1 Introduction
Let p be a fixed odd prime number and f a fixed normalised eigen-cuspform of level N and weight
$k\ge 2$
with
$p\nmid N$
. Let K denote the completion of the Hecke field of f at a prime above p and write
$\mathcal {O}$
for its ring of integers. Let
$V_f$
denote the K-adic
$G_{\mathbb {Q}}$
-representation of f defined by Deligne [Reference Deligne8]. We fix a Galois-stable
$\mathcal {O}$
-lattice
$T_f$
inside
$V_f$
and write
$A_f=V_f/T_f$
. We write
${\overline {f}}$
for the conjugate modular form of f and we write
$V_{\overline {f}}$
,
$T_{\overline {f}}$
and
$A_{\overline {f}}$
for the corresponding
$G_{\mathbb {Q}}$
-modules attached to
${\overline {f}}$
with
$T_{\overline {f}}$
chosen to be
$\operatorname {\mathrm {Hom}}_{\mathcal {O}}(T_f,\mathcal {O})(1-k)$
, where
$M({\kern1.5pt}j)$
denotes the jth Tate twist of a
$G_{\mathbb {Q}}$
-module M.
Let
$\mathbb {Q}_{\operatorname {\mathrm {cyc}}}$
be the cyclotomic
$\mathbb {Z}_p$
-extension of
$\mathbb {Q}$
and let
$\Gamma $
denote the Galois group
$\operatorname {\mathrm {Gal}}(\mathbb {Q}_{\operatorname {\mathrm {cyc}}}/\mathbb {Q})$
. The Iwasawa algebra
$\Lambda =\mathcal {O}[\![\Gamma ]\!] $
is defined to be
$\varprojlim \mathcal {O}[\Gamma /\Gamma ^{p^n}]$
, where the connecting maps are projections. After fixing a topological generator
$\gamma $
of
$\Gamma $
, there is an isomorphism of rings
$\Lambda \cong \mathcal {O}[\![ X]\!] $
sending
$\gamma $
to
$X+1$
. Given a
$\Lambda $
-module M, denote its Pontryagin dual by
$M^\vee := \operatorname {\mathrm {Hom}}_{\mathcal {O}}( M, K/\mathcal {O})$
. We write
$M^{\iota }$
for the
$\Lambda $
-module that is M as an
$\mathcal {O}$
-module equipped with a
$\Gamma $
-action given by
$\gamma \cdot _{\iota } m = \gamma ^{-1} m$
. Finally, if
$F\in \Lambda = \mathcal {O}[\![ X]\!]$
, we write
$F^\iota $
for the power series
$F({1}/{(1+X)}-1)$
.
For
$g=f$
or
${\overline {f}}$
and
$j\in \mathbb {Z}$
, let
$\operatorname {\mathrm {Sel}}_0(A_g({\kern1.5pt}j)/\mathbb {Q}_{\operatorname {\mathrm {cyc}}})$
denote the fine Selmer group of
$A_g({\kern1.5pt}j)$
over
$\mathbb {Q}_{\operatorname {\mathrm {cyc}}}$
(whose definition will be reviewed in Section 2.1). The fine Selmer groups of abelian varieties were first systematically studied by Coates and Sujatha in [Reference Coates and Sujatha7] and a little later by Wuthrich [Reference Wuthrich29]. Various conjectures on the structure of these groups have been formulated and they are still wide open to this date.
It has been proved by Kato [Reference Kato12] that
$\operatorname {\mathrm {Sel}}_0(A_g({\kern1.5pt}j)/\mathbb {Q}_{\operatorname {\mathrm {cyc}}})^\vee $
is a finitely generated torsion
$\Lambda $
-module. Let
$\mathfrak {F}_{g,j}$
denote a choice of characteristic element (that is, a generator of the characteristic ideal
$\mathrm {Char}_\Lambda \operatorname {\mathrm {Sel}}_0(A_g({\kern1.5pt}j)/\mathbb {Q}_{\operatorname {\mathrm {cyc}}})^\vee $
). The main goal of the present article is to study the divisors of
$\mathfrak {F}_{f,i}$
and
$\mathfrak {F}_{{\overline {f}},k-i}$
for a fixed integer i. These specific twists are considered due to the perfect pairing

of
$G_{\mathbb {Q}}$
-modules.
We are able to relate the divisors of
$\mathfrak {F}_{f,i}$
and
$\mathfrak {F}_{{\overline {f}},k-i}$
to the greatest common divisors of the signed Selmer groups attached to
${\overline {f}}(k-i)$
defined in [Reference Lei, Loeffler and Zerbes16, Reference Lei, Loeffler and Zerbes17] by the theory of Wach modules (see Section 2.3, where the definitions of these groups are reviewed). Let us write
$\mathfrak {F}_{{\overline {f}},k-i}^\sharp $
and
$\mathfrak {F}_{{\overline {f}},k-i}^\flat $
for a choice of characteristic elements of the Pontryagin duals of these signed Selmer groups. Under a mild hypothesis on the local representations at bad primes and a hypothesis on the validity of Kato’s Iwasawa main conjecture for
${\overline {f}}(k-i)$
(respectively labelled (H0) and (H-IMC) below), we show that if F is an irreducible element of
$\Lambda $
that is outside a certain explicit set of linear factors,
$F^\iota \nmid \mathfrak {F}_{f,i}$
and
$F\nmid \mathfrak {F}_{{\overline {f}},k-i}$
if and only if
$F\nmid \gcd (\mathfrak {F}_{{\overline {f}},k-i}^\sharp ,\mathfrak {F}_{{\overline {f}},k-i}^\flat )$
. (See Theorem 4.4 for the precise statement of this result.)
In the case where
$T_f$
is the Tate module of an elliptic curve
$E/\mathbb {Q}$
with good supersingular reduction at p, a similar result has been proved in [Reference Lei and Sujatha18]. One of the key ingredients of the proof given in [Reference Lei and Sujatha18] is a link between the fine Selmer group of E over
$\mathbb {Q}_{\operatorname {\mathrm {cyc}}}$
and the maximal
$\Lambda $
-torsion submodule of the Pontryagin dual of the p-primary Selmer group of E over
$\mathbb {Q}_{\operatorname {\mathrm {cyc}}}$
that was proved by Wingberg [Reference Wingberg, Coates, Greenberg, Mazur and Satake28] (see also Matar [Reference Matar19], where an alternative proof is given). In the present paper, we prove Theorem 4.4 by first establishing analogues of Wingberg’s result in the context of modular forms (see Theorems 3.1 and 3.4). Wingberg worked with Selmer groups defined using flat cohomology, whereas Matar worked with Selmer groups defined using Galois cohomology. In the present paper, the latter definition is used. Our proof is very different from the ones employed in both [Reference Matar19] and [Reference Wingberg, Coates, Greenberg, Mazur and Satake28]. We make use of Nekovář’s spectral sequence that seems to give a somewhat simpler and more general proof than the previous proofs available in the literature. We hope that these results may be of independent interest.
2 Definitions of Selmer groups and related objects
2.1 Fine Selmer groups
Let
$L_n$
be the unique subextension of
$\mathbb {Q}_{\operatorname {\mathrm {cyc}}}$
such that
${[L_n:\mathbb {Q}]=p^n}$
. Given an algebraic extension L of
$\mathbb {Q}$
, we write
$S(L)$
for the primes of L lying above
$pN$
as well as the archimedean primes. We write
$G_S(L)$
for the Galois group of the maximal algebraic extension of L that is unramified outside
$S(L)$
.
For
$g\in \{f,{\overline {f}}\}$
and
$j\in \mathbb {Z}$
, we define the fine Selmer group of
$A_g({\kern1.5pt}j)$
over L to be

Recall that
$\operatorname {\mathrm {Sel}}_0(A_g({\kern1.5pt}j)/\mathbb {Q}_{\operatorname {\mathrm {cyc}}})^\vee $
is torsion over
$\Lambda $
; we write
$\mathfrak {F}_{g,j}$
for a choice of a generator of the characteristic ideal
$\mathrm {Char}_\Lambda \operatorname {\mathrm {Sel}}_0(A_g({\kern1.5pt}j)/\mathbb {Q}_{\operatorname {\mathrm {cyc}}})^\vee $
.
The classical Selmer group of
$A_g({\kern1.5pt}j)$
over L is defined to be

where
$H^1_{\mathrm {f}}(L_v,A_g({\kern1.5pt}j))$
is defined as in [Reference Bloch, Kato, Cartier, Illusie, Katz, Laumon, Manin and Ribet4, Section 3].
2.2 Wach modules and signed Coleman maps
We recall the definition of signed Coleman maps from [Reference Lei, Loeffler and Zerbes16, Reference Lei, Loeffler and Zerbes17] that generalise those studied in [Reference Kobayashi13, Reference Sprung27] in the context of elliptic curves with supersingular reduction at p. Here, we do not require p to be a nonordinary prime for f. The only requirement is that p is coprime to N, so that the representation
$V_f$
is crystalline at p.
For
$g\in \{f,{\overline {f}}\}$
,
$j\in \mathbb {Z}$
and
$m\in \{1,2\}$
, we shall write

where the connecting maps are corestrictions and we have abused notation by writing p for the unique prime of
$L_n$
above p. We write
$\mathrm {loc}_p:\mathfrak {H}^1_{g,j}\rightarrow \mathbb {H}^1_{g,j}$
for the localisation map.
Let
$T=T_g(k-1)$
, where
$g\in \{f,{\overline {f}}\}$
. We write
$\mathbb {N}(T)$
for the Wach module of T. (See [Reference Berger3, Section II.1] for the precise definition of
$\mathbb {N}(T)$
.) Roughly speaking,
$\mathbb {N}(T)$
is a filtered
$\varphi $
-module over the ring
$\mathcal {O}[\![\pi ]\!]$
, where
$\pi $
is an element in the ring of Witt vectors of
$\varprojlim _{x\mapsto x^p}\mathbb {C}_p$
, given by
$[(1, \zeta _p,\zeta _{p^2},\ldots )]-1$
, and
$\zeta _{p^n}$
is a primitive
$p^n$
th root of unity in
$\mathbb {C}_p$
such that
$\zeta _{p^{n+1}}^p=\zeta _{p^n}$
. One may regard
$\pi $
as a formal variable equipped with an action of
$\varphi $
and
$\Gamma _0=\operatorname {\mathrm {Gal}}(\mathbb {Q}_p(\mu _{p^\infty })/\mathbb {Q}_p)$
given by
$\varphi (\pi )=(1+\pi )^p-1$
and
${\sigma (\pi )=(1+\pi )^{\chi _{\operatorname {\mathrm {cyc}}}(\sigma )}-1}$
for
$\sigma \in \Gamma _0$
, where
$\chi _{\operatorname {\mathrm {cyc}}}$
is the p-adic cyclotomic character. Let
$H^1_{\mathrm {Iw}}(\mathbb {Q}_p(\mu _{p^\infty }),T)=\varprojlim _n H^1(\mathbb {Q}_p(\mu _{p^n}),T)$
, where the connecting maps are corestrictions. Berger proved in [Reference Berger2, Appendix A] that there is an isomorphism of
$\mathcal {O}[\![\Gamma _0]\!]$
-modules

where
$\psi $
is a canonical left inverse of
$\varphi $
and the superscript
$\psi =1$
denotes the kernel of
$\psi -1$
.
We recall from [Reference Lei, Loeffler and Zerbes16, Reference Lei, Loeffler and Zerbes17] that for
$\bullet \in \{\sharp ,\flat \}$
, on choosing an appropriate basis of
$\mathbb {N}(T_g(k-1))$
, one can define signed Coleman maps

decomposing Perrin-Riou’s big logarithm map defined in [Reference Perrin-Riou22].
We define the twisted Coleman maps

as follows. We have the
$\mathcal {O}$
-isomorphism

where e is a basis of the
$G_{\mathbb {Q}_p}$
-representation
$\mathbb {Z}_p(1)$
as given in [Reference Perrin-Riou23, Section A.4]. Let
$\operatorname {\mathrm {Tw}}$
be the
$\mathcal {O}$
-linear automorphism on
$\mathcal {O}[\![\Gamma _0]\!]$
sending
$\sigma \in \Gamma _0$
to
$\chi _{\operatorname {\mathrm {cyc}}}(\sigma )\sigma $
. We can define a
$\Lambda $
-morphism

and obtain
$\mathrm {Col}_{g,j}^{\bullet }$
on taking the trivial isotypic component of
$\Delta :=\operatorname {\mathrm {Gal}}(\mathbb {Q}_p(\mu _p)/\mathbb {Q}_p)$
.
2.3 Signed Selmer groups and main conjectures
Let
$H_{\bullet }^1(\mathbb {Q}_{\operatorname {\mathrm {cyc}},p},A_{\overline {f}}(k-i))$
denote the orthogonal complement of
$\ker \mathrm {Col}_{f,i}^{\bullet }$
under the local Tate pairing

We define the signed Selmer groups
$\operatorname {\mathrm {Sel}}^{\bullet }(A_{\overline {f}}(k-i)/\mathbb {Q}_{\operatorname {\mathrm {cyc}}})$
as

Note that when
$A_{\overline {f}}(k-i)$
is given by
$E[p^\infty ]$
for some elliptic curve
$E/\mathbb {Q}$
with good supersingular reduction at p or when
$a_p({\overline {f}})=0$
, one may choose an appropriate basis of the Wach module so that these Selmer groups coincide with the ones studied in [Reference Kobayashi13, Reference Lei14, Reference Sprung27] (see [Reference Lei, Loeffler and Zerbes16, Sections 5.2–5.4]).
Let
$\mathbf {z}_{f,i}$
be Kato’s zeta element inside
$H^1_{\mathrm {Iw}}(\mathbb {Q}_{\operatorname {\mathrm {cyc}}},T_f(i))\otimes _{\mathbb {Z}_p}\mathbb {Q}_p$
as defined in [Reference Kato12]. It is conjectured that
$\mathbf {z}_{f,i}\in H^1_{\mathrm {Iw}}(\mathbb {Q}_{\operatorname {\mathrm {cyc}}},T_f(i))$
(see [Reference Kato12, Conjecture 12.10]). Assuming this (which we shall do for the rest of the article), recall from [Reference Lei, Loeffler and Zerbes16, Equation (61)] the Poitou–Tate exact sequence

where
$L_p^{\bullet }=\mathrm {Col}_{f,i}^{\bullet }\circ \mathrm {loc}_p(\mathbf {z}_{f,i})$
is the signed p-adic L-function associated to
${\overline {f}}(k-i)$
. If
$L_p^{\bullet }\ne 0$
, then
$\operatorname {\mathrm {Sel}}^{\bullet }(A_{\overline {f}}(k-i)/\mathbb {Q}_{\operatorname {\mathrm {cyc}}})^\vee $
is a finitely generated torsion
$\Lambda $
-module. We write
$\mathfrak {F}_{{\overline {f}},k-i}^{\bullet }$
for a characteristic element of this module.
Kato [Reference Kato12] proved that the first and fourth terms of (2.1) are
$\Lambda $
-torsion. He further formulated the Iwasawa main conjecture:

It follows from (2.1) that this is equivalent to

provided that
$L_p^{\bullet }\ne 0$
.
For the rest of the article, we shall assume that the following hypothesis holds.
(H-IMC) Kato’s Iwasawa main conjecture (2.2) holds and both
$L_p^\sharp $
and
$L_p^\flat $
are nonzero.
Remark 2.1. We say a few words on the hypothesis (H-IMC). In his seminal work [Reference Kato12], Kato established that the inclusion ‘
$\subseteq $
’ in (2.2) holds after tensoring by
$\mathbb {Q}_p$
under the assumption that the image of the representation
$T_f|_{G_{\mathbb {Q}(\mu _{p^\infty })}}$
contains a copy of
$\mathrm {SL}_2(\mathbb {Z}_p)$
, provided that certain local terms vanish (see, in particular, [Reference Kato12, Theorem 12.5(4)]). Note that in [Reference Kato12, Conjecture 12.10], Kato’s main conjecture is formulated in terms of étale cohomology groups. Kobayashi and Kurihara showed that it can be recast in terms of Galois cohomology groups and fine Selmer groups (see, for example, [Reference Kobayashi13, Proposition 7.1]). The reverse inclusion of (2.2) has been established in the monumental work of Skinner and Urban [Reference Skinner and Urban26] for a p-ordinary modular form (under certain hypotheses; see [Reference Skinner and Urban26, Theorem 1]). In the nonordinary form, there have been several recent breakthroughs in this reverse direction (see [Reference Castella, Çiperiani, Skinner and Sprung5, Reference Castella, Liu and Wan6, Reference Fouquet and Wan9]). Finally, the work [Reference Lei, Loeffler and Zerbes16] has supplied many sufficient conditions for the nonvanishing of
$L_p^\sharp $
and
$L_p^\flat $
(see [Reference Lei, Loeffler and Zerbes16, Corollary 3.29 and Proposition 3.39]). In view of these developments, it seems reasonable to assume hypothesis (H-IMC); our main results rely on it.
2.4 Images of signed Coleman maps
We review an explicit description of the images of these Coleman maps. Recall that
$\gamma $
is a fixed topological generator of
$\Gamma $
giving the identification
$\Lambda =\mathcal {O}[\![ X]\!]$
via
$X=\gamma -1$
. Let
$u=\chi _{\operatorname {\mathrm {cyc}}}(\gamma )$
. From [Reference Lei, Loeffler and Zerbes17, Section 5A], if
$\eta $
is a character on
$\Delta $
, then there exist constants
$c_{\eta ,j}\in K$
such that

(In [Reference Lei, Loeffler and Zerbes17], it is assumed that f is nonordinary at p, meaning that
$a_p(f)$
is a nonunit in
$\mathcal {O}$
. But the same calculations still apply to the ordinary case. See [Reference Lei, Loeffler and Zerbes17, Remark 1.10].) In particular, this tells us that there is an isomorphism of
$\Lambda $
-modules

where
$e_\eta $
denotes the idempotent attached to
$\eta $
.
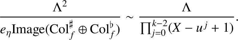
Lemma 2.2. There is a pseudo-isomorphism of
$\Lambda $
-modules

Proof. It is enough to show that the
$\mu $
-invariant of the quotient on the left-hand side vanishes. For simplicity, let us write

Consider the tautological short exact sequence
$ 0\rightarrow C\rightarrow \Lambda ^2\rightarrow \Lambda ^2/C\rightarrow 0. $
This gives the exact sequence

where
$\varpi $
is a fixed uniformiser of
$\mathcal {O}$
. Similarly, we have the exact sequences

Recall from [Reference Lei, Loeffler and Zerbes17, Theorem 5.10] that the
$\mu $
-invariants of
$\Lambda /C_{\bullet }$
are zero. Therefore,
$\ker \Phi _{\bullet }=(\Lambda /C_{\bullet })[\varpi ]$
is finite for both choices of
$\bullet $
. Note that
$C\subset C_\sharp \oplus C_\flat $
and
$\Phi =(\Phi _\sharp \oplus \Phi _\flat )|_{C/\varpi }$
by definition, which implies that

Hence,
$\ker \Phi =(\Lambda ^2/C)[\varpi ]$
is finite. In particular, the
$\mu $
-invariant of
$\Lambda ^2/C$
is zero, which finishes the proof of the lemma.
Remark 2.3. In the case where
$T_f$
is the p-adic Tate module of an elliptic curve with good supersingular reduction at p, we can in fact describe the set C explicitly. See [Reference Lei and Lim15, Proposition 2.2].
It follows from Lemma 2.2 that there is an exact sequence

where the first map is given by
$\mathrm {Col}_{f,i}^\sharp \oplus \mathrm {Col}_{f,i}^\flat $
and
$\mathcal {C}_{k,i}$
is a
$\Lambda $
-module, which is pseudo-isomorphic to
$\Lambda /\eta _{k,i}$
, with
$\eta _{k,i}$
being the image of
$\prod _{j=0}^{k-2}(X-u^{{\kern1.5pt}j}+1)$
under the twisting map
$\operatorname {\mathrm {Tw}}^{i-k+1}$
.
3 A generalisation of a result of Wingberg
Let
$\mathcal {A}$
be an abelian variety over
$\mathbb {Q}$
with supersingular reduction at p. Wingberg proved that there is a pseudo-isomorphism of
$\Lambda $
-modules

where
$\mathcal {A}^t$
is the dual abelian variety of
$\mathcal {A}$
(see [Reference Wingberg, Coates, Greenberg, Mazur and Satake28, Corollary 2.5]). Here,
$M_{\Lambda -\mathrm {tor}}$
denotes the maximal torsion submodule of a
$\Lambda $
-module M,
$\operatorname {\mathrm {Sel}}(\mathcal {A}[p^\infty ]/\mathbb {Q}_{\operatorname {\mathrm {cyc}}})$
is the p-primary Selmer group of
$\mathcal {A}$
over
$\mathbb {Q}_{\operatorname {\mathrm {cyc}}}$
and
$\operatorname {\mathrm {Sel}}_0(\mathcal {A}^t[p^\infty ]/\mathbb {Q}_{\operatorname {\mathrm {cyc}}})$
is the p-primary fine Selmer group of
$\mathcal {A}^t$
over
$\mathbb {Q}_{\operatorname {\mathrm {cyc}}}$
defined in a similar manner to the fine Selmer groups for
$A_g({\kern1.5pt}j)$
in Section 2.1 above. We prove the following analogue of Wingberg’s result in the context of modular forms.
Theorem 3.1. We have a pseudo-isomorphism of
$\Lambda $
-modules

where
$g\in \{f,{\overline {f}}\}$
and
$j\in \mathbb {Z}$
.
Proof. From the low-degree terms of Nekovář’s spectral sequence (see [Reference Nekovář20, Lemma 9.1.5]),

we obtain the exact sequence of
$\Lambda $
-modules

Since
$\operatorname {\mathrm {Hom}}_{\Lambda }( H^1_{\operatorname {\mathrm {Iw}}}(\mathbb {Q}_{\operatorname {\mathrm {cyc}}}, T_g({\kern1.5pt}j)), \Lambda )$
is a reflexive
$\Lambda $
-module by [Reference Neukirch, Schmidt and Wingberg21, Corollary 5.1.3], it is
$\Lambda $
-torsion-free. Hence, it follows from the exact sequence that there is an isomorphism

of
$\Lambda $
-modules. By [Reference Neukirch, Schmidt and Wingberg21, Proposition 5.5.13], the latter is pseudo-isomorphic to
$(\mathfrak {H}^2_{g,j})^\iota $
, which concludes the proof of the theorem.
When f is nonordinary at p, we shall establish a direct analogue of Wingberg’s theorem on the level of Selmer groups under the following hypothesis on the local representation
$A_{\overline {f}}$
(see Theorem 3.4 below).
(H0) For all
$v\in S(\mathbb {Q}_{\operatorname {\mathrm {cyc}}})$
, the group
$H^0(\mathbb {Q}_{\operatorname {\mathrm {cyc}},v},A_{\overline {f}}(k-i))$
is finite.
Remark 3.2. Note that when
$v \mid p$
, the group
$H^0(\mathbb {Q}_{\operatorname {\mathrm {cyc}},v},A_{\overline {f}}(k-i))$
is always finite by [Reference Hatley, Kundu, Lei and Ray10, Lemma 3.3]. See also [Reference Hatley, Kundu, Lei and Ray10, Section 5], where sufficient conditions and explicit examples of the finiteness of
$H^0(\mathbb {Q}_{\operatorname {\mathrm {cyc}},v},A_{\overline {f}}(k-i))$
for
$v \mid N$
are studied.
Lemma 3.3. Under (H0), we have a pseudo-isomorphism of
$\Lambda $
-modules

Proof. Let
$n\ge 0$
be an integer. By the Poitou–Tate exact sequence (see, for example, [Reference Perrin-Riou23, Section A.3.1]), we have the exact sequence

By definition,

This gives the exact sequence

By the local Tate duality,

for all
$v\in S$
. Thus, after taking Pontryagin duals and inverse limits,

Therefore, the lemma follows from (H0).
Theorem 3.4. Suppose that f is nonordinary at p and (H0) holds. We have a pseudo-isomorphism of
$\Lambda $
-modules

Proof. Consider the defining sequence of the Selmer group

By [Reference Bloch, Kato, Cartier, Illusie, Katz, Laumon, Manin and Ribet4, Proposition 3.8], there is an isomorphism

where
$w_n\in S(L_n)$
is such that
$w_n$
lies below w and
$w_{n+1}$
. When
$w\nmid p$
, this is zero by [Reference Kato12, Section 17.10]. When
$w \mid p$
, it is also zero by [Reference Perrin-Riou24, Theorem 0.6] under the hypothesis that f is nonordinary at p. Hence, we have an isomorphism

of
$\Lambda $
-modules. Combining this with Theorem 3.1, we obtain a pseudo-isomorphism

of
$\Lambda $
-modules. But the latter is pseudo-isomorphic to
$\operatorname {\mathrm {Sel}}_0(A_f(i)/\mathbb {Q}_{\operatorname {\mathrm {cyc}}})^\vee $
by Lemma 3.3 under (H0). This concludes the proof of the theorem.
4 Comparison of characteristic elements
4.1 Preliminary lemmas
We prove several preliminary lemmas that will be used in the proofs of Theorems 4.3 and 4.4 below.
Lemma 4.1. Assume that (H0) holds. If F is an irreducible element of
$\Lambda $
such that
$F\nmid \mathfrak {F}_{{\overline {f}},k-i}$
, then we have a psuedo-isomorphism

of
$\Lambda $
-modules. In particular,
$(\mathbb {H}^1_{f,i}/\mathfrak {H}^1_{f,i})[F]$
is finite if and only if
$F^\iota \nmid \mathfrak {F}_{f,i}$
.
Proof. We have the Poitou–Tate exact sequence

This gives the short exact sequence

which in turn induces the exact sequence

By assumption,
$\operatorname {\mathrm {Sel}}_0(A_{\overline {f}}(k-i)/\mathbb {Q}_{\operatorname {\mathrm {cyc}}})^\vee [F^\infty ]$
is finite. Therefore, we obtain a psuedo-isomorphism

By Theorem 3.1 and Lemma 3.3, we have the pseudo-isomorphism of
$\Lambda $
-modules

Combining these two pseudo-isomorphisms finishes the proof of the lemma.
Lemma 4.2. Assume that (H-IMC) holds. Let F be an irreducible element of
$\Lambda $
such that
$F\nmid \eta _{k,i}$
. Recall that
$\mathrm {loc}_p$
denotes the localisation map from
$\mathfrak {H}^1_{f,i}$
to
$\mathbb {H}^1_{f,i}$
. Then one has a pseudo-isomorphism

of
$\Lambda $
-modules. Hence,
$F\nmid \gcd (\mathfrak {F}_{{\overline {f}},k-i}^\sharp ,\mathfrak {F}_{{\overline {f}},k-i}^\flat )$
if and only if
$ (\mathbb {H}^1_{f,i}/(\mathrm {loc}_p(\mathbf {z}_{f,i})))[F]$
is finite.
Proof. By (2.4) and (2.3), we have the exact sequence

This gives the exact sequence

The last term is finite since
$F\nmid \eta _{k,i}$
. Hence, the result follows.
4.2 Comparison between characteristic ideals of fine Selmer groups and signed Selmer groups
The goal of this section is to prove a generalisation of [Reference Lei and Sujatha18, Theorem 1.2] (see Theorem 4.4 below). We shall do so via the following intermediate result.
Theorem 4.3. Assume that (H-IMC) and (H0) hold. Let F be an irreducible element of
$\Lambda $
such that
$F\nmid \eta _{k,i}$
and
$F\nmid \mathfrak {F}_{{\overline {f}},k-i}$
. There is a pseudo-isomorphism of
$\Lambda $
-modules

In particular,
$F^\iota \nmid \mathfrak {F}_{f,i}$
if and only if
$F\nmid \gcd (\mathfrak {F}_{{\overline {f}},k-i}^\sharp ,\mathfrak {F}_{{\overline {f}},k-i}^\flat )$
.
Proof. By Lemma 4.2, we have a pseudo-isomorphism

of
$\Lambda $
-modules. Consider the short exact sequence

Since
$\mathfrak {H}^1_{f,i}/\Lambda \mathbf {z}_{f,i}$
is a torsion
$\Lambda $
-module with
$\mathrm {Char}_\Lambda (\mathfrak {H}^1_{f,i}/\Lambda \mathbf {z}_{f,i}) = \mathfrak {F}_{{\overline {f}},k-i}$
not divisible by F, we have the following pseudo-isomorphism of
$\Lambda $
-modules:

By Lemma 4.1, the latter is pseudo-isomorphic to
$\operatorname {\mathrm {Sel}}_0(A_f(i)/\mathbb {Q}_{\operatorname {\mathrm {cyc}}})^{\vee ,\iota } [F^\infty ]$
. On combining these pseudo-isomorphisms, the theorem follows.
We can now state and prove the main result of the article.
Theorem 4.4. Assume that (H-IMC) and (H0) hold. Let F be an irreducible element of
$\Lambda $
such that
$F\nmid \eta _{k,i}$
. Then
$F^\iota \nmid \mathfrak {F}_{f,i}$
and
$F\nmid \mathfrak {F}_{{\overline {f}},k-i}$
if and only if
$F\nmid \gcd (\mathfrak {F}_{{\overline {f}},k-i}^\sharp ,\mathfrak {F}_{{\overline {f}},k-i}^\flat )$
.
Proof. Theorem 4.3 tells us that if
$F^\iota \nmid \mathfrak {F}_{f,i}$
and
$F\nmid \mathfrak {F}_{{\overline {f}},k-i}$
, then
$F\nmid \gcd (\mathfrak {F}_{{\overline {f}},k-i}^\sharp ,\mathfrak {F}_{{\overline {f}},k-i}^\flat )$
. This proves the ‘only if’ implication.
Conversely, suppose that
$F\nmid \gcd (\mathfrak {F}_{{\overline {f}},k-i}^\sharp ,\mathfrak {F}_{{\overline {f}},k-i}^\flat )$
. From the inclusion

we have
$F\nmid \mathfrak {F}_{{\overline {f}},k-i}$
. The remaining assertion that
$F^\iota \nmid \mathfrak {F}_{f,i}$
now follows from Theorem 4.3.
Remark 4.5. Let
$E/\mathbb {Q}$
be an elliptic curve with good supersingular reduction at p. In [Reference Lei and Sujatha18], it is stated in the proof of Proposition 3.1 that by [Reference Wingberg, Coates, Greenberg, Mazur and Satake28, Corollary 2.5], we have the equality

However, one of the two Selmer groups should be twisted by
$\iota $
in order for the equality to hold. As such, for the rest of the proof to go through, the additional hypothesis that the irreducible element f (not to be confused with the notation for a modular form in the present article) satisfies
$(f)=(f^\iota )$
is required. Consequently, the statement of [Reference Lei and Sujatha18, Theorem 1.2] should also be modified.
Specialising our Theorem 4.4 to the case
$F=\varpi $
, where
$\varpi $
is a uniformiser of
$\mathcal {O}$
, we may deduce the following result.
Corollary 4.6. Assume that (H-IMC) and (H0) hold. Then the following statements are equivalent.
-
(a) The
$\mu $ -invariants of
$\operatorname {\mathrm {Sel}}_0(A_f(i)/\mathbb {Q}_{\operatorname {\mathrm {cyc}}})^\vee $ and
$\operatorname {\mathrm {Sel}}_0(A_{\overline {f}}(k-i)/\mathbb {Q}_{\operatorname {\mathrm {cyc}}})^\vee $ are zero.
-
(b) At least one of
$\operatorname {\mathrm {Sel}}^\sharp (A_{\overline {f}}(k-i)/\mathbb {Q}_{\operatorname {\mathrm {cyc}}})^\vee $ and
$\operatorname {\mathrm {Sel}}^\flat (A_{\overline {f}}(k-i)/\mathbb {Q}_{\operatorname {\mathrm {cyc}}})^\vee $ has trivial
$\mu $ -invariant.
Remark 4.7. From [Reference Coates and Sujatha7, Conjecture A], [Reference Jha and Sujatha11, Conjecture A] and [Reference Aribam1, Conjecture 1.2], the
$\mu $
-invariants of
$\operatorname {\mathrm {Sel}}_0(A_f(i)/\mathbb {Q}_{\operatorname {\mathrm {cyc}}})^\vee $
and
$\operatorname {\mathrm {Sel}}_0(A_{\overline {f}}(k-i)/\mathbb {Q}_{\operatorname {\mathrm {cyc}}})^\vee $
are predicted always to vanish. Corollary 4.6 gives an alternative formulation of these conjectures in terms of signed Selmer groups. In fact, numerical calculations carried out by Pollack (see [Reference Pollack25, Section 7] and http://math.bu.edu/people/rpollack/Data/data.html) suggest that the
$\mu $
-invariants of both
$\operatorname {\mathrm {Sel}}^\sharp (A_{\overline {f}}(k-i)/\mathbb {Q}_{\operatorname {\mathrm {cyc}}})^\vee $
and
$\operatorname {\mathrm {Sel}}^\flat (A_{\overline {f}}(k-i)/\mathbb {Q}_{\operatorname {\mathrm {cyc}}})^\vee $
are zero when
$A_{\overline {f}}(k-i)$
is given by
$E[p^\infty ]$
for some elliptic curve
$E/\mathbb {Q}$
with good supersingular reduction at p.
Acknowledgement
We would like to thank the anonymous referee for providing various helpful comments that have helped us improve the exposition of this article.