Adequate nutrition is the foundation of normal physical and cognitive development in children( Reference Nyaradi, Li and Hickling 1 ). Undernourishment and low availability of nutritionally adequate and safe foods have been found to decrease cognitive functions in children( Reference Burkhalter and Hillman 2 , Reference Taras 3 ). Nevertheless, abundance of foods containing lots of sucrose and saturated fat has been linked to cognitive decline in adults( Reference Féart, Samieri and Allès 4 ). In fact, unhealthy food choices may be a more important determinant of decreased cognition than undernourishment among children in developed countries, including Finland.
Evidence on the associations of dietary factors with cognition in children is limited. A higher intake of SFA and trans-fatty acids has been linked to poorer working memory( Reference Baym, Khan and Monti 5 , Reference Zhang, Hebert and Muldoon 6 ), a lower intake of dietary n-3 fatty acids has been associated with worse hippocampus-dependent memory( Reference Baym, Khan and Monti 5 ), and a lower intake of dietary fibre has been related to poorer cognitive control in children( Reference Khan, Raine and Drollette 7 ). These studies have suggested that some nutrients have been associated with a family of effortful top-down cognitive processes called executive functions that involve inhibition, working memory and mental flexibility( Reference Diamond 8 ). However, it is also important to investigate the associations of overall dietary patterns with cognition in children, because the health effects of dietary patterns can be more easily translated to public health messaging since people eat and buy foods rather than nutrients, and because nutrients do not exist in isolation and are strongly interrelated( Reference Tangney and Scarmeas 9 , Reference Allès, Samieri and Féart 10 ).
The Dietary Approaches to Stop Hypertension (DASH) score, which was originally developed for the prevention of hypertension in adults( Reference Sacks, Obarzanek and Windhauser 11 ), can be easily adopted in most countries. A lower DASH score has been linked to poorer cognitive functions in older adults( Reference Wengreen, Munger and Cutler 12 ); however, there are no reports on the associations of the DASH score with cognition in children. Poorer adherence to the Mediterranean style diet has not only been related to worse cognition and more rapid cognitive decline among older adults( Reference Allès, Samieri and Féart 10 , Reference Kesse-guyot, Andreeva and Lassale 13 ) but also to worse academic achievement in children( Reference Vassiloudis, Yiannakouris and Panagiotakos 14 ). However, the Mediterranean Diet Score may not be easily adopted by other countries because of differences in food cultures. Therefore, a Finnish research group recently created the Baltic Sea Diet Score (BSDS) to assess diet quality in the Nordic countries( Reference Kanerva, Kaartinen and Schwab 15 ). However, there are no reports on the associations of the BSDS with cognition in adults or children.
There is some evidence on the direct associations of diet quality indices with cognition in older adults; however, little is known about these relationships in children( Reference Nyaradi, Li and Hickling 16 ). We therefore investigated the associations of the BSDS and the DASH score, which can be easily adopted in other countries, with cognition in a population sample of Finnish children.
Methods
The present analyses are based on the baseline data from the Physical Activity and Nutrition in Children (PANIC) Study, which is an ongoing physical activity and diet intervention study in a population sample of primary school children from the city of Kuopio, Finland( Reference Eloranta, Lindi and Schwab 17 ). Altogether, 736 children aged 6–8 years were invited to participate in the baseline examinations between 2007 and 2009, as described earlier( Reference Eloranta, Lindi and Schwab 17 ). Of the invited children, 512 (70 %) participated. The participants did not differ in sex distribution, age or BMI standard deviation score from other children of the same age whose data were obtained from school health examinations (data not shown). The present study sample included 428 children (216 boys and 212 girls) for whom we had complete data on variables used in the analyses. Children who were excluded from the study because of incomplete data had lower levels of total physical activity and a lower education and income of the parents than the included children (P< 0·05). The PANIC Study protocol was approved by the Research Ethics Committee of the Hospital District of Northern Savo. All children and their parents gave written informed consent. The study was registered at Clinicaltrials.gov (NCT01803776).
Assessment of dietary factors
We assessed food consumption and nutrient intake by food records administered by the parents on four predefined consecutive days, including either two weekdays and two weekend days (99·5 % of children) or three weekdays and one weekend day (0·5 % of children)( Reference Eloranta, Lindi and Schwab 17 ). A clinical nutritionist instructed the parents to record all food and drinks using household or other measures, such as tablespoons, decilitres and centimetres. The parents were also instructed to ask their child about food eaten outside home. Moreover, a clinical nutritionist asked about details of menus and recipes of food served at schools and afternoon day care from the catering company that provided the food for the schools. A clinical nutritionist used all this information and also a picture booklet of portion sizes( 18 ) when reviewing and completing the food records at return, if needed. We analysed the food records and calculated total energy intake using the Micro Nutrica® dietary analysis software, version 2.5 (The Social Insurance Institution of Finland), that utilises Finnish and international data on nutrient intakes of foods( Reference Rastas, Seppänen and Knuts 19 ). We computed the BSDS and the DASH score as described in Table 1. The agreement between the BSDS and the DASH score was moderate (κ coefficient = 0·324, P< 0·001), suggesting that these indices of diet quality represent partly different entities of healthy diet.
Table 1 Construction of the Baltic Sea Diet Score (BSDS) and the Dietary Approaches to Stop Hypertension (DASH) score in the present study

We assessed the number of meals per d based on data from the food records. We classified breakfast, lunch and dinner as meals and all eating and drinking occasions between the meals as snacks. We categorised the children as those who had eaten all meals daily and those who had skipped any of the meals.
We assessed eating behaviour by the Children's Eating Behaviour Questionnaire administrated by the parents that has been validated( Reference Wardle, Guthrie and Sanderson 20 ) and translated into Finnish earlier. The thirty-five questions of the questionnaire represented eight categories of eating behaviour, including food approach (enjoyment of food, food responsiveness, emotional overeating, desire to drink) and food avoidance (satiety responsiveness, slowness in eating, emotional undereating and food fussiness). Each question offered options from never to always on a five-point Likert scale, and the means of responses of each category were calculated and used in the analyses.
Assessment of cognition
We used Raven's Coloured Progressive Matrices (CPM) to assess non-verbal reasoning( Reference Raven, Raven and Court 21 ). One trained researcher administered these assessments. Raven's CPM includes thirty-six large figures with a part missing. The children were asked to select the correct part that completes the figure from six alternatives presented beneath the large figure. Raven's CPM requires the ability to find similarities, differences and discrete patterns, does not depend on acquired knowledge or language skills( Reference Raven, Raven and Court 21 ), and has been suggested to represent all-core components of executive functions( Reference Diamond 8 ). The Raven's CPM score was the number of correct answers, ranging from 0 to 36.
Other assessments
We assessed cardiovascular performance using a maximal exercise test with an electromagnetically braked Ergoselect 200K® cycle ergometer (Ergoline). We used maximal workload per lean body mass as a measure of cardiovascular performance( Reference Lintu, Tompuri and Viitasalo 22 ). We used the sum of Z-scores for the 50 m agility shuttle run test time (inverse), errors in the flamingo balance test (inverse), and the number of cubes moved in the box and block test as a measure of motor performance( Reference Haapala, Poikkeus and Tompuri 23 ). We assessed total physical activity and total screen-based sedentary behaviour, including the time spent watching television and videos, using computer and playing video games, and using mobile phone and playing mobile games by the PANIC Physical Activity Questionnaire administered by the parents together with their children at home( Reference Väistö, Eloranta and Viitasalo 24 , Reference Haapala, Poikkeus and Kukkonen-Harjula 25 ). We calculated BMI standard deviation score using Finnish age- and sex-specific reference values( Reference Saari, Sankilampi and Hannila 26 ) and defined the prevalence of overweight and obesity using the cut-off values provided by Cole et al. ( Reference Cole, Bellizzi and Flegal 27 ). We measured body fat percentage and lean body mass by the Lunar® dual-energy X-ray absorptiometry device (Lunar Prodigy Advance; GE Medical Systems)( Reference Tompuri, Lakka and Hakulinen 28 ). The research physician assessed pubertal status using the five-stage criteria described by Tanner( Reference Tanner 29 ). The boys were defined as having entered clinical puberty, if their testicular volume assessed by an orchidometer was >3 ml (Stage ≥ 2). The girls were defined having entered puberty, if their breast development had started (Stage ≥ 2). We also used the child's current height as a percentage of predicted adult height as a measure of maturity( Reference Malina, Bouchard and Bar-Or 30 ). The parents were also asked to report medically diagnosed development disorders of their child, such as attention deficit hyperactivity disorder, dysphasia or delayed neurological development.
The parents were asked to report their annual household income, that was categorised as ≤ 30 000 €, 30 001–60 000 € and >60 000 € for the analyses. The parents were also asked to report their highest completed or ongoing educational degrees (e.g. vocational school or less, polytechnic and university) and the degree of the more educated parent was used in the analyses.
Statistical analyses
We performed all data analyses using the SPSS Statistics software, version 21.0 (IBM Corporation). We compared basic characteristics between boys and girls using the Student's t test, the Mann–Whitney's U test, and the χ2 test. The associations of the BSDS and the DASH score and their components with the Raven's CPM score were investigated using the multivariate linear regression analysis. Age, sex, parental education and household income were entered into the model in Block 1, and the BSDS or the DASH score were forced into the model in Block 2. In the analysis for the components of the BSDS and the DASH score, age, sex, parental education and household income were forced into the models in Block 1, and the components of the BSDS or the DASH score were entered stepwise into the models in Block 2. We compared the Raven's CPM score among children in the quartiles of the BSDS, the DASH score and their components using General Linear Models adjusted for age, sex, parental education and household income. The only exceptions were the components of the DASH score, for which we used quintiles according to Fung et al. ( Reference Fung, Chiuve and Mccullough 31 ) (Table 1). The consumption of fish was divided to thirds, because of a large number of children reporting no fish consumption. If the associations of the BSDS or the DASH score with cognition or the differences in cognition among the groups of the BSDS or the DASH score were statistically significant after adjustment for age, sex, parental education and household income, the data were additionally adjusted for total physical activity, total screen-based sedentary behaviour, cardiovascular performance, motor performance, body fat percentage, clinical puberty, the current height as a percentage of predicted adult height or development disorders. We selected covariates for the analyses based on the evidence that the associations of diet quality with cognition may be confounded by socio-economic status( Reference Sirin 32 ), physical activity( Reference Hillman, Pontifex and Castelli 33 ), physical performance( Reference Haapala 34 ), adiposity( Reference Reinert, Po'e and Barkin 35 ), maturity( Reference Jernigan, Baare and Stiles 36 ) and development disorders( Reference Diamond 37 ). We finally adjusted the data for total energy intake, skipping meals or eating behaviours to study whether other dietary factors affected the associations of the BSDS or the DASH score with the Raven's CPM score.
Because the associations of the BSDS and the DASH score with the Raven's CPM score were consistently stronger in boys than in girls and because sex statistically significantly modified the association between the BSDS and the Raven's CPM score (P= 0·045 for interaction), we also conducted the analyses separately among boys and girls.
Results
Basic characteristics
The boys had attained a smaller proportion of their predicted adult height, had a lower body fat percentage, a poorer motor performance and a better cardiovascular performance, were physically more active, had more screen-based sedentary behaviour, came more often from families with a parent with university degree, skipped less often meals and had a higher total energy intake than the girls (Table 2). The boys also had a lower DASH score, a higher consumption of red meat and sausages and a higher intake of Na compared with the girls (Table 2).
Table 2 Basic characteristics (Mean values and standard deviations, medians and interquartile ranges, or percentages*)

* Data were analysed using Student's t test or the Mann–Whitney U test for continuous variables and using the χ2 test for categorical variables.
† P values refer to statistical significance for differences between boys and girls.
‡ Median and interquartile range.
Associations of Baltic Sea Diet Score, Dietary Approaches to Stop Hypertension score and their components with Raven's Coloured Progressive Matrices score
Among all children, a lower BSDS and DASH score were related to a lower Raven's CPM score after adjustment for age, sex, parental education and household income (Table 3). Of the components of the BSDS, a higher consumption of red meat and sausages was associated with a lower Raven's CPM score after these adjustments (Table 3). Of the components of the DASH score, a lower consumption of fruit and fruit juices and a higher consumption of red meat and sausages were related to a lower Raven's CPM score after adjustment for age, sex, parental education and household income (Table 3). Further adjustment for total physical activity, total screen-based sedentary behaviour, cardiovascular performance, motor performance, body fat percentage, clinical puberty, the current height as a percentage of predicted adult height, development disorders, total energy intake, skipping meals or eating behaviours had no effect on these associations (data not shown). These associations remained similar when the analyses were performed after excluding twelve children who had development disorders (data not shown).
Table 3 Associations of the Baltic Sea Diet Score (BSDS) and the Dietary Approaches to Stop Hypertension (DASH) score with Raven's Coloured Progressive Matrices score*

* Data are expressed as standardised regression coefficients from linear regression models adjusted for age, sex, parental education and household income.
† Values show statistically significant associations.
In the boys, the BSDS and the DASH score were directly associated with the Raven's CPM score after adjustment for age, parental education and household income (Table 3). Of the components of the BSDS, a lower intake of vegetables was related to a lower Raven's CPM score after these adjustments (Table 3). Of the components of the DASH score, a lower consumption of fruit and fruit juices and a lower consumption of vegetables were associated with a lower Raven's CPM score after adjustment for age, parental education and household income (Table 3). Further adjustments had no effect on these associations (data not shown).
In the girls, the BSDS, the DASH score or their components were not related to the Raven's CPM score (Table 3).
Differences in Raven's Coloured Progressive Matrices score among children in quartiles of Baltic Sea Diet Score and its components
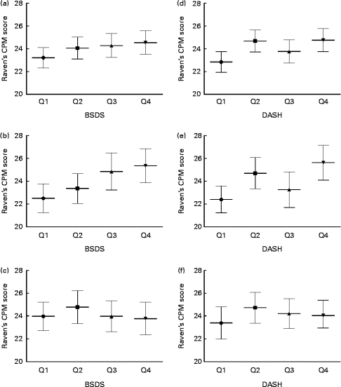
Among all children, there were no differences in the Raven's CPM score among children in the quartiles of the BSDS after adjustment for age, sex, parental education and household income (Fig. 1). Children with lowest consumption of fruit and berries ( ≤ 48 g/d, F(3, 420) = 2·856, P= 0·036 for main effect) and highest consumption of red meat and sausages ( ≥ 104 g/d, F(3, 420) = 3·579, P= 0·014 for main effect) had the lowest Raven's CPM score. Further adjustments had no effect on these differences.

Fig. 1 Raven's Coloured Progressive Matrices (CPM) scores among 428 children (216 boys and 212 girls) in the quartiles of the Baltic Sea Diet Score (BSDS) and the Dietary Approaches to Stop Hypertension (DASH) score adjusted for age, sex, parental education and household income. Values are estimated marginal means, with 95 % confidence intervals represented by vertical bars. CPM scores in quartiles of BSDS (quartile 1 (Q1) = ≤ 9; quartile 2 (Q2) = 10–12; quartile 3 (Q3) = 13–15; quartile 4 (Q4) = ≥ 16) for (a) all children, (b) boys and (c) girls. For boys, F(3, 209) = 3·397 (P= 0·019), and mean value for Q4 was significantly different from that for Q1 (P= 0·029). CPM scores in quartiles of DASH scores (Q1 = ≤ 18; Q2 = 19–21; Q3 = 22–24; Q4 = ≥ 25) for (d) all children, (e) boys and (f) girls. For all children, F(3, 420) = 3·499 (P= 0·016), mean value for Q4 was significantly different from that for Q1 (P= 0·038), and mean value for Q2 was significantly different from that for Q1 (P= 0·037). For boys, F(3, 209) = 4·293 (P= 0·006), and mean value for Q4 was significantly different from that for Q1 (P= 0·008).
The Raven's CPM score increased with increasing quartiles of BSDS in boys (Fig. 1). Boys with lowest consumption of fruit and berries ( ≤ 47 g/d, F(3, 209) = 2·799, P= 0·041 for main effect), vegetables ( ≤ 61 g/d, F(3, 209) = 2·682, P= 0·048 for main effect), high-fibre grain products ( ≤ 35 g/d, F(3, 209) = 4·056, P= 0·008 for main effect) and fish ( ≤ 4 g/d, F(2, 210) = 3·985, P= 0·020 for main effect), and boys with highest consumption of red meat and sausages ( ≥ 104·1 g/d, F(3, 209) = 4·329, P= 0·006 for main effect) had the lowest Raven's CPM score (data not shown). Further adjustment had no effect on these differences.
In the girls, there were no differences in the Raven's CPM score among those in the quartiles of the BSDS (Fig. 1) or its components (data not shown).
Differences in Raven's Coloured Progressive Matrices score among children in quartiles of Dietary Approaches to Stop Hypertension score and the quintiles of the Dietary Approaches to Stop Hypertension score components
Children in the lowest quartile of the DASH score had a lower Raven's CPM score than children in the second quartile and in the highest quartile after adjustment for age, sex, parental education and household income (Fig. 1). Further adjustments had no effect on these differences.
Boys in the lowest quartile of the DASH score had a lower Raven's CPM score than boys in the highest quartile (Fig. 1). Boys with the lowest consumption of fruit and fruit juices ( ≤ 30 g/d, F(3, 209) = 3·988, P= 0·004 for main effect) and high-fibre grain products ( ≤ 46 g/d, F(4, 208) = 3·682, P= 0·006 for main effect) had lower Raven's CPM score than other boys. Further adjustments had no effect on these differences.
In the girls, there were no differences in the Raven's CPM score among those in the quartiles of the DASH (Fig. 1) or in the quintiles of its components (data not shown).
Discussion
We found that poor diet quality, assessed by the BSDS and the DASH score, was associated with a poorer cognition in children and especially in boys. Particularly, a low consumption of fruit and berries, and vegetables was linked to a worse cognition. Moreover, the present results provide some evidence that a lower consumption of high-fibre grain products and fish and a higher consumption of red meat and sausages may be related to worse cognition. These findings are the first evidence for the associations of the BSDS and the DASH score with cognition in children.
The results of some previous studies have suggested that a poorer diet quality has been associated with a worse cognitive performance in children( Reference Nyaradi, Li and Hickling 1 , Reference Vassiloudis, Yiannakouris and Panagiotakos 14 , Reference Nyaradi, Li and Hickling 16 , Reference Smithers, Golley and Mittinty 38 ). A poorer diet quality at the age of 1 year, assessed by the Eating Assessment in Toddler diet score, was linked to a worse performance in the Peabody Picture Vocabulary Test-III and the Raven's CPM at the age of 10 years( Reference Nyaradi, Li and Hickling 16 ). Diet low in fruits, vegetables, home-made foods, cheese and herbs and lack of breast-feeding in infancy have also been associated with a lower intelligence quotient and a poorer working memory in later years( Reference Smithers, Golley and Mittinty 38 , Reference Gale, Martyn and Marriott 39 ). Moreover, a nutrient-enriched formula in the first month after birth was related to improved verbal cognitive ability at the age of 8 years in boys born preterm, but no such association had been found in girls( Reference Lucas, Morley and Cole 40 ). These studies have focused on the associations of dietary factors in infancy with cognition later in life; however, there are few studies on this issue in school-aged children. However, a better diet quality, assessed by the Healthy Eating Index, had been associated with a better cognitive control in one cross-sectional study among children 8 years of age( Reference Khan, Raine and Drollette 7 ).
The present study showed that the BSDS and the DASH score had stronger direct associations with cognition than their components, suggesting that the diet as a whole is a better predictor of cognition than single foods or nutrients. Cognition was poorest among children who were in the lowest quartile of the BSDS or the DASH score. Cognition also increased in a dose-dependent manner with increasing BSDS score, whereas the association between the DASH score and cognition was less linear. This finding suggests that the BSDS was a slightly better predictor for cognition than the DASH score in the present study sample of children. Nevertheless, our observations support the earlier findings that a diet high in fruit, berries and vegetables is beneficial for cognition in children( Reference Jernigan, Baare and Stiles 36 , Reference Smithers, Golley and Mittinty 38 ). Moreover, a higher consumption of red meat and sausages and a lower consumption of fish may be harmful for cognition in children.
There are a few possible explanations for our findings. A diet low in fruit, vegetables and fish and high in SFA has been associated with increased cardiometabolic risk( Reference Hu, Rimm and Stampfer 41 ) that has been linked to smaller hippocampal volumes, signs of frontal lobe atrophy and a worse cognition in adolescents( Reference Yates, Sweat and Yau 42 ). Vitamins, polyphenols and flavonoids found in fruit, berries and vegetables may protect the brain against neuronal damage by decreasing inflammation and oxidative stress and by supporting cell proliferation( Reference Frisardi, Panza and Seripa 43 ). Moreover, a high intake of SFA may decrease and a high intake of flavonoids found in fruits, berries and vegetables may increase circulating concentrations of brain-derived neurotrophic factor( Reference Frisardi, Panza and Seripa 43 , Reference Wu, Ying and Gomez-Pinilla 44 ). Brain-derived neurotrophic factor is a growth factor that has been shown to enhance synaptic plasticity, neurogenesis, neural survival, learning and memory( Reference Frisardi, Panza and Seripa 43 , Reference Wu, Ying and Gomez-Pinilla 44 ). Moreover, the intake of DHA, which is found in fish, has been directly associated with endothelial NO synthesis and may thereby dilate arteries and increase cerebral blood flow( Reference Frisardi, Panza and Seripa 43 ).
There is no clear reason for our observation that the associations of dietary factors with cognition were stronger in boys than in girls. The boys had a lower DASH score and a slightly lower BSDS than the girls. They also had a higher consumption of red meat and sausages, and a higher Na intake than the girls. However, there was no difference in the Raven's CPM score between sexes that makes it unlikely that different distributions of variables would explain the findings. There is some evidence that male brains are more vulnerable to stress than female brains( Reference Markham, Mullins and Koenig 45 ) and that boys' cognitive development benefit more from dietary intervention during infancy than that of girls( Reference Gale, Martyn and Marriott 39 ). Moreover, nutrient-enriched formula during infancy had been associated with increased caudate nucleus volumes at the age of 15 years in boys but not in girls( Reference Isaacs, Gadian and Sabatini 46 ). Frontal and parietal cortices of the brain reach their peak thickness 1 year later in boys than in girls( Reference Patton and Viner 47 ). It is, therefore, possible that the later maturation of male brains could partly explain the stronger association of dietary factors with cognition in boys than in girls in the present study sample( Reference Patton and Viner 47 , Reference Knudsen 48 ). However, there are few studies in which the associations of dietary factors with cognition would have been investigated in girls and boys separately, and the results of those studies are equivocal( Reference Lassek and Gaulin 49 , Reference Stea and Torstveit 50 ). Therefore, more studies on sex differences in the associations of dietary factors with cognition are highly warranted.
The strengths of the present study include a relatively large population-based sample of children and the rigorous methods used for assessing dietary patterns, their components and cognition. We also had an opportunity to control the data for a number of possible confounding factors, including skipping meals and eating behaviour, in the analyses. The ethnic background and place of residence of the children were homogenous, and none of the children had consumed alcohol or smoked cigarettes that makes them as unlikely confounding factors. One weakness of the present study is the cross-sectional design that does not allow us to make conclusions about the causality of the relationships. Moreover, we did not assess the latest meals before the assessment of cognition that could have had an effect on the Raven's CPM score in children( Reference Adolphus, Lawton and Dye 51 ).
The results of the present study suggest that a poorer diet quality is associated with a worse cognition in children and that the relationships are much stronger in boys than in girls. These findings emphasise a diet high in fruit, berries, vegetables and fish and low in red meat and sausages in order to support the normal development of cognition among children.
Acknowledgements
The present study was funded by the Ministry of Social Affairs and Health of Finland, Ministry of Education and Culture of Finland, University of Eastern Finland, Finnish Innovation Fund Sitra, Social Insurance Institution of Finland, Finnish Cultural Foundation, Juho Vainio Foundation, Foundation for Paediatric Research, Paavo Nurmi Foundation, Paulo Foundation, Diabetes Research Foundation, Research Committee of the Kuopio University Hospital Catchment Area (State Research Funding) and Kuopio University Hospital (EVO funding number 5031343), Päivikki and Sakari Sohlberg Foundation, City of Kuopio.
The authors' contributions are as follows: E. A. H., A.-M. E., V. L. and T. A. L. designed the study; A.-M. E., T. V., U. S., V. L. and T. A. L. conducted the study; E. A. H. analysed the data; E. A. H., A.-M. E., T. V., U. S., V. L. and T. A. L. wrote the manuscript; E. A. H., A.-M. E. and T. A. L. had primary responsibility for the final content of the manuscript. All authors read and approved the final version of the manuscript.
None of the authors has any conflicts of interest to declare.



