even if these modular systems can be considered as platforms for design, they do not fall within the framework of platform design (Simpson Reference Simpson2004) which is rather related to customization.
Finally, this family also includes building kits. Indeed, kits are developed by designers for users, giving the latter a broad degree of freedom in the making of the product. We thus chose to include this approach in the meta-design family, rather than in DIY open-design. Even if this approach is not new (Resnick & Silverman Reference Resnick and Silverman2005), open-design toolkits focus on avoiding black boxes and empowering the user as much as possible by increasing the standardization, the compatibilities, and the possibilities of doable objects.
We can summarize that the specific feature of meta-design is enabling the end user to somehow design by him/herself. That is, to support him/her and give degrees of freedom in the purpose and the form of the designed artifact.
4.3 Industrial ecosystem
The last family of open-design we identified is the open industrial ecosystem.Footnote 22 In this approach, various stakeholders along the value chain and in the development process agree to open their processes and products. Because it concerns companies (most of them for-profit ones), this approach – at first glance counter-intuitive – is underpinned by rational strategic considerations. Indeed, opening of the sources increases development speed. It also fosters the adoption of technology, which benefits the whole ecosystem.
We here recognize the principles of open innovation. In practice, however, the latter can be one-directional (e.g., inbound, when a company acquires knowledge from the outside) and non-reciprocal. It can also be limited to cooperation between two companies and regulated by non-disclosure agreements – which makes it incompatible with open-design, as outlined by Chesbrough in his seminal work (Reference Chesbrough2003). However, he later acknowledged this approach as the ‘purest form’ of open innovation (Chesbrough & Appleyard Reference Chesbrough and Appleyard2007, p. 60). We can, however, compare the open industrial ecosystem with what Allen (Reference Allen1983) calls ‘collective invention’, encouraging a broad group of agents (mostly companies) to share information. This organization of innovation has proved to be able to generate rapid technical advances. In the case of tangible products, it is mostly limited to a co-localized group of agents, as the distance plays a critical role in the success of such collaborations (Cowan & Jonard Reference Cowan and Jonard2003).
We can also compare the open industrial ecosystem with the framework of free innovation, as defined by von Hippel. In this case, ‘innovations [are] developed and given away by consumers as a ‘free good’, with resulting improvements in social welfare’ (von Hippel Reference von Hippel2017, p. 1). In this context, developed products are given away, where they are rather put at disposal or shared in industrial ecosystems. The difference lies in the implicit expectation of synergies, where the designer benefits from their work – even if in a non-pecuniary or regulated way. Moreover, free innovation is an evolution of user innovation, which puts aside initiatives carried out by companies.
The two previous types of open-design are more dedicated to household sectors, because they involve end users who are ‘experts of their own life’, while the industrial ecosystem is dedicated to B2B exchanges in the context of technology development.
5 Conclusions
Product design is the process that produces an unequivocal representation of an object that meets an identified need. This process became democratized in previous decades notably because of its digitalization. It also became closer to end users due to the democratization of production means. This led end users to colonize the product design process upstream. At the same time, the open approach spread over multiple sectors. This approach (i.e., open-x) is rooted in the free-software movement. It aims to grant anyone the right to freely access, use, modify, and share x for any purpose (OKF 2015).
Open-design lies where product design and open-x meet. We defined it as ‘the state of a design project where both the process and the sources of its outputs are accessible and (re)usable, by anyone and for any purpose’ (see Section 2.4). This approach is, however, recent and little reported in the scientific literature. We find it necessary to propose to researchers and practitioners an overview of the current state of the art in order to offer a basis for future work on the topic. This will enable researchers to target homogeneous sets of practices in order to develop relevant tools and methods for practitioners.
This paper details the quantitative and qualitative analyses of the scientific literature on open-design that we led. These analyses are based on a systematic review of works prior to 2016 referenced under the term ‘open-design’ in the Scopus database. It appears that the openness of a design project can be assessed over two continuous and independent axes representing the process of design itself and its output. This enables us to highlight that, even if open-design is related to several existing topics – such as open-source innovation, user innovation, open innovation, or participatory design – none of them ‘openize’ both the design process and its output as much as open-design. Based on this observation, we were able to coin the previous definition of open-design.
Looking at the scientific literature, this notion appears to be a recent but growing topic. However, published studies dealing with open-design especially focus on the design of digital systems. Only a few works study the open-design of tangible artifacts. However, we were able to distinguish three main types of open-design in the case of physical products: do-it-yourself, meta-design, and industrial ecosystem. These types correspond to C2C, B2C, and B2B relationships, respectively. They differ in terms of audience (who is doing and who is benefiting) and purpose. However, they also share similar features: unleashing innovation and benefiting from crowdsourcing, reduced development cycles, etc.
This typology – detailed in Section 4 and summarized in Table 6 – is the main contribution of this paper. It is intended for both researchers and practitioners. The former would use it as a basis for future research. A more detailed definition of open-design(s) and its stakes would enable them to adopt a more accurate stance and sharpen the focus of methods they develop. The latter would benefit from this typology by better identifying critical issues that they should be aware of to structure open-design projects (e.g., knowing who to involve and for what purpose).
6 Picture credits
- Figure 1
-
is adapted from Ulrich (Reference Ulrich2011, Exhibit 1–9, p. 6), courtesy of Karl Ulrich. The picture derives from ‘Sun’ and ‘Gear’ icons by Jean-Philippe Cabaroc, from thenounproject.com, the ‘Vector’ icon by Desbenoit, from thenounproject.com, and from icons by Freepik, from www.flaticon.com, all licensed with a Creative Commons Attribution License.
- Figure 2
-
is found in Troxler (Reference Troxler and Van Abel2011), on page 92. It is licensed under the Creative Commons Attribution-NonCommercial-ShareAlike 3.0 Unported License.
- Figure 6
-
is found in Stappers et al. (Reference Stappers, Visser, Kistemaker and Van Abel2011), on pages 142 and 143. It is licensed under the Creative Commons Attribution-NonCommercial-ShareAlike 3.0 Unported License.
Financial support
This work was supported by heSam Université (E. B., Contrat doctoral Paris Nouveau Monde, laureate 2014).
Appendix
Table 7. Number of entries per author

Table 8. Number of entries per journal

Table 9. Number of entries per journal keyword

Table 10. Number of entries per author keyword

Table 11. Categories used in bibliometrics of open-design
















