A diet high in fruits and vegetables is associated with a decreased risk of many chronic diseases(1), and therefore several Western countries have recommendations to increase fruit and vegetable consumption. Juice is included in these fruit and vegetable recommendations, but in restricted quantities, as juices do not offer the same nutritional and health benefits as fresh fruits and vegetables and can lead to excessive energy intake and weight gain due to the higher amount of sugar and energy(2–Reference Astrup, Andersen and Stender4). Increasing fruit and vegetable consumption in children is one of the major issues in the field of dietary interventions(Reference Evans, Greenwood and Cade5). Valid dietary assessment methods are essential for identifying how eating habits change in response to interventions and for identifying the impact of dietary habits on health and weight status.
The optimal well-being, development and health for Danish Children through a healthy New Nordic Diet (OPUS) centre was established to promote health and prevent overweight in Danish children. One of the key aims of the OPUS centre was to create a New Nordic Diet (NND) based on food items native to the Nordic region(Reference Mithril, Dragsted and Meyer6). A fundamental principle of the NND is that the majority of the energy should be provided by plant-based foods. The NND contains at least 700 g fruits and vegetables/d per 10 MJ (300 g fruits; 400 g vegetables), and contains at least 30 g nuts, 140 g potatoes and 5 g seaweed/d(Reference Mithril, Dragsted and Meyer7).
The OPUS centre includes a school meal study with more than 800 Danish children aged 8–11 years, with the aim of testing the health effects of the NND. In the OPUS School Meal Study, children will be served lunch and snacks based on the NND.
To document and evaluate dietary intake, and intake of the NND, a suitable measure of the children's dietary intake, including fruits, juice and vegetables (FJV), was needed. It was considered that a self-administered intuitive, child-appealing web-based dietary data collection would be acceptable both for children and adults as well as being cost efficient(Reference Biltoft-Jensen8); subsequently, Web-based Dietary Assessment Software for Children (WebDASC) was developed for this purpose(Reference Biltoft-Jensen, Trolle and Christensen9).
There are several challenges connected with self-reported dietary intake in general and, especially, in children, e.g. memory of intake, ability to estimate portion size and socially desirable responses. Because of the unavoidable errors, dietary assessment methods should always be validated to avoid misinterpretation of the data output.
In the OPUS School Meal Study, it is essential to know if participants are able to provide reasonable reports of FJV intake.
One method to evaluate this is to compare FJV consumption with biomarkers such as plasma concentrations of carotenoids. In developed countries, 80–90 % of carotenoid intake comes from FJV consumption(Reference Maiani, Caston and Catasta10). A dose–response relationship between carotenoid intake and appearance in plasma has been shown(Reference Broekmans, Klopping-Ketelaars and Schuurman11), making plasma carotenoids a reasonable biomarker of intake.
The carotenoids, such as α-carotene, β-carotene, β-cryptoxanthin, lutein, lycopene and zeaxanthin, represent more than 95 % of the total blood carotenoids(Reference Maiani, Caston and Catasta10), and these have been used before to validate FJV intake measured by various dietary assessment methods mainly among adults and adolescents(Reference Carlsen, Karlsen and Lillegaard12–Reference Toft, Kristoffersen and Ladelund17). Only a few validation studies using biomarkers as the reference method have been carried out with children(Reference Vioque, Navarrete-Munoz and Gimenez18, Reference Parrish, Marshall and Krebs19), and, to our knowledge, the present study is the first to validate reported FJV intake using plasma carotenoids in a group of 8- to 11-year-old children. As biomarkers may be imprecise, because they are influenced by factors unrelated to dietary intake, like individual variability in absorption (co-consumption of inhibitors and promoters), availability (different processing) and metabolism(Reference van Het Hof, West and Weststrate20), they should be regarded as a crude measure. Biomarkers, in general, convey no information about what is eaten at which meal and which day. Therefore, a combination of carotenoid biomarkers with direct observations would also give insight into the reporting accuracy of meals, and hence, wider aspects of the validity and function of the dietary assessment method.
Direct observation of meals is considered a ‘gold standard’ for evaluating the validity of dietary assessment tools, because eating is an observable behaviour(Reference Sherwood, Elissa and Steele21). Direct observation involves the comparison of foods reported to be eaten with foods actually eaten by observing what participants really eat. However, observations are resource demanding and are, because of the invasive nature, often not possible to carry out through longer periods like a whole day. Thus, observations have mostly been used to validate intake at selected meals in structured environments, and among 10-year-old school children, to validate reported school meal intake(Reference Baxter, Thompson and Litaker22–Reference Baxter, Thompson and Davis24). Digital photographic methods provide new possibilities for conducting observations and evaluating dietary assessment, and have been used before to measure school lunch intake in children(Reference Martin, Newton and Anton25). In combination with weights of foods and beverages consumed, the digital photographic method is both informative and precise and has not, to our knowledge, been used before as an observation method to validate a dietary assessment tool targeted at children.
The aims of the present study are to validate the self-reported FJV intake and the estimated carotenoid intake, using WebDASC, by 8- to 11-year-old children by comparing them with plasma concentrations of carotenoids, and, further, to assess the accuracy of reporting of school lunch intake of FJV by comparing the reported FJV intake with actually eaten FJV, as observed by a digital photographic method and weighing.
Method
Study design
The evaluation study was performed as part of the OPUS School Meal Pilot Study conducted from January to April 2011. Third- and fourth-grade children at one school situated in the North-eastern part of Denmark were recruited. A total of 105 pupils and their families were invited, and eighty-one gave written consent to participate. Detailed instructions on how to report food intake in WebDASC were provided individually to all participants by the research team along with written instructions. Children, assisted by parents, reported their total diet in WebDASC for seven consecutive days. During this period, the children brought their packed lunches from home, as they usually do in most Danish schools. On the same five schooldays as they reported their diet in WebDASC, the children's packed school lunch was photographed and weighed before and after lunch, and supplementary questions were asked.
All the participants’ parents were interviewed, in person, about social background, health issues, attitudes and knowledge about food and health. Fasting blood samples were taken by experienced laboratory technicians and body weight and height were measured once by trained personnel during the week after food reporting. Neither children nor parents received any payment for participating. The present study was conducted according to the guidelines laid down in the Declaration of Helsinki, and all procedures involving human subjects were approved by the Committee on Biomedical Research Ethics in the Capital Region of Denmark (no. H-1-2010-023).
Food reporting in Web-based Dietary Assessment Software for Children
Participants recorded their diet in WebDASC for seven consecutive days every evening. For inclusion of a participant's dietary reports in the analyses, at least three weekdays and one weekend day of food reporting had to be completed.
In WebDASC, special attention was given to age-appropriate design issues. An animated armadillo guided respondents through six daily eating occasions (breakfast, morning snack, lunch, afternoon snack, dinner and evening snack) and helped them report foods and beverages previously consumed. A database of 1300 food items, including 220 individual FJV (ninety fruits, ten juices and 120 vegetables), was available either through category browse or free text search, aided by a spell check application. A type-in format was available for foods not otherwise found through category browse or text search. Amount consumed was estimated by selecting the closest portion size among four different digital images in 320 photograph series. WebDASC included internal checks for frequently forgotten foods (spreads, sugar, sauces, dressings, snacks, candy and beverages) and the following features to create motivation: a food-meter displaying total amount of foods reported so far, a most popular food ranking and a computer game with a high score list. The rank list and game were accessible after completing a day's recordings. Furthermore, participants reported the intake of nutritional supplements and whether a day represented usual or unusual intake, including reasons for unusual intakes such as illness. If a participant failed to report for a day, parents were reminded the next day by an e-mail. Failing to report for a day within 48 h automatically closed the day and opened a new day instead.
FJV intake was calculated for each individual using General Intake Estimation System (GIES) software (version 1.000 d – 2010-02-26) developed at the National Food Institute, Technical University of Denmark, Copenhagen).
Vegetables did not include potatoes, which in Denmark are classified as a starchy staple. Fruits also included fruit products such as jam, nuts and concentrated fruit syrups.
Estimation of carotenoid intake
Carotenoid intake was estimated for each individual by coupling all foods reported to their carotenoid content. Thereafter, GIES was used to estimate intake of individual carotenoids. Because a comprehensive database of the carotenoid content in Danish and Nordic foods does not exist, we chose to use the United States Department of Agriculture database for US foods (United States Department of Agriculture National Nutrient Database for Standard Reference, Release 24, 2011)(26).
Blood samples and determination of plasma carotenoids
Overnight fasting blood samples were collected in a mobile laboratory placed outside the school, during the week and after the dietary reporting. Venous blood was drawn from the forearm in EDTA tubes, centrifuged at 2500 g for 10 min at 4°C within 30 min of collection and the plasma was stored at − 80°C until analysis. α-Carotene, β-carotene, β-cryptoxanthin, lutein, lycopene and zeaxanthin in plasma were determined by HPLC, according to Søltoft et al. (Reference Søltoft, Bysted and Madsen27) and Toft et al. (Reference Toft, Kristoffersen and Ladelund17). In short, plasma was treated with ethanol to precipitate proteins, and carotenoids were extracted with petroleum diethyl ether and analysed by HPLC. Separation of carotenoids was achieved using a C30 carotenoid column, and a photodiode array detector was applied for identification of the carotenoids by scanning between 200 and 600 nm. A UV detector was used for quantification at 450 nm for lutein, zeaxanthin, β-cryptoxanthin, α-carotene and β-carotene, and at 470 nm for lycopene. The concentrations of the carotenoids were calculated using external standard curves. Standards were obtained from Sigma-Aldrich and CaroteNature GmbH.
Observations of school lunches made by food photography
White solid polystyrene plates (Model LINPAC; size 26 cm) marked with class, date and ID numbers were distributed to all children in the two school classes, just before school lunch. The children were asked to unpack their packed lunches from home and place their food on the plate. They were told to separate items and open up the sandwiches, so that all food items would be observable. The children were asked to bring their food and drinks to one of two weighing stations, where a researcher weighed the plate with the food on, and the drinks on an electronic scale (Soehnle; Vera 67 002, with a precision of ± 1 g). The children were also asked if they had eaten food items from their packed lunch earlier that day. Afterwards, the children proceeded to one of the two photography stations, where food and beverages were photographed. Images were taken of the plates and beverages using a Nikon COOLPIX S700 digital camera (12·1-megapixel) based on the following standard procedure: a cubelite (Lastolite Cubelite 58 cm) was used to ensure suitable lighting and a squared plate mat was used as background, as an internal reference of size (squares = 2 × 2 cm) and to mark the placement of the plate, the camera tripod and fix points to adjust the camera angle. Images were taken from the camera tripod (43 cm tall) at an approximate 45° angle looking down at the plates, making it possible to see the depth of the foods. When the children had finished eating, the procedure was repeated. Any package or wrapping that was weighed the first time (yoghurt and noodle cups, muesli bar wrappings, etc.) was left on the plate and also weighed the second time. The second time, the children were asked if they had received any foods or drinks or given away any, and if they wanted to save leftovers for later. The questions should help qualifying the food reporting in WebDASC and the comparison with the images. Later, an experienced dietitian assessed the accuracy of the children's diet records at lunch, by hand, for each individual by scoring the items reported against the two images (before and after eating). Each item was classified either as a match (item recorded eaten and observed eaten), an intrusion (items reported eaten but not observed eaten), an omission (item observed eaten but not reported eaten) or a fault (item reported eaten does not describe the item observed eaten). Matches, omissions and intrusions also included assessment of the recorded serving size, e.g. if there were two carrots eaten, as seen from the school lunch image, and there was only one carrot reported in WebDASC (judged by WebDASC image weight), this was recorded as an omission, and if a raisin portion seen from the school lunch images was smaller than the reported raisin portion in WebDASC (judged by WebDASC image weight), this was recorded as an intrusion.
Anthropometric measurements
Participants were weighed, fasting overnight, without shoes in light indoor clothing to the nearest 0·1 kg on an electronic digital scale (Tanita BWB-800S; Tanita Europe). Height was measured without shoes to the nearest 0·1 cm with a portable stadiometer (CMS Weighing Equipment Limited). BMI was calculated and overweight and obesity were based on age- and sex-specific cut-offs defined to pass through BMI of 25 and 30 kg/m2 at age 18 years, according to Cole et al. (Reference Cole, Bellizzi and Flegal28).
Parental education
Parental education was classified into two groups based on a combination of school education and further education: (1) basic school and vocational education ( ≤ 13 years, mainly practical) and (2) short, medium and long further education (>11 years, mainly theoretical).
Statistics
The participants of the present study were compared with a random sample from the Danish National Survey of Diet and Physical Activity (DANSDA) 2003–8, and differences in characteristics were evaluated using the χ2 statistic, z test and independent t test. In these comparisons, the energy-adjusted FJV intake (g/10 MJ) was used due to the statistically significant difference in energy intake between the two studies. In the subsequent analysis, comparing FJV with the crude plasma carotenoid content, the crude values of FJV intake (g/d) were used.
Total plasma carotenoid concentration and total FJV intake were normally distributed. Carotenoid intake and fruit, juice or vegetable intake independently were not normally distributed. Therefore, medians and interquartile ranges were reported for the estimated carotenoid intake, and Spearman correlations were calculated between the individual plasma carotenoids and FJV intake.
The partial correlation coefficients adjusted for sex, BMI, total energy expenditure, age, parental education, fat intake and illness were calculated for the association between reported total FJV intake and total plasma concentrations of carotenoids. Only significant factors were retained in the final correlations.
Comparison of carotenoid concentrations between users and non-users of dietary supplements were performed by the independent t test.
Categorical agreement between reported FJV intake and plasma carotenoids was assessed using cross-classification of FJV intake and plasma carotenoids divided into quartiles and by applying κ statistics.
Linear mixed models were used to assess a weekday and meal effect to qualify school lunch observations of FJV intake, and to assess the influence of the background factors, such as sex, parental education, BMI, age and illness, and their mutual interactions on FJV intake.
The fixed-factor effects in the model were sex, parental education, BMI, age, illness that affected eating and all their two-way interactions. To adjust for dependency in repeated measures within subjects, random effects were added for subject. Non-significant fixed effects were removed from the models, leading to simplified models for summary of the significant effects. Homogeneity of variance and normality of the residuals were examined using graphical methods.
In all statistical analyses, a significance level of 5 % was applied. Data were analysed using SPSS for Windows version 19.
Results
Background and reporting characteristics of the study population
A total of eighty-one children (thirty-four boys and forty-seven girls), with assistance from parents, reported their diet in WebDASC for seven consecutive days. Of these, seventy-three had a blood sample taken. In all, seventy-seven children had their lunch weighed and photographed during the diet assessment period, not all on all 5 d due to illness and vacation.
The volunteer study population was representative of the randomly selected population in the DANSDA 2003–8 with regard to age, sex, use of supplements and parental education. However, the study population had lower BMI (height and weight in the DANSDA 2003–8 was self-reported by parents) and had a higher intake of vegetables (Table 1). Furthermore, the parents answered to a higher degree that vegetables characterised a healthy diet when asked ‘What does in your opinion characterise a healthy diet?’.
Table 1 Characteristics of the study sample compared with the population of 8- to 11-year-old children in the Danish National Survey of Dietary Habits and Physical Activity 2003–8 (DANSDA) (Mean values with their standard errors)

a,bMean values within a row with unlike superscript letters were significantly different between the present study and the DANSDA study (P< 0·05).
* Web-based Dietary Assessment Software for Children.
† Based on age- and sex-specific cut-offs defined to pass through BMI of 25 and 30 kg/m2 at age 18 years, according to Cole et al. (Reference Cole, Bellizzi and Flegal28).
‡ Coded answer to the question ‘What characterises in your opinion, healthy food?’.
The average time spent completing WebDASC on the first day was 35 min, and it was 15 min on the following days. Participants reported, on average, eighteen food/beverages per d, of which two were fruits, two were vegetables and one was juice. A total of twenty-eight participants entered, on average, 0·6 foods per d that they could not find in the database. Main problems reported were due to the unfamiliarity with the detail of the food list and difficulties related to portion size estimation, e.g. milk on cereals and beverages drunk from water bottles.
Fruit and vegetable intake based on Web-based Dietary Assessment Software for Children
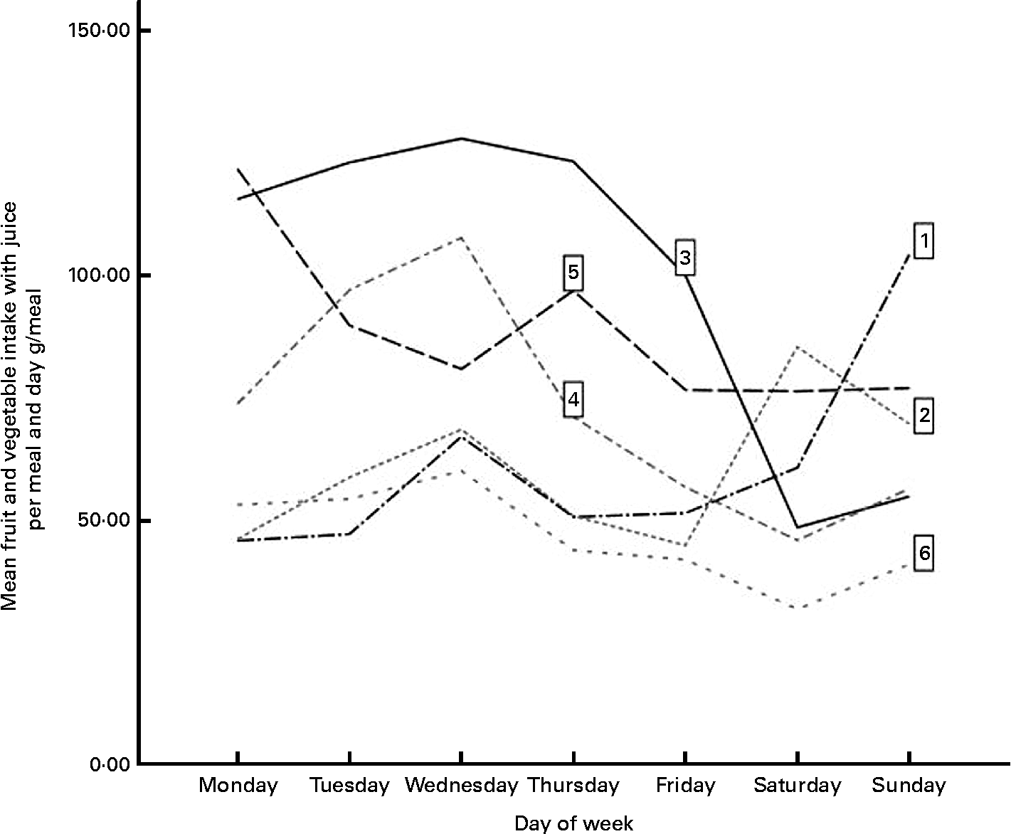
The study population reported a higher mean FJV intake during school days (403 (sd 201) g/d) compared with weekend days (321 (sd 226) g/d) (Fig. 1), corresponding to a mean difference of 82 (sd 191) g (P< 0·001). The mean FJV intake at main meals was highest for lunch (101 (sd 112) g/d), thereafter dinner (88 (sd 93) g/d) and lowest for breakfast, especially when not including juice (18; 60 including juice (sd 99) g/d). The mean FJV intake at snack meals was highest in the afternoon (74 (sd 108) g/d) and lowest in the evening snack meal (46 (sd 88) g/d) (Fig. 1). Results from the linear mixed models showed that only illness had significant influence on the intake of FJV on different days and at different meals, reporting that illness-affected dietary intake was associated with a lower mean FJV intake, corresponding to 19 g less per meal per d (95 % CI 6, 31).

Fig. 1 Mean intake of fruits and vegetables at different meals during the week (n 81). 1, Breakfast (
); 2, midmorning snack (
); 3, lunch (
); 4, afternoon snack (
); 5, dinner (
); 6, evening snack (
).
Plasma carotenoid concentrations and estimated intake of carotenoids
No differences in plasma concentrations of carotenoids between supplement users and non-users were found, which reflects that standard Danish vitamin supplements do not contain carotenoids. Therefore, both users and non-users of supplements were analysed together.
The estimated average intake of carotenoids was 8·00 (sd 7·40) mg/d (median 5·90; interquartile range 4·01–10·12) and the plasma average concentration was 0·77 (sd 0·32) μg/ml (Table 2). The relative contributions of the individual plasma carotenoids to total plasma concentration reflected the relative contribution of the individual carotenoid intake to total carotenoid intake (χ2: P= 0·22) (Fig. 2).
Table 2 Plasma carotenoid concentration and estimated intake of carotenoids in 8- to 11-year-old school children (Mean values and standard deviations; medians and interquartile ranges (IQR))


Fig. 2 Mean relative contribution and standard deviations (%) of individual carotenoids to total carotenoid plasma concentration (n 73,
) and total estimated carotenoid intake (n 81, ■).
FJV contributed, on average, 89 (sd 9) % of the estimated carotenoid intake. As seen in Table 3, vegetables mainly contributed β-carotene (reflecting intakes of carrot, sweet red pepper, broccoli and dark green and orange-coloured vegetables) and lycopene (reflecting intakes of tomato and tomato products). Fruits mainly contributed lutein and zeaxanthin (reflecting intakes of orange juice, mandarin orange, orange, grape, pear, apple, melon and banana) and β-carotene (reflecting intakes of mandarin orange, orange, grape and melon) and juice mainly contributed β-cryptoxanthin (reflecting intake of orange juice) and lutein and zeaxanthin (reflecting intakes of orange juice and apple juice)(26).
Table 3 Relative contribution (%) of vegetables, fruit and juice to intake of individual carotenoids (Mean values and standard deviations)

As illustrated in Table 4, the Spearman correlation between total plasma concentration of carotenoids and FJV intake was 0·58 (P< 0·01). The highest Spearman correlation coefficient observed for fruit intake was to plasma β-cryptoxanthin (r 0·59; P< 0·01), and for juice intake to β-carotene (r 0·32; P< 0·01). The highest Spearman correlation observed for vegetable intake was to α-carotene (r 0·43; P< 0·01). The Spearman correlation between total estimated carotenoid intake and total plasma concentration of carotenoids was 0·43 (P< 0·01). The highest Spearman correlation observed for individual carotenoid intake was between estimated intake of β-cryptoxanthin and plasma concentration of β-cryptoxanthin (r 0·68; P< 0·01). Partial correlation coefficient, adjusted for sex, BMI and energy expenditure, between total plasma concentrations of carotenoids and FJV intake, was 0·49 (P< 0·01).
Table 4 Spearman correlations between plasma carotenoids and self-reported intake of fruit, juice and vegetables (FJV), and estimated intake of carotenoids

*P< 0·05, **P< 0·01.
† Partial correlation coefficient, adjusted for sex, BMI and total energy expenditure.
Cross-classification between FJV intake and total plasma carotenoid concentration showed that 55 % were classified in the correct quartiles, 82 % were classified in correct or adjacent quartile, 17 % were misclassified and 1 % was grossly misclassified. The κ value was 0·4, indicating fair agreement (data not shown).
Photographic and weighed observations of school lunch v. the recorded intake of fruits, juice and vegetables
For school lunch reporting, WebDASC obtained 82 % matches, 14 % intrusions, 3 % omissions and 1 % faults for total foods and beverages (data not shown).
As illustrated in Table 5, overall reporting accuracy for fruits, juices, vegetables and other foods was not significantly different. However, a higher percentage match and a lower percentage intrusion for fruit compared with beverages and lower percentage omission compared with foods were observed.
Table 5 Relative reporting matches, intrusions, omissions and faults (%) of fruits, juices, vegetables, foods and beverages when comparing school lunch intake with school lunch reporting in Web-based Dietary Assessment Software for Children among seventy-seven children*

a,bMean values within a row with unlike superscript letters were significantly different (P< 0·05).
* Tested by χ2 statistic.
† Items recorded eaten and observed eaten, includes match of portion sizes too.
‡ Items reported eaten but not observed eaten, includes reporting of too large portion size.
§ Items observed eaten but not reported eaten, includes missing portions.
∥ Items reported eaten do not describe the items observed eaten.
Most (90 % in total) recording errors for FJV were intrusions, e.g. reporting a portion size image illustrating a larger portion than the eaten portion size (35 %) or reporting fruits and vegetables not eaten (65 %).
That intrusions were the most common reporting error was also reflected in the total amount of foods reported, which was higher than the total amount of food actually eaten at lunch (mean reported: 243 g v. mean weight: 209 g; P< 0·001). The same was the case for beverages (mean reported: 184 g v. mean weight: 147 g; P< 0·001).
Discussion
Comparing estimated fruits, juice and vegetables and carotenoid intake with plasma carotenoid concentration
The present study demonstrated significant correlations between estimated FJV intake using WebDASC and plasma carotenoid concentration. The Spearman correlations between plasma concentrations of the individual carotenoids and respective dietary intakes were higher in the present study compared with a study by Neuhauser of adolescents aged 12–17 years(Reference Neuhouser, Rock and Eldridge29). In the study of Neuhauser, however, the dietary assessment used was a FFQ, which is known to be less precise than a 7 d food diary, as used in the present study(Reference McPherson, Hoelscher, Eastham, Berdanier, Dwyer and Feldman30).
The partial correlation between FJV intake and plasma carotenoid concentrations in the present study (0·49) was also better than that found in other studies validating FFQ, food diary and 24 h recall. In a study of adolescents (fifth and eighth grade) the correlations found were FFQ = 0·24 and 24 h recall = 0·14(Reference Slater, Enes and Lopez14); FFQ = 0·13 and food diary = 0·20(Reference Brantsaeter, Haugen and Rasmussen16); and FFQ = 0·32–0·42(Reference Toft, Kristoffersen and Ladelund17) in two studies of adults. The higher partial correlation in the present study might be explained by the fact that Danish children in that age group prefer eating visible fruits and vegetables(Reference Hoppe, Biltoft-Jensen and Trolle31), and the more visible foods are, the easier it is to remember and to report accurately. On the contrary, the content of FJV in mixed dishes could be difficult for the individual to estimate correctly in WebDASC, because the FJV in mixed dishes are predetermined in a recipe, which is not likely to accurately reflect the FJV content of individual recipes and eaten mixed dishes. Furthermore, there is a limited ability to differentiate between cooked and raw vegetables in WebDASC, which affects carotenoid bioavailability and thereby plasma concentrations. The predominant vegetable in mixed dishes eaten by children is canned tomatoes and tomato purée (in bolognaise and casseroles, pizzas, lasagna, etc.), which is especially hard to estimate. This might explain some of the missing correlation between reported vegetable intake and lycopene plasma concentration. However, the relative contribution of individual plasma carotenoids to total plasma carotenoids reflected the relative contribution of individual carotenoid intake to total estimated carotenoid intake. This illustrates that the proportion of single carotenoids eaten corresponds to the proportion of single carotenoids in the blood.
The carotenoid intake in Denmark has earlier been estimated to be 10 mg/d based on food balance sheets(Reference Maiani, Caston and Catasta10), which is in good agreement with the estimated intake of 8 mg/d in 8–11 year olds in the present study. It should be noted that a database of content in US foods was used for estimating intake and, therefore, the present study did not accurately reflect the content in Danish/Nordic foods. Margarine and fruit drinks are often fortified with β-carotene in the USA(32), and β-carotene is used by the food industry as a colourant of various foods like cheese and egg yolks, which may also contribute to different contents in the American and the Danish foods. This might explain some of the high contribution of fruits (which included fruit drinks) to β-carotene intake (Table 3). In addition, it has been found that, although β-carotene predominantly occurs in vegetables, the same quantity of intake from fruits and vegetables resulted in a 4-fold greater increase in serum levels with β-carotene from fruits compared with vegetables(Reference Pollard, Wild and White33). The bioaccessibility of carotenoids in vegetables is known to be low, because their chemical structure deeply interacts with macromolecules within the plant food matrix(Reference Maiani, Caston and Catasta10).
Comparing reported intake of fruits, juice and vegetables with observed intake of fruits, juice and vegetables at school lunch
School meals seem to provide a good opportunity to evaluate the reporting accuracy of FJV intake in the present study, as school meals contributed with the highest intake of FJV during the week (Fig.1). In the present study, a modified observation technique was used, including a digital photographic method, weighing and questioning. In a number of previous studies investigating accuracy of reported school meals, researchers or dietitians observed one to three children at a time and recorded items and amounts eaten for each child(Reference Baxter, Thompson and Litaker22, Reference Baxter, Thompson and Litaker23, Reference Baxter, Smith and Litaker34–Reference Baxter, Smith and Guinn36). Photographing the children's school lunches gave, in addition, the opportunity to capture more details, e.g. sandwich filling, and time to evaluate the reported serving sizes more thoroughly by comparing them with food images and known weights of these. This method is also less sensitive to observer variability, because the same dietitian is able to evaluate all the images. However, the method used might have underestimated accuracy. The children had their packed lunches with them all morning, and some children did eat food items before school lunch time. They still recorded these food items as lunch (and not morning snack) and, therefore, the food items appeared as recorded in WebDASC, but not on the images. The questions about ‘eating from the packed lunch earlier in the day’ verified this, but it was still registered as a reporting error, because it was not reported at the correct meal. It would, however, not influence estimations of daily food or nutrient intake.
The reporting accuracy for FJV was comparable with the accuracy for other foods. However, it was found that the children were better at reporting fruit intake than beverages at school lunch. This might be because fruit is a very visible food, easy to count and the size is well-known, as opposed to beverages which are often brought to school in opaque water bottles of various sizes and refilled during the day. In WebDASC, this should be compared with different fillings of a standard glass, which would be difficult. Other American studies, by Baxter et al. (Reference Baxter, Smith and Litaker35–Reference Baxter, Hardin and Guinn37), of the same age group have found less accuracy when reporting school meals than the present study. It should be noted that, in these studies, a statistical weight was assigned to each item according to importance by meal component so that errors regarding reporting main components counted more than errors for condiments. The results from these studies are therefore not directly comparable with the present study, where only the FJV part of the meal is evaluated. However, a higher accuracy in the present study might be explained by parental assistance. Parents probably had prepared or assisted preparing the packed lunches, and therefore were able to assist their children in reporting their lunch intake. In contrast, in the studies of Baxter et al., no parental assistance was provided and, in addition, the children had school meals prepared by a school caterer, which may contain unfamiliar foods compared with packed lunches from home, as in the present study. Previous studies have shown that it is more difficult for children to record unfamiliar foods compared with familiar foods(Reference Livingstone and Robson38, Reference Warren, Henry and Livingstone39).
The percentage of obtained matches of FJV recordings in the WebDASC can be viewed as a form of ranking, showing that children, assisted by parents, are able to report the correct food item and choose the correct portion size among the four images in WebDASC, thereby ranking themselves according to the quantity of intake.
Strengths and limitations
The strength of the present study was that two objective methods were used to evaluate reported FJV intake, which complemented each other and which were not likely to have correlated errors with the dietary assessment method.
A further strength of the present study was that the evaluation of WebDASC and reported FJV intake was performed with a unique age group under exactly the same circumstances as intended to be used in the OPUS School Meal Study, including same procedures, same setting and same age group. Furthermore, the comparable educational level of parents between the present study and the general population implies that the web-based method does not require a high educational level.
Plasma concentrations of circulating nutrients and carotenoids reflect both short- and long-term intake(Reference Pollard, Wild and White33). In contrast, a dietary assessment method usually reflects either long-term intake (FFQ) or short-term intake (24 h recall and food diary), as used in the present study. Therefore, it is difficult to evaluate a correlation coefficient; however, in the present study, it was higher when compared with similar studies.
A weakness of the present study is the small sample size composed of volunteers with little ethnic, social and cultural diversity, although representative with regard to sex and parental focus on fruits.
The introduction to the NND before giving consent to participate, the health focus of the study, the parental focus on vegetables and the diet reporting may have caused the participants to be more thorough when reporting vegetables compared with reporting other foods or less healthier foods. Furthermore, 33 % reported that illness affected their eating in the reporting period, and this was also true for FJV and energy intake, which were low in the reporting period. The short-term change in FJV intake due to illness hardly influenced the ranking of participants according to intake, as illness was of varying duration and hit participants at random. The low energy intake was also reflected in low total energy expenditure of 7·1 (sd 1·0) MJ/d (A Biltoft-Jensen, MF Hjort, E Trolle et al., unpublished results). The high number of children reporting illness was probably due to a flu epidemic.
Conclusion
The present study demonstrates statistically significantly correlations between FJV intake estimated by WebDASC and plasma carotenoid concentrations. Furthermore, the accuracy of reported FJV intake in WebDASC is fairly good when compared with the observed intake at school lunch by a digital photographic method. The present study indicates that WebDASC can be used to rank 8- to 11-year-old Danish children according to their intake of FJV overall and on school meal level. As large part of the reporting errors was due to errors in portion size estimation, it should be investigated as to how portion size estimation in WebDASC can be improved in general and of vegetables that are often eaten in various forms and preparations.
Acknowledgements
The authors are grateful to project assistants Mia H. Frandsen and Trine H. Nielsen for assisting with study materials, coordination and conduction of interviews, instructions and observations; to PhD Anne Vibeke Thorsen for assisting with the observations; to data manager Karsten Kørup for conducting the data processing; and to research dietitian Karin Hess Ygil for skilled design of the recipe database (all from the Department of Nutrition, National Food Institute, Technical University of Denmark). The present study is a part of the OPUS project. OPUS is an acronym of the Danish title of the project ‘Optimal well-being, development and health for Danish children through a healthy New Nordic Diet’. The OPUS Centre is supported by a grant from the Nordea Foundation, Denmark, and is independent of all commercial interests. None of the authors had a financial or personal conflict of interest. A. B.-J. was responsible for the study design, developing the background interview, diet assessment instruction materials, dietary data collection, the assigning of carotenoid content to reported foods and participated in the data collection and wrote the manuscript. C. T. D. was responsible for recruiting the participants and collecting the blood samples. A. B. was responsible for the plasma analysis of carotenoids. T. C. was responsible for the dietary data processing. E. T., I. T., L. F. A. A. B. and P. K. participated in design discussions. All authors contributed to the critical revision of the manuscript and the statistical analyses.






