No CrossRef data available.
Published online by Cambridge University Press: 07 April 2017

1 Calendar of State Papers Domestic, 1661–1662, p. 442Google Scholar (17 July 1662).
2 Western, J. R., The English Militia in the Eighteenth Century (London, 1965), pp. 3–51Google Scholar, gives a full account of the Restoration militia arrangements.
3 13/14 Car. II, c. 2, received the royal assent 19 May 1662; LJ, xi, p. 472Google Scholar. The second Act, 15 Car. II, c. 4, was found within a year to be necessary, being introduced in the Commons on 3 April 1663 LJ, viii, p. 464Google Scholar); it did not, however, receive the royal assent until 27 July 1663; LJ, xi, p. 578.Google Scholar
4 Militia Act 1662, s. 1.
5 Ibid., s. 2. In later references I have followed Professor Western (supra, note 2), in terming the lord lieutenant and his deputies the ‘lieutenancy’.
6 Ibid., s. 3 et al.; Militia Act 1663, s. 18.
7 Militia Act 1662, ss. 9–11; Militia Act 1663, ss. 3, 5, 16.
8 Militia Act 1663, s. 4.
9 See Table 1.
10 13 Car. II (2), c. 3.
11 Calendar of State Papers Domestic, 1663–1664, p. 458 (29 Jan. 1664).Google Scholar
12 Ibid., 26 June 1664.
13 Militia Act 1662, s. 7.
14 Militia Act 1663, s. 4.
15 Supra, note 14.
16 Militia Act 1662, ss. 16, 17, 29.
17 Ibid. s. 5.
18 Ibid., s. 18.
19 22/23 Car. II, c. 3.
20 Hereford CRO, Hereford Diocesan Archives, Court Papers, I. and O.P., Box 5, bundle 27, Churchwardens of Lyonshall v. Powell, 1684. Detailed assessments for 1636, 1642, 1643, 1645, 1646, 1656 and 1673 were adduced in evidence.
21 See Table 1.
22 Militia Act 1662, s. 4.
23 Proved 23 October 1668 (PCC).
24 E.g. the arrest and execution of the priest John Kemble in 1678–9; Assizes 2/1.
25 Militia Accounts, 1662–8, Loan 29/49, pf. 4, no. 69.
26 Ibid. This company was guarding Hereford city in October, 1663; Cal. State Papers Domestic, 1663–1664, p. 295.Google Scholar
27 Loan 29/182, fo. 252.
28 There were precedents for linking the two counties in military matters: see S.P. 28/229.
29 Loan 29/49, pf. 4, no. 69/16.
30 Ibid.
31 15 Car. II, c. 3.
32 Loan 29/15, pf. 2 and 3.
33 Powis Papers, PRO 30/53/9, 10.
34 Supra, p. 3.Google Scholar
35 Loan 29/182, fo. 252.
36 Loan 29/49, pf. 4, no. 69. Letter to Herbert Awbrey junior, 5 Dec. 1671, ibid.
37 Hereford CRO, Gatley Park MSS, also published in TWC, xxxiv (1952).Google Scholar
38 Supra, p. 5.Google Scholar
39 See Table 5. The grouping of the 59 subsidy commissioners in 1663 was typical: 29 served for more than two hundreds (3 for six hundreds); this mitigated parochial partiality; Add. 11051, fo. 82.
40 13 Car. II, c. 2.
41 16/17 Car. II, c. 1
42 1 Gul. & Mar. (2), c. 1. The hundred and parish quotas allocated in March 1664/5 were revised in May 1665 on the grounds that the city of Hereford had been overcharged by £39 in the first quarter; see Table 3; Add. 11051, fos. 87–121, passim. The Wigmore royal aid schedule summarised in the footnote on p. 133 lists the unrevised parish quotas; Loan 29/49, pf. 4, no. 69/14.
43 Chandaman, C. D., ‘The English Public Revenue, 1660–1688’ (unpublished Ph.D. thesis, London, 1954), p. 412.Google Scholar
44 Acts and Ordinances, 7 04 1649.Google Scholar
45 Chandaman, , op. cit., p. 416Google Scholar; CJ, viii, p. 582.Google Scholar
46 Add. 11051, fo. 11. The purveyance proportions were also explicitly followed by the justices in fixing the hundred quotas for the relief of the Ross plague victims in 1637; Add. 11054, fos. 33–4. The precedent provided by coat and conduct money hundred quotas, in 1627 for example, was not followed in allocating later quota taxes; Add. 11050, fo. 190.
47 See Tables 3 and 4.
48 The southern division of Wigmore hundred was formerly the lordship of Stepleton or Lugharnes.
49 These calculations are based on measurements from Ordnance Survey maps with adjustments for boundary changes. Exactitude is not claimed.
50 See Table 6. Gregory King's figures associating hearth tax charges with household size are not appropriate to Herefordshire without adjustments. Here the analysis is related to households rather than heads.
51 See Table 5; the proportions are obtained by comparing hearth tax returns with the valuations.
52 See Table 5.
53 During the next two centuries large estates became even larger. In 1873 the twenty-six largest landowners owned 22% of the county valuation (including the city of Hereford); House of Commons Sessional Papers, Return of Owners of Land 1873, England and Wales, lxxii (1874).Google Scholar
54 See Table 5.
55 Supra, note 20. The 1656 assessment on Lyonshall is closer to the hearth tax return of 1664 in numbers of names than it is to the 1663 militia valuation.
56 Ward, W. R., The English Land Tax in the Eighteenth Century (1953), p. 8Google Scholaret seq.
57 4 Gul. & Mar., c. 1. The city of Hereford was valued at circa £3,800 in 1693.
58 See p. 23.
59 See Jones, E. L., ‘Agricultural Conditions and Changes in Herefordshire, 1660–1815’, TWC, xxxvii (1961), p. 32Google Scholar, and Jackson, J. N., ‘Some Observations upon the Herefordshire Environment of the 17th and 18th Centuries’, TWC, xxxvi (1958), p. 28Google Scholar. Some of the factors leading to change are described in these articles, which together represent almost the only published work covering the rural economy of Herefordshire in the late 17th century.
60 29 Car. II, c. 1, and 1 Ann., c. 6. The 1677 assessment, at half the royal aid rate, is the only one for the period 1660–88 for which a full set of parish quota i vailabl; E.179/119/490.
61 See Table 6.
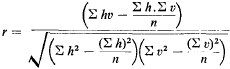
62 In these lists only these boroughs are given separate valuations from those parts of their parishes which constituted the manors foreign (in the strict sense) or other rural manors. Kington, Pembridge and Weobley, perhaps even Kingsland, were boroughs or small urban areas whose valuations are amalgamated here with the more considerable rural parts of their parishes.
63 The product moment coefficient of correlation for each of these hundreds has been calculated thus:

where r = coefficient of correlation, with value from 0 to 1,
and h = the number of charged hearths in each parish in the hundred,
and v = the total valuation of each parish in the hundred,
and n = the number of parishes in the hundred as given in the militia valuations.
r = 1 would show perfect linear correlation and a functional relationship; r =
would show a complete absence of linear correlation; r = a fraction would show a correlation of some predictive value. The fewer the parishes in the hundred the higher would be the value of r necessary to establish a significant correlation, that is, a value which could not be the result of chance.
64 A similar analysis for Hereford City shows: exemptions: 357 (including 12 void); single hearth houses: 73; 2 hearths: 96; 3 hearths: 66; 4 hearths: 50; 5 hearths: 29; 6 hearths: 12; 7 hearths: 11; 8 hearths: 10; 9 hearths: 6; 10 hearths: 3; 11 hearths: 3; 28 hearths: 1; 48 hearths: 1. The 1664 return may understate the number of households in the county by 1,500; the Michaelmas 1671 return records over one tenth more households in each of 32% of the parishes and over one tenth fewer in each of 22%, there being 20,123 charged hearths and c. 13,800 households charged and exempt; E. 179/248/14 (and E. 179/331 for Hereford exemptions).
65 P.R.O., E. 331, Institution Books, Series B, i.
66 Domville, , aliasGoogle Scholar Taylor, Silas (DNB).
67 Taylor lists the sheriffs up to 1658/9.
68 Loan 29/49, pf. 4, no. 67/1.
69 Loan 29/182 et seq.
70 See Table 7 for a comparison.
71 In Wigmore and Wormilow the subsidy charged estates whose militia valuations totalled, respectively, only 70% and 35% of all real property in the hundred. Individual estate valuations for the subsidy averaged one-seventeenth of the respective militia valuations.