Hostname: page-component-857557d7f7-bkbbk Total loading time: 0 Render date: 2025-12-09T03:55:21.569Z Has data issue: false hasContentIssue false

Oceanic Heat Flux as a Component of the Heat Budget of Sea Ice

Published online by Cambridge University Press:  20 January 2017

M. P. Langleben*
Affiliation:
Department of Physics, McGill University, 3600 University Street, Montreal Quebec H3A 2TS, Canada
Rights & Permissions [Opens in a new window]

Abstract

Heat budget studies of the sea ice cover near Pond Inlet, NWT, were made using data obtained at two locations in Eclipse Sound, one about 0.5 km from shore and the other about 7.5 km from shore. The observations at intervals of one week included ice temperatures at 10 cm separation in vertical profile, salinities of adjacent 2.5 cm-thick slices from vertical ice cores, and ice thickness. The time series analysed extend from three to six months in the six data sets obtained for three winters of observations. Values of oceanic heat flux have been determined as residuals in the energy balance equation applied to the ice cover. The results show that in Eclipse Sound the oceanic heat flux is a significant component of the heat budget of the ice cover. Its value over the winter is typically about 6 W m-2 about half as large as the average rate of release of the latent heat of freezing. There does not appear to be any systematic variation in value of the 4 week-average oceanic heat flux during the season. Nor is there any apparent correlation of oceanic heat flux with rate of release of latent heat (ie ice growth rate), or with the severity of the winter as measured by the magnitude of the conductive heat flux.

Information

Type
Research Article
Copyright
Copyright © International Glaciological Society 1985

INTRODUCTION

The vertical flux of heat from the ocean into a growing cover of sea ice would be expected to moderate the rate of ice growth, and to reduce its thickness to less than the value anticipated from the cumulative atmospheric cooling. Evidence is now emerging which suggests that, in some geographic areas and at certain times in the ice growth cycle, the oceanic heat flux may be as large as that due to the release of latent heat of freezing.

Nevertheless the contribution to heat budget of a cover of sea ice that is made by the vertical flux of heat from the ocean has not received the attention it merits. Direct eddy flux measurements of sensible heat under the ice are extremely difficult to make even for relatively short periods of time, and none have been reported in the literature.

However, quantitative information on the magnitude of the oceanic heat flux can by obtained indirectly, the oceanic heat flux being determined from a heat budget study of the ice cover as a residual in the energy balance equation. Published information from several such studies is available and the values of oceanic heat flux given are found to differ by an order of magnitude, perhaps because the physical conditions represented are different. From studies of the thermal regime of the sea ice conducted in the spring and early summer in the relatively isolated waters near the head of Tanquary Fiord in Ellesmere Island, NWT (Langleben 1966, 1967) I inferred that the oceanic heat flux was typically about 4 W m-1 at a stage when there was no longer any ice growth and therefore any latent heat release. Lewis (1967), in a careful study of the change in a 4-week period of the thermal and salinity structure of the water column under the sea ice in Cambridge Bay, NWT, where the horizontal advection of heat was negligible, estimated that the oceanic heat flux averaged over that period was about 2 W m-2. More recently Allison (1979) reported values of oceanic heat flux of 10 W m-2 to 20 W m-2 under conditions of rapid ice growth of young sea ice near Mawson, Antarctica, when the snow cover was light. Finally McPhee and Untersteiner (1982) estimate oceanic heat fluxes as being in the range -0.2 to 0.2 W m-2, with an uncertainty of about 2 W m-2, in the central Arctic Ocean under ice during its winter growth. They attribute these small fluxes to the inhibition of vertical heat transfer by the presence of a cold saline layer between the low-salinity mixed layer at the ocean surface and the thermocline marking the upper boundary of the warm water of Atlantic Ocean origin. These scanty and differing results point out the need for further studies of oceanic heat flux,

THE STUDY

Theory

The method used for determining the oceanic heat flux is based on the standard heat budget study of an ice cover as described by Langleben (1967), McPhee and Untersteiner (1982) and others. Assuming a detailed knowledge over time of ice temperature and salinity in vertical profile and of ice growth, the oceanic heat flux can be found as the residual in the energy balance equation applied to the ice cover. If the heat budget study is restricted to include only the portion of the cover below some convenient depth from its upper surface, the necessity of making the uncertain calculations of the energy exchange by turbulent and radiative transfer across the ice to air interface is eliminated. A further advantage is gained in the process in that the amplitude of the air temperature changes, such as diurnal variations, is exponentially attenuated with depth in the ice, making temperature measurements at and below the reference depth chosen relatively insensitive to the time of day at which they may be sampled.

Energy balance of the ice cover below the selected reference depth requires that for any time interval, large or small, the heat loss (Q k) by upward conduction along the temperature gradient at the reference depth must equal the heat gain (Q o) from the ocean at the bottom of the ice cover plus the latent heat (Q f) released by the freezing of ice as the cover grows in thickness less the increase in heat stored (Q 8) by that portion of the ice cover. The heat flow in time At from the ocean Q o expressed as a residual, is therefore

Q o = Q k - Q 8 + Q 18

in which each of the terms on the right hand side may be evaluated as integrals reflecting changes which have occurrred during the time interval in question.

Letting the co-ordinate z represent distance in the ice with respect to its top surface, z = z o the selected reference depth, z = h 1 the ice thickness at time t 1 and z = h 1 its thickness at time t, where t 2- t 2 = △t, and letting the ice temperature at depth z be T 1 at time t 1 and T 2 at time t 2 then

(1)
(2)
(3)
(4)

where ρ is the density of sea ice, taken as 920 k g m-3 c, its specific heat, L 8 its latent heat of fusion and k, its thermal conductivity. These integrals are functions of the thermal coeffients of sea ice which vary with salinity (in the case of latent heat) or with salinity and temperature (in the case of specific heat and themal conductivity) according to relationships given by Schwerdtfeger (1963) and Untersteiner (1961). The functional relationships used in this study and the numerical values of the thermal coefficients needed in the relationships are as given in the references just cited.

Observations and data

The observational data available for this study consisted of measurements of ice temperature and salinity in vertical profile and of ice thickness made at intervals of about seven days on the sea ice cover in Eclipse Sound. These observations have been made over a number of years at several fixed locations in the Sound by the staff of the Arctic Research Establishment of Pond Inlet, NWT,

Temperatures were measured with a thermocouple chain frozen into the ice and having junctions spaced 10 cm apart from 10 cm above the top surface of the ice to 200 cm below that surface and extending into the sea. The reference junction was an ice bath which was stirred before the readings of potential difference were taken. A vertical ice core of 7.5 cm diameter was extracted from the ice for determination of salinity. The core was quickly cut into sections of 2.5 cm length which were placed into sealed containers. The salinity of each sample was determined by chemical means after melting in the laboratory. As supporting observations, the salinity and temperature of the water at a depth of 3 m from the surface were measured using a reversing bottle and thermometer. The measured water temperature and that calculated on the basis of its observed salinity, assuming that the mixed layer was at the freezing point, were found to be identical to within 0.05 °C. These were later used to adjust the thermocouple temperature profiles when the thermocouple measurements of sea temperature differed from the former.

The synoptic data selected for this study are from two sites in Eclipse Sound, at which the data sets had most continuity. One site (Station tl) was located about 0.5 km offshore from Pond Inlet (about 73 *N, 78 °W) and the other (Station 12) about 7.5 km from shore. Data for three winters of observations 1978-79, 1979-80 and 198-83 were chosen and the six data sets extended for periods of three months to almost six months.

Calculations and results

The adjusted values of the thermocouple measurements of the sea ice temperature in vertical profile, obtained on any given date, were fitted by a second degree polynomial which was then used to calculate ice temperatures at intervals of 5 cm in depth. Because ice thickness measurements exhibit scatter of several centimetres even on a small horizontal scale, the polynomial was used also to compute a value of ice thickness from knowledge of the freezing temperature of the sea water. Ice salinities analysed from the 2.5 cm thick ice sections of ice core showed no evident variation with depth except near the bottom where the salinity increased by about a factor of two. To reduce the scatter of salinity values, running averages over four sections in depth, ie 10 cm, were used in the calculations.

The heat storage term. Equation 2, was evaluated for layers of thickness 5 cm and temperature changes corresponding to time steps of 1 day; the latent heat term,

Equation 3, for ice thickness changes of 1 day as determined by interpolation between the dates when observations had been made; and the heat conduction term, Equation 4, for time intervals of 1 day and temperature gradients calculated from the ice temperature time series. The integrals were calculated for successive time intervals of about three weeks to a month and their average values for each period were determined, as was the average oceanic heat flux for the same period using Equation 1. In addition, cumulative values of the integrals were used to determine seasonal averages of the energy fluxes,

The results of these latter calculations are summarized in Table 1 with supplementary information on the average salinity S of the ice, on h 1 its initial thickness, h 2 its thickness after time interval it, and on the reference depth

Table 1. Average Energy Fluxes (W/m**2) For Time Interval At.

z o in the ice sheet below which the energy balance was computed. Calculations of the energy fluxes were repeated an additional two times to check the sensitivity of the results to possible errors in the salinity. It was found that salinity changes of ± 1°/°° altered the results for oceanic heat flux by about ± 0.5 W m-3

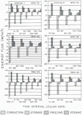
These long term average fluxes are also presented graphically in the bar charts of Figure 1, each group of four bars represents the results for the given site and season over the time indicated. In succession the bars give (a) the energy flux by conduction across the reference level in the ice sheet, (b) the rate of change in heat content by storage within the ice sheet, (c) the rate of release of latent heat by the freezing of ice and (d) the oceanic heat flux. The results for each year and site, broken down into shorter time intervals, are shown in the six bar charts of Figure 2.

DISCUSSION

In Figure 1 and Table 1 it is seen that the average value of oceanic heat flux was about 8 W m2 in 1978-79, 5 W m2 in 1979-80, and 5 W m-32 in 1982-83. It bears no apparent relation to the average rate of heat loss by

Fig. 1. Long-term average values for site and season of components of energy budget.

conduction with corresponding values of 23 W m-3 ,13 W m-2 and 26 W m-2. Since the magnitude of the conductive heat flux is dependent on the severity of the winter, it would appear that the oceanic heat flux averaged over the winter is independent of its severity. Similarly, oceanic heat flux seems unrelated to rate of release of latent heat of freezing when averaged over the winter, which had values of about 14 W m-2 in 1978-79, 8 W m-2 in 1979-80 and 18 W m 2 in 1982-83. The oceanic heat flux averaged over all years is about (5.8 ± 1.8) W m-2

The evolution with time during the growth season of the components of the energy budget can be seen in Figure 2. As might be expected, the heat flux by conduction decreases in magnitude as the season progresses from winter

Fig. 2. Short-term average values of components of energy budget.

through spring; the rate of change of heat content, initially negative and small compared with the conductive heat flux, assumes small positive values later in the season; the rate of release of latent heat of freezing decreases monatonically with time as the ice sheet thickens and its rate of growth consequently decreases. However, no apparent systematic change in oceanic heat flux with time is discernible from Figure 2. The results indicate that at Station 1, the general tendency with increase of time was for oceanic heat flux to decrease in 1978-79, to more or less remain unchanged in 1979-80, and to increase in 1982-83. At Station 2, the changes which occurred in oceanic heat flux appear random, with the exception of 1979-80 when it increased with time. It has been suggested that the rejection of heavy brine from the ice during the freezing process may control the vigor of convective overturn of the mixed layer and therefore the vertical transport of oceanic heat. If that were so, then oceanic heat flux should vary directly with rate of ice growth or with rate of release of latent heat of freezing. Indeed Allison (1979) presents values of oceanic flux which show a decline with time in the initial stage of growth of the ice cover. However for the major part of the

Fig. 3. Scatter diagram of oceanic heat flux vs rate of release of latent heat of freezing.

season, his results show no systematic change of oceanic heat flux other than that attributed to horizontal advection. Results of the present study similarly do not support the idea that brine expulsion and oceanic heat transport are related. This is evident from Figure 3 where the monthly values of oceanic heat flux from Figure 2 have been plotted against the corresponding values of latent heat flux. If attention is fixed on values from an individua! station and year, as represented by a particular symbol, the oceanic heat flux showed increase at Station 1 in 1978-79 (#), decrease at Station 2 in 1978-79 (0) and 1979-80 (*), and no systematic change with increasing latent heat flux in the other cases. The overall scatter diagram of Figure 3 shows no apparent correlation between oceanic heat flux and latent heat flux, and it must be concluded that rate of freezing of ice and oceanic heat flux are unrelated.

ACKNOWLEDGEMENTS

The observations on which this study is based were gathered by the staff of the Arctic Research Establishment of Pond Inlet under the direction of Mr H Steltner. Funding of the research was provided by the Polar Continental Shelf Project (Energy, Mines and Resources) through D.S.S. contract No 24SU.23239-3-0001 and by the Natural Sciences and Engineering Research Council of Canada through Grant A4232.

References

Allison, I 1979 Antarctic sea ice growth and oceanic heat flux, in Allison I fed) Sea Level, Ice and Climatic Change, Proceedings of ike Canberra Symposium. December 1979. Washington DC, Office of the Treasurer (International Association of Hydrological Sciences Publication 131): 161-170 Google Scholar
Langleben, M P 1966 On the factors affecting the rate of ablation of sea ice. Canadian Journal of Earth Sciences 4-431-439 Google Scholar
Langleben, M P 1967 The heat budget of a melting cover of sea ice. In Ward E fed) IUGC, I ASH. General Assembly of Bern. 25 Sept-7 Oct 1967. Gentbrugge, Association Internationale d’Hydrologie Scientifique (International Association of Scientific Hydrology Publication 79): 151-159 Google Scholar
Lewis, E L 1967 Heat flow through winter ice. In Oura H fed) Physics of Snow and Ice, Proceedings of the International Conference on Low Temperature Science. Hokkaido University, Sapporo, Japan. 1966. Hokkaido University: 611-631 Google Scholar
McPhee, M G, Untersteiner, N 1982 Using sea ice to measure vertical heat flux in the ocean. Journal of Geophysical Research 87: 2071-2074 Google Scholar
Schwerdtfeger, P 1963 The thermal properties of sea ice. Journal of Glaciology 4: 789-807 Google Scholar
Untersteiner, N 1961 On the mass and heat budget of Arctic sea ice. Archiv für Meteorologie. Geophysik und Bioklimatoiogie A 12: 151-182 Google Scholar
Figure 0

Table 1. Average Energy Fluxes (W/m**2) For Time Interval At.

Figure 1

Fig. 1. Long-term average values for site and season of components of energy budget.

Figure 2

Fig. 2. Short-term average values of components of energy budget.

Figure 3

Fig. 3. Scatter diagram of oceanic heat flux vs rate of release of latent heat of freezing.