Fin du mois, fin du monde, même combat!
“End of the month, end of the world, same struggle,” slogan of the French yellow vests
Introduction
How poverty and inequality affect political participation is one of the perennial questions of political science. However, a definitive answer to this question has proven as elusive as it is important. This article contributes to the debate by focusing on one central aspect of poverty—the experience of acute financial hardship lasting a few days at a time—and its effect on voter turnout. Scholars have long observed that poverty and low socioeconomic status tend to go hand in hand with reduced levels of political participation, especially voter turnout (Jahoda, Lazarsfeld, and Zeisel Reference Jahoda, Lazarsfeld and Zeisel1971; Merriam and Gosnell Reference Merriam and Gosnell1924; Rosenstone Reference Rosenstone1982). This evidence has typically been explained with reference to the “voter resource model” (Verba and Nie Reference Verba and Nie1972; Verba, Schlozman, and Brady Reference Verba, Schlozman and Brady1995): political participation is driven by time, money and skills, all of which are in short supply among the poor. Others have pointed out that, given the important role of resources in politics, political decision making is invariably dominated by powerful, resource-endowed elites, depriving the poor of the incentive to cast their vote (Mahler Reference Mahler2002; Schattschneider Reference Schattschneider1960; Solt Reference Solt2008). However, both the resource and the latter “elite-power” model have drawn the criticism of other scholars. Particularly contested is the question of whether low income as such is a sufficient cause of lowered levels of participation (Blais Reference Blais2006; Geys Reference Geys2006; Margalit Reference Margalit2019).
According to one line of research, it is not income but rather low levels of education among the poor that explain why poor people participate less in politics (Leighley and Nagler Reference Leighley and Nagler1992; Wolfinger and Rosenstone Reference Wolfinger and Rosenstone1980). In yet another strand of scholarship it is contended that poverty can actually spur rather than depress political participation, including voter turnout, especially if accompanied by increasing inequality (Aguilar and Pacek Reference Aguilar and Pacek2000; Emmenegger, Marx, and Schraff Reference Emmenegger, Marx and Schraff2015; Radcliff Reference Radcliff1992). The argument is that deprivation and rising levels of economic inequality serve as powerful motivators to engage in politics.
One reason for these inconclusive results is that a complex amalgam of short-term and long-term factors at both the micro- and macrolevel is thought to have an influence on the poverty-turnout nexus, with a lack of temporally disaggregated data making it hard to differentiate between these factors (Margalit Reference Margalit2019). This article addresses these problems by focusing on a narrow but central aspect of poverty: acute financial hardship. Lacking savings and other financial cushions, poor people frequently face situations where they can no longer afford what they need for their day-to-day lives. I here investigate the effect of such situations on political behavior. Causal identification is afforded by a natural experiment: the interaction of the sequence of bank working days and payment conventions in Germany, which lead to instances of income deprivation lasting a few days at a time.
In Germany, wages and salaries as well as other monthly payments are regularly made at the end of the month, or, more precisely, on the last bank working day of the month. In months where the last day of the month falls on a weekend (i.e., not on a bank working day), payments are made earlier than when the last day of the month falls on a normal weekday. A particular situation arises where a month ending on a weekday (a “long” month) follows a month ending on a weekend (a “short” month). This pattern, hereafter referred to as long-month-after-short (LMAS), means that the same monthly income sometimes has to stretch to cover a period that is 10% longer than it otherwise must. LMAS can lead to acute financial difficulties, especially for poor people. The occurrence of LMAS throughout the year is highly irregular, which makes it hard to develop an intuition for when financial difficulties are likely to arise. I use this pattern to study the effect of acute financial hardship on intended voter turnout and observed turnout figures.
Data sources include observations from more than three million individuals interviewed in several large-scale opinion surveys since the 1990s, personal interviews, and turnout figures from over 1,100 elections that have taken place in Germany since 1945. I show that LMAS-induced financial hardship causes a decline in both the intention to vote and actual voter turnout. The negative effect of acute financial difficulties on turnout intentions surfaces in all the included surveys, is especially pronounced among the “working poor,” and is strongest when interviews are conducted towards the end of the month—when turnout intentions decline by about 4 percentage points. The effect of income shortages on actual turnout is even more conspicuous. In elections held at the end of the month during LMAS, turnout averages are 5 percentage points lower. The negative effects show up in all types of elections but are strongest in regional and local ones, and they are especially pronounced under conditions of high inequality.
I interpret my findings in light of the classic models of poverty and political participation mentioned above, which I link with research in economics and psychology. Overall, the quantitative and qualitative evidence suggests that while the mobilization model fails to explain the effect of acute financial hardship, the resource and elite-power model are highly instructive. Although these perspectives have been developed to explain the effects of structural poverty and inequality, they also aptly describe the effects of acute financial hardship. Even brief stints of financial duress leave individuals anxious and socially isolated, and induce a sense of deprivation vis-à-vis the better off. This argument connects with findings in psychology and economics that demonstrates that even brief episodes of financial distress can lead to high levels of stress and an increased focus on the present (Banerjee and Duflo Reference Banerjee and Duflo2011; Haushofer and Fehr Reference Haushofer and Fehr2014; Mullainathan and Shafir Reference Mullainathan and Shafir2013). The consequences are a diminished interest in politics, a weakened sense of efficacy, and reduced rates of political participation.
This article makes three contributions. First, I revisit the literature on voting and poverty and demonstrate how classic models can be usefully recast to help explain the effects of short-term financial hardship, especially when coupled with emerging research on the psychological effects of poverty. Second, I introduce a natural experiment that helps avoid the endogeneity problems that typically impede the analysis of the relationship between socioeconomic factors and voting. The setting exploits the timing of election surveys in relation to bank working days. Similar patterns are observable in different countries, in principle making the design transferable to many different contexts and topics. Third, on the basis of this natural experiment, the article demonstrates a causal, detrimental effect of acute economic hardship on both turnout intentions and actual turnout. Importantly, these reductions are fully concentrated at the lower end of the income distribution. Financial hardship, even in the short term, thus effectively leads to a disenfranchisement of the poor. I conclude by drawing out implications for the conduct of elections and point out the need for more temporally disaggregated data on political behavior and its causes.
Poverty, Financial Hardship, and Political Participation
The link between political participation and poverty has been the subject of inquiry since the early days of modern political science, yet the nature and causes of this link remain contested. The question centers on both the direction of the relationship—does poverty increase or decrease political engagement?—and the underlying mechanics—is it absolute levels of deprivation, or income inequality that is driving the observed effects? And through which exact channels does poverty translate into political behavior? The discussions focus on the dual issue of how poverty influences the resources available for participation in the political process and how it structures the incentives to take part (Anderson and Beramendi Reference Anderson, Beramendi, Beramendi and Anderson2008).
Some of the earliest empirical work on these matters pointed to multiple negative psychological effects of poverty. Income deprivation, scholars argued, eventually erodes mental health, political interest, participation in associations, and community cohesion (Jahoda and Zeisel Reference Jahoda and Zeisel1933; Jahoda, Lazarsfeld, and Zeisel Reference Jahoda, Lazarsfeld and Zeisel1971; Merriam and Gosnell Reference Merriam and Gosnell1924). Closely related questions were the primary focus of the so-called “resource,” or “civic voluntarism,” model of political participation (Schlozman and Verba Reference Schlozman and Verba1979; Verba and Nie Reference Verba and Nie1972; Verba, Schlozman, and Brady Reference Verba, Schlozman and Brady1995). This string of research focuses on the intimate link between higher socioeconomic status and various domains of political engagement, ranging from voting to participation in voluntary organizations. In the model, poverty affects participation mainly through psychological effects, such as a decreased interest in politics, a lessened sense of political efficacy, a weakened sense of civic duty, and reduced mental health. The basic tenets of the resource model have found support in several studies (cf. Anderson and Beramendi Reference Anderson, Beramendi, Beramendi and Anderson2008; Smets and van Ham Reference Smets and Ham2013), and quasi-experimental work has confirmed the close link between income and voter turnout by showing that a rise in the former can lead to an increase in the latter (Akee et al. Reference Akee, Copeland, Holbein and Simeonova2020; De La O Reference De La O2013; Layton and Smith Reference Layton and Smith2015).
A related argument, sometimes called the “power model,” focuses on the relative influence of those endowed with resources versus those without (Schattschneider Reference Schattschneider1960). This theory is concerned mainly with the incentives created by poverty and income inequality. The argument is that since money buys influence in politics, the poor are structurally disfavored in getting their voice heard. Participation becomes the monopoly of the rich, a process that is exacerbated by rising income inequality (Cancela and Geys Reference Cancela and Geys2016; Solt Reference Solt2008). This takes away the motivation to participate among the less fortunate, leading to low rates of political engagement. As a result, the poor become less attractive as a support base for political actors, who then focus even more strongly on elite interests, perpetuating the vicious cycle between poverty, low incentives to participate among the poor, and a lack of political representation (Mahler Reference Mahler2002; Solt Reference Solt2008).Footnote 1
Neither the resource nor the power model has escaped criticism, however. In particular the motivation-reducing effect of economic hardship and inequality has been questioned. An argument diametrically opposed to the power model holds that poverty and inequality should be motivators of political engagement. This so-called mobilization argument goes back to Marx and Engels ([1848] Reference Marx and Engels1998), Gurr (Reference Gurr1970), and others, who reasoned that extreme capital accumulation in a few hands will trigger the revolution of the proletariat. More modern versions of this argument have highlighted the important role leftist parties play in mediating the effect of economic hardship on political participation. These scholars argue that it is primarily because of the competition between parties on the left (and in political systems that allow for such competition in the first place) that economic hardship is translated into political participation (Pontusson and Rueda Reference Pontusson and Rueda2010). Others have argued that the mobilizing role can also be played by actors on the populist political right who provide the option to cast a protest vote (Emmenegger, Marx, and Schraff Reference Emmenegger, Marx and Schraff2015; Margalit Reference Margalit2019).
Another line of critique against the resource model questions the importance of financial resources for the decision of voters to turn out (Gallego Reference Gallego2010; Sondheimer and Green Reference Sondheimer and Green2010; Wolfinger and Rosenstone Reference Wolfinger and Rosenstone1980). These authors assert that income affects political engagement only up to the point where a modestly comfortable standard of living has been attained and that effects beyond that point tend to be driven by low levels of education, which tend to strongly correlate with poverty. Comparative studies testing the different theories against each other have produced widely varying evidence ranging from clear support for mobilization theory (collected mainly in the context of developing nations) (Aguilar and Pacek, Reference Aguilar and Pacek2000; Emmenegger, Marx, and Schraff Reference Emmenegger, Marx and Schraff2015; Radcliff Reference Radcliff1992), through findings of mixed or null effects (Fiorina Reference Fiorina1978; Leighley and Nagler Reference Leighley and Nagler1992; Stockemer and Parent Reference Stockemer and Parent2014; Stockemer and Scruggs Reference Stockemer and Scruggs2012) to findings of clearly negative effects of economic hardship (Wilford Reference Wilford2020) and inequality on political participation (Anderson and Beramendi Reference Anderson, Beramendi, Beramendi and Anderson2008; Galbraith and Hale Reference Galbraith and Hale2008; Mahler Reference Mahler2002; Solt Reference Solt2010).
The fact that scholars have compiled such an impressive, but contradictory, body of evidence is likely due to several issues that, in combination, render the question of whether and how economic hardship affects political participation especially intractable. One problem is that poverty and inequality covary with a multitude of factors, many of which also plausibly influence turnout. These potential confounders range from the nature of the political system, the role of the welfare state, and the state of the economy at the macro level to education, age, and various other demographic factors at the micro level (Brady and Burton Reference Brady and Burton2016). Moreover, the very direction of the relationship remains contested, with authors convincingly arguing that reduced participation may also be a cause of poverty and income inequality, not just its effect, because lack of voice enables the wealthier to curtail redistribution (Anderson and Beramendi Reference Anderson, Beramendi, Beramendi and Anderson2008).
Although scholars have tried to address these matters by means of statistical controls and longitudinal analyses, doubts remain about whether the causal effects of income, poverty proper, and/or inequality can be fully isolated (Blais Reference Blais2006; Brady Reference Brady and Neckerman2004). A second problem is that all the cited mechanisms may overlap and thereby yield contradictory outcomes: Diminished resources may decrease the ability to participate, but increased economic duress may in parallel create incentives to mobilize (Anderson and Beramendi Reference Anderson, Beramendi, Beramendi and Anderson2008). The nature of the poverty-participation nexus may further depend on on the effort by political actors to mobilize the poor (Anderson and Beramendi Reference Anderson and Beramendi2012) or on the nature of repeated interactions with the welfare state (Campbell Reference Campbell2003; Soss Reference Soss1999).
However, shortcomings in measurement limit our ability to distinguish between these processes (cf. Marien, Hooghe, and Quintelier Reference Marien, Hooghe and Quintelier2010). Conventional surveys ask about voter turnout and other forms of political engagement only infrequently—typically at best once a year, and often close to election dates only. This approach makes it impossible to observe processes in isolation, and to use the otherwise helpful time dimension to partial out effects. In order to isolate short-term effects of poverty only, we would need measures of political participation that were temporally fine-grained, plus a source of temporal variation in income status. The design of the present study enables us do exactly this, while at the same time alleviating concerns with causal identification. The natural experiment studied here allows me to plausibly exclude the influence of other factors covarying with financial hardship, and permits an explicit look at the immediate effects of financial hardship rather than the long-term consequences of economic duress.
Acute Financial Hardship and Political Participation
What are such plausible short-term consequences of financial hardship? The voter-resource literature specifies several of them. They include reduced efforts to acquire political knowledge, lowered interest in politics, compromised internal and external efficacy, and a deterioration of psychological well-being. These effects are corroborated by a growing body of research in economics and psychology that provides a fascinating new perspective on the consequences of poverty. This research demonstrates that poverty tends to be accompanied by high stress levels and a stronger present bias, leading to more short-sighted decision making (Banerjee and Duflo Reference Banerjee and Duflo2011; Haushofer and Fehr Reference Haushofer and Fehr2014). These effects arguably ensue from increased cognitive load and “tunneling” among the poor, causing myopic and erratic decision making (Mani et al. Reference Mani, Mullainathan, Shafir and Zhao2013; Mullainathan and Shafir Reference Mullainathan and Shafir2013).
Importantly, these effects of poverty can materialize almost immediately (Carvalho, Meier, and Wang Reference Carvalho, Meier and Wang2016; Shah, Mullainathan, and Shafir Reference Shah, Mullainathan and Shafir2012). From the perspective of the political science literature, it is plausible that such negative psychological effects reduce the ability of individuals to acquire and process political knowledge—an ability that matters for all forms of political engagement (Delli Carpini and Keeter Reference Delli Carpini and Keeter1996; Denny and Doyle Reference Denny and Doyle2008). It is also possible that the negative psychological effects spill over to other domains, such as political efficacy, which is usually seen as less mutable. Indeed, scholars have drawn a connection between psychological well-being, the psychological concept of self-efficacy, and political efficacy (Gecas Reference Gecas1989; Schattschneider Reference Schattschneider1960). According to this logic, the psychological problems induced by acute financial hardship may lead to a reduction in (internal) political efficacy, a well-known predictor of political participation (Jennings and Niemi Reference Jennings and Niemi1971; Rosenstone and Hansen Reference Rosenstone and Hansen1993). This process may be particularly acute in contexts where the difference between the well-off and the poor has grown large so that the feeling of powerlessness is pronounced (Schattschneider Reference Schattschneider1960; Solt Reference Solt2008; but cf. Emmmenegger, Marx, and Schraff Reference Emmenegger, Marx and Schraff2015).
Another pathway potentially linking economic duress to lower levels of participation is the reduction in sociability that has often been observed to accompany poverty (Jahoda, Lazarsfeld, and Zeisel Reference Jahoda, Lazarsfeld and Zeisel1971; Verba, Schlozman, and Brady Reference Verba, Schlozman and Brady1995). This mechanism is important insofar as it might apply to even short episodes of income deprivation. In order to save resources, people tend to decrease their number of social contacts (Cohen and Dawson Reference Cohen and Dawson1993; Gallie, Paugam, and Jacobs Reference Gallie, Paugam and Jacobs2003). Being isolated at home, then, may ease the social pressure that has been shown to increase turnout and other forms of political participation (Brady, Schlozman, and Verba Reference Brady, Schlozman and Verba1999; Gerber, Green, and Larimer Reference Gerber, Green and Larimer2008).
Rather than withdrawal, the mobilization model would lead us to expect emotions such as anger and outrage to accompany acute financial hardship. This response might occur particularly when acute financial hardship increases feelings of relative deprivation (Kern, Marien, and Hooghe Reference Kern, Marien and Hooghe2015; Runciman Reference Runciman1966). As pointed out by Gelman et al. (Reference Gelman, Shor, Bafumi and Park2008) and Galbraith and Hale (Reference Galbraith and Hale2008), such relative deprivation is felt most harshly where the contrast between the rich and the poor is clearly visible, as when the degree of residential segregation is low. It should be noted, however, that the mobilization literature usually gives a central role to political actors. In other words, economic hardship and inequality can lead to increased participation if channeled by political actors in this way (Marx Reference Marx2020). Because organization of such efforts usually take time, these mobilizing effects are rather unlikely to surface in the short run. On balance, one should therefore expect the effects of acute economic hardship to be negative, but less so in areas or situations where relative levels of wealth are conspicuous.
In the empirical part of this paper, I show that acute financial hardship affects only those who are already poor—the people in the lowest income tercile. Why should one expect effects to be confined to the poor? A first answer is afforded by the economic literature on poverty (Banerjee and Duflo Reference Banerjee and Duflo2011): Among the poor, having less quickly means having nothing.Footnote 2 The poor often have no savings, so once their disposable income is gone, they have no financial cushion to fall back on. In that regard the situation of the poor fundamentally differs even from that of people with modest savings. Second, the fact that disposable income of the poor may quickly dwindle to zero in times of financial strain also has implications for their relative income situation. Relative income can be measured as the ratio of the income of a comparison group to one’s own income (cf. Brady Reference Brady and Neckerman2004). It follows that if the latter approaches zero, perceived income inequality escalates to infinity. Among the poor, small shocks to available income can therefore result in high levels of both absolute and relative deprivation.
Data and Measurement
I study the case of Germany. Even though Germany is among the world’s wealthiest countries, substantial segments of the population must be considered poor, in some cases severely so. Individuals are considered at risk of poverty when they earn less than 60% of the median means-adjusted equivalent income. Demographic groups that are at a particularly high risk of poverty are single-parent households, pensioners, individuals living off unemployment benefits, and poorly educated individuals employed in the low-income sector (Statistisches Bundesamt 2018). For Germany as a whole, the “at-risk” population in 2017 was between 15.8% according to figures from the German Statistical Office (Statistisches Bundesamt 2018) and 16.8% according to the German Socioeconomic Panel—up from around 12% in the early 1990s (Aust et al. Reference Aust, Rock, Schabram, Schneider, Stilling and Tiefensee2018). Like other industrialized societies, Germany also has a gap between social classes when it comes to political participation, with individuals of relatively low socioeconomic status being less likely to join a party, engage in political discussions, and vote (Bödeker Reference Bödeker2012). This gap has been growing for years. While voter turnout did not discernibly differ between higher and lower social classes until the 1980s, by 2013 the gap between high- and low-socioeconomic-status individuals had increased to 20 percentage points (Schäfer Reference Schäfer2015).
The case of Germany lends itself almost perfectly to studying the effects of acute financial hardship because of the way the labor market and social security system are organized and because of the strong conventions surrounding the payment of wages and other transfers. At least three points are relevant. First, and most important, salaries, wages, and welfare benefits (pensions and unemployment support) are paid for the whole month rather than being disbursed weekly or biweekly, as is common in other countries. In a poll conducted among 60 randomly chosen firms representing the 20 most common professions, 97% of firms confirmed that their employees are paid monthly.Footnote 3 Second, most white- and blue-collar workers—66% in the poll—receive their pay at the end of the month, and the same is true for recipients of welfare payments. Third, 78% of low-income households in Germany in 2019 lived in rented accommodation (Kempermann et al. Reference Kempermann, Ricci, Sagner and Lang2019), and rent payments for the upcoming month are conventionally sent in the final days of the month. Rent payments—for most households the single largest monthly expense—therefore tend to accrue at the end of the month. Taken together, these factors can lead to situations where money becomes tight towards the end of the month, especially for the poor, and especially in months that are effectively longer than others. This pattern creates the quasi-experimental ebb and flow in incomes that the following empirical analysis exploits.
Data Sources
Data for this study come from a range of sources, both quantitative and qualitative. For the individual-level quantitative analysis, I draw on the full universe of large-scale political opinion datasets accessible in Germany. Datasets were included if they (a) contained measures of voting intentions or plausible mechanisms, (b) included an income measure with which to identify the poor, (c) show month-to-month variation in when people were interviewed, and (d) explicitly state the interview date. The last two criteria are crucial because they enable the analysis of behavior conditional on the effective length of months. Four large-scale political opinion surveys fit these criteria: the German General Social Survey (ALLBUS, n = 58,783 observations collected between 1984 and 2016) (GESIS 2018); the European Social Survey (ESS, n = 23,342, 2002–2017) (European Social Survey 2020); the Deutschland Trend polling dataset (Deutschland Trend, n = 143,542, 2008–2018) (ARD and Infratest Dimap 2019); and the polling data set compiled by the FORSA Institute for Social Research and Statistical Analysis (FORSA 2020).Footnote 4 The FORSA dataset is unique in that it contains data from daily polls for the years 1993–2015, adding up to no fewer than n = 3,050,039 observations.
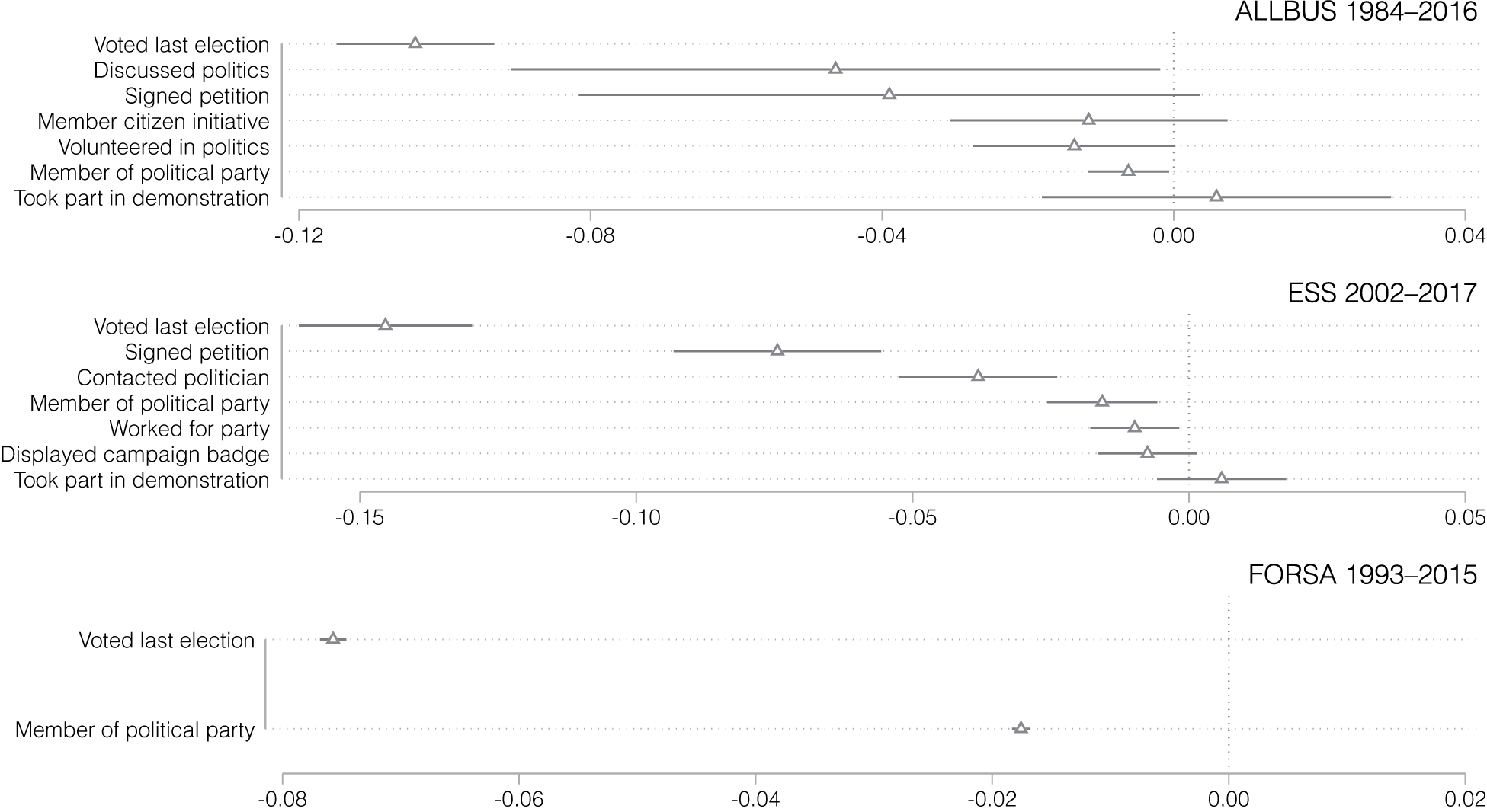
The four data sources encompass a wide range of outcome measures that allow me to assess the overall relationship between poverty and political participation. These measures include past voter turnout, associational membership, and participation in discussions. In all datasets I identify individuals who are poor according to the OECD’s standard definition: individuals earning 60% of the means-adjusted median household income or less.Footnote 5 The share of poor individuals in the data ranges between 14% and 20% (compared with 16% in the general population), depending on how precisely this group can be identified. Figure 1 shows the correlation between the indicator for being poor and different forms of political participation.

Figure 1. Correlation of Measures of Political Participation with Poverty
Note: Coefficient plot from regressions of indicated outcomes on the indicator for poverty, defined as earning less than 60% of the means-adjusted median income. All outcomes are standardized to range from 0 to 1. OLS regression controlling for age, sex, education, and parents’ education and including month, year, and state fixed effects. Markers are point estimates, horizontal lines, 95% confidence intervals.
Across all datasets poverty is negatively correlated with institutionalized (electorally oriented) forms of political participation (e.g., party membership) and noninstitutionalized forms of engagement (e.g., the signing of petitions). The only type of political participation that is positively correlated with poverty is participation in demonstrations, a finding that echoes arguments in the literature that this type of political engagement is more accessible for individuals with low socioeconomic backgrounds (Marien, Hooghe, and Quintelier Reference Marien, Hooghe and Quintelier2010; Van Aelst and Walgrave Reference Van Aelst and Walgrave2001). Remarkably, the single strongest negative correlation is that with past voting. Poor people are between 4% and 12% less likely to indicate that they voted in the most recent general election.
Outcome Measures
The indicators in Figure 1 have in common that they measure past behavior assessed over a relatively long period, typically the past month or year. Addressing the effects of acute income shortages requires an indicator of political participation that is plausibly affected by income deprivation in the very short run. I propose to use turnout intentions for this purpose, which have been shown to be a powerful predictor of actual voting behavior (Achen and Blais Reference Achen, Blais, Elkink and Farrell2016; Quintelier and Blais Reference Quintelier and Blais2016). This measure is well suited because it is widely available, allowing me to test my hypotheses across different data sources. Crucially, turnout intentions are also time variant in that they can plausibly change over a limited period and can, therefore, be affected by income poverty even in the very short run. As a second outcome measure, I study actual turnout. Aided by a research assistant, I assembled an original dataset of all European, federal, state (Land), and municipal elections held in Germany since World War II (i.e., 1946–2019) and for which electronic records are kept by the federal elections officer or the election officers of the 16 German states—a total of 1,089 elections. The dataset records electoral turnout, the election date, and, for all elections after 1970, state-level data on unemployment rates and average salaries. This information allows me to link turnout figures to the sequence of bank working days, and enables me to test for effect heterogeneity conditional on poverty levels and income inequality.
Finally, in the spirit of a nested research design, I combine the analysis of the natural experiment with qualitative data in the form of semistructured interviews (Lieberman Reference Lieberman2005; Paluck Reference Paluck2010). The interviews are used to assess and complement the plausibility of the statistical findings and to learn more about the causal process connecting the experience of financial hardship with political behavior (Collier, Brady, and Seawright Reference Collier, Brady, Seawright, Brady and Collier2004). I conducted interviews with respondents living at the lower extreme of the income distribution (at or below the poverty line) where theoretically and based on preliminary statistical analyses I expected the effect of financial hardship to be particularly strong (cf. Seawright Reference Seawright2016). Interviews were conducted in person in low-status neighborhoods in the German capital, Berlin.
I recruited interview partners in two ways so to allow for variation in terms of political engagement. First, potential respondents were contacted through the German National Conference on Poverty (NCP), a network of NGOs working on poverty and related issues. This recruitment channel allowed me to speak to individuals who, despite their poverty, maintain high levels of political engagement. Second, with the help of student assistants I distributed leaflets in low-status neighborhoods in Berlin to ask for participation in the interviews. This step facilitated recruitment of individuals who were not part of any institutional structure and who often showed very low levels of political participation.Footnote 6 A total of 21 respondents were interviewed: 10 women and 11 men, with an average age of 49 years. Of these participants, 24% were immigrants themselves or had parents who had immigrated to Germany, 33% had a regular job, 43% lived from unemployment benefits, and 24% were pensioners. Interviews lasted about 60 minutes each, and all respondents received a monetary compensation for their time amounting to twice the federal minimum wage.
The Sequence of Bank Working Days as Natural Experiment
Causal identification relies on the sequence of bank working days, which produces an interplay of what in this article I refer to as “long” and “short” months. I define a month as “long month” when the last day of the month falls on a bank working day. Bank working days are, with very few exceptions, all Mondays to Fridays of the year. A short month, by contrast, is one where the last day of the month falls on a Saturday or Sunday. February is always a short month. From the interchange between short and long months result “long months after short” (LMAS). LMAS result whenever a long month follows directly upon a short month. This interchange creates variation in how long a household has to manage with the same amount of money.
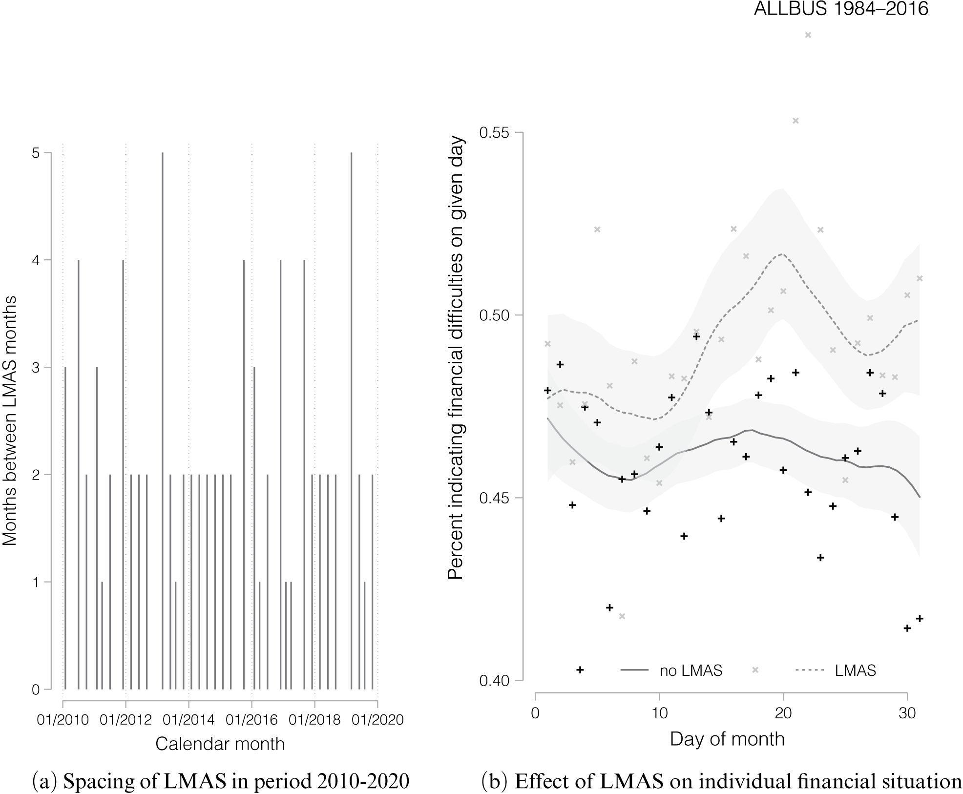
In Germany, companies and the state are required by law to transfer salaries and other monthly payments to a recipient’s bank account by the end of the calendar month. Because banks do not make transfers on weekends, the transfers in short months take place on the final Friday before the weekend that ends the month. In long months transfers usually occur on the last day of the month (which coincides with the last bank working day of that month). The period between two dates of payment is therefore longest when a short month is followed by a long one—that is, in LMAS. On average, the time between payments is 29.8 days in non-LMAS and 32.1 in LMAS,Footnote 7 meaning that LMAS obliges people to manage on the same income for more than two additional days. These additional days with expenses but no income can imply that poor individuals in particular may end the month short of cash. The occurrence of LMAS is so irregular that it is no better than random in the short run, as shown in Figure 2a which plots the number of months between the occurrences of LMAS for the years from 2010 to 2020. This means that it is hard for individuals to develop an intuition for the sequence of cash-deprived ends-of-month.Footnote 8

Figure 2. Long Months after Short (LMAS)
Note: Figure 2a plots the number of months that lie between one long-month-after-short (LMAS) and the next for the years 2010 to 2020. Figure 2b shows the percentage share of respondents indicating financial difficulties on the given day against the day of the week. The lines are kernel density plots (Epanechnikov kernel with optimal bandwidth) of financial difficulty for respondents interviewed during LMAS (dashed line) or non-LMAS (solid line). Markers are day-of-month averages of financial difficulties. The shaded areas are 95% confidence intervals. ALLBUS 1984–2016 data, n = 56,907.
LMAS and Financial Situation
The hypothesis is that LMAS negatively affect household finances, causing a drop in participation rates. Is it possible to show the effect of LMAS on households’ financial situation empirically? Unfortunately, most public opinion surveys, including the ESS and the FORSA surveys, do not include measures of immediate economic and financial well-being. The ALLBUS, however, includes one item that can be used to evaluate the instrument. In the ALLBUS, individuals were asked to rate their own economic situation “today” (rather than the more conventional “nowadays”), with response options ranging from “Very bad” to “Very good.” I recoded this variable to take the value 1 for individuals who indicated some financial difficulties and 0 for those who did not. Figure 2b plots the share of respondents indicating financial difficulties on a given day of a month, separately for LMAS and non-LMAS. In non-LMAS the line is basically flat: at any time during the month, respondents indicated about the same level of financial difficulties. Not so for LMAS. Here the share of respondents indicating financial difficulties increases markedly toward the end of the month.
To obtain additional information on the effect of LMAS, I consulted two further datasets that contain information on household finances: The Panel on Household Finances (PHF panel), collected by the German Central Bank, and the Panel Study Labor Market and Social Security (PASS), hosted by Germany’s Institute for Employment Research (IAB) of the Federal Employment Agency.Footnote 9 These data show that during LMAS, poor people report a higher number of unpaid bills, a reduced ability to save, and generally have more difficulties to get by.Footnote 10 The analyses also show that the negative effects of LMAS surface among the “working poor”—those living off low salaries and wages that leave them below the poverty line—but not among the long-term unemployed living off state welfare. Qualitative and quantitative evidence suggests that this is due to the fact that the latter are more “practiced” at living in poverty and because the state pays their rents, which often constitute a serious financial burden among the working poor.Footnote 11
Estimation Strategy
To determine the causal effect of acute financial hardship on voter turnout, I compare individuals interviewed during LMAS (the “treated”) with those interviewed during non-LMAS (the “untreated”). For the LMAS treatment to be valid, it has to be orthogonal to all potential confounders. Although this assumption is not fully testable, an important implication is that treated and untreated individuals should be indistinguishable in terms of observable covariates. Balance tests show that this close similarity indeed obtains. Very few differences between individuals recruited during LMAS and those recruited during non-LMAS reach statistical significance at conventional levels, even though sample sizes are large. And when they do, substantive differences are close to zero.Footnote 12
Building on this identifying assumption, I estimate regression models in the form
where Yi is a binary outcome indicator recording whether an individual would vote if elections were held the following Sunday;Footnote 13 LMASi records whether individuals were interviewed in a LMAS or a non-LMAS; Xi is a matrix with the pretreatment control variables age, sex, education, and parents’ education; γm , λy , νs , and ϕl are fixed effects for the month of the year, year, short versus long month, and state (Land); and μi is the error term. The fixed effects ensure that results do not simply reflect idiosyncrasies of the time or local area where observations were recorded.
Results
I proceed by exploring the effects of acute financial difficulties on turnout intentions as recorded in the survey data. This is followed by an investigation on the effect of financial hardship on actual turnout in elections in Germany 1945–2019. Figure 3 sums up the results for the analyses using the ALLBUS, FORSA, and Deutschland Trend survey data. For each dataset three estimates are given: (a) for the whole sample, (b) for the poor population only, and (c) for the poor population at the end of the month. Although there are only small overall effects of acute financial difficulties, LMAS-induced income shortages cause significantly lower turnout intentions among the poor. This trend is reinforced toward the end of the month. Among the poor, turnout intentions are between 1 and 5 percentage points lower in LMAS as compared with non-LMAS—a difference of 1% to 6% relative to the average turnout for this group.Footnote 14 Even stronger effects are observed when focusing on poor individuals interviewed at the end of the month, where turnout intentions are between 1.5 and 11 percentage points lower.Footnote 15 The substantive significance of these effects can be judged by converting the percentages into absolute numbers. Assuming that the true effect size for the poor population is 5 percentage points and given that about 16% of the German electorate of roughly 65 million is poor, this translates into a loss of more than half a million intended votes at the end of a LMAS as compared to a non-LMAS. These findings stand up to a variety of robustness checks, including the use of different definitions of turnout intentions, a placebo test, and a matching strategy.Footnote 16

Figure 3. Causal Effect of LMAS-Induced Financial Hardship on Turnout Intentions (Individual Level)
Note: Figure 3 plots the coefficients for individual-level regressions of turnout intentions on the indicator for LMAS. OLS regressions controlling for age, sex, education, and parents’ education and including month, year, and state fixed effects. Markers are point estimates, vertical lines, 95% confidence intervals. ALLBUS 1984–2016, FORSA 1993–2015, and Deutschland Trend 2008–2018 data.
Subgroup Effects
Among which groups do short-term financial difficulties result in reduced levels of political participation? Answering this question allows us to test additional arguments raised during the theoretical discussion. For this subgroup analysis I restrict myself to the FORSA data, the only dataset with sufficient power to allow for such an analysis, and subset the sample to the poor. One argument of the resource model is that that poverty reinforces social isolation. This effect should be most acutely felt among people who live alone. We can approximate the lack of social embeddedness by noting individuals’ partnership status. Figure 4a shows the effect LMAS-induced financial duress has on those people living with a partner versus those living alone (because they are single, widowed, or divorced). Among the latter group, a strong negative effect can be observed. By contrast, economic difficulties did not seem to translate into lower turnout intentions among those living in stable partnerships—an observation consistent with the expectation derived from the resource model.

Figure 4. Subgroup Effects of Acute Financial Hardship on Turnout Intentions
Note: Figure 4 plots the coefficients for individual-level regressions of turnout intentions on the indicator for LMAS, separately for the indicated groups. OLS regressions controlling for age, sex, education, and parents’ education and including month, year, and state fixed effects. Markers are point estimates, horizontal lines, 95% confidence intervals. Standard errors for the analysis of inequality clustered at the county level. FORSA data, years of coverage indicated. Data on union membership available only as of 1996.
An important body of research points to the mediating role labor unions and political parties perform in channeling experiences of economic hardship into political action (Emmenegger, Marx, and Schraff Reference Emmenegger, Marx and Schraff2015; Margalit Reference Margalit2019; Pontusson and Rueda Reference Pontusson and Rueda2010). We would therefore expect to see much reduced or even positive effects of economic difficulties on turnout intentions among members of such organizations. In Figure 4b, shows separate estimates for members versus nonmembers. We see that among party members, the effect of LMAS-induced financial distress is indeed less pronounced and statistically insignificant.Footnote 17 However, the same is not true for union members. The evidence in favor of the mobilization model is thus inconclusive. While some forms of institutional membership do seem to cushion the negative effects of acute poverty, we definitely do not see the increase in participation that the model would predict.
Further insights can be drawn when considering respondents by employment status. The literature on the resource model has singled out the unemployed as the group suffering most from financial hardship, but as mentioned above, in the German case at least, it was the working poor who seem most affected by LMAS-induced financial hardship. Does this effect also translate into more starkly reduced rates of participation among this group? The available evidence seems to support this conjecture. Figure 4c compares effects on the unemployed with those on the working poor: employees and workers earning salaries or wages that leave them below the poverty line. The analysis shows that the effect is unambiguously negative for the working poor but not for the unemployed. The fact that unemployment does not make individuals more vulnerable to financial shocks (or at least not more vulnerable than the employed are) may indicate that the German welfare state is somewhat effective in reducing inequalities in political participation for those on benefits, underlining the important role the state can play in shaping the relationship between acute poverty and political participation (cf. Beramendi and Anderson Reference Beramendi, Anderson, Beramendi and Anderson2008).
The data also permit exploration of the role of inequality. On this topic the contrast between the theoretical predictions is particularly stark. While the elite-power model predicts a more negative effect of economic hardship under conditions of high inequality (because they increase the feeling of powerlessness), the mobilization model holds that inequality is likely to be associated with a less negative or even positive effect of economic distress on political participation. I exploit the fact that the local income distribution does not fully covary with the absolute level of poverty. For this test, I calculated the 90/10 income inequality ratio—the household income of the 90th percentile compared with income of the 10th percentile—at the level of the county–year (n = 10,659). I then split the sample according to whether respondents live in counties where this ratio lies above or below its mean value of 4.33. As shown in Figure 4d, the negative effect of acute economic hardship is stronger in areas where inequality is higher—a finding that clearly supports the power model over the mobilization model.
Polity-Level Results
So far, the focus of this analysis has been on individual-level turnout intentions. Using the German electoral turnout dataset, I now shift to the polity level and assesses the effect of LMAS-induced financial hardship on actual turnout. The analysis draws on a multilevel linear model that is similarly specified to Model 1, but where intercepts are allowed to vary by the level at which the election was held (i.e., municipal, state, national, and European) and by the election date (since several elections are often held on the same day). As shown in Figure 5a, elections held in LMAS had a turnout rate 2 percentage points lower than elections held in non-LMAS. This overall effect is driven by differences between elections taking place in the last week of the month (22% of all elections), where the difference is 5 percentage points. When restricting the dataset to major (federal, state, and European) elections, the gap narrows to 4 percentage points, but nonetheless remains statistically significant.

Figure 5. Causal Effect of LMAS-Induced Financial Hardship on Observed Turnout
Note: Figure 5 plots the coefficients from a multilevel regression of turnout on the indicator for LMAS, with intercepts allowed to vary by the election date and the level at which the election was held (European, national, state, local), and controlling for state and month fixed effects, an indicator for the length of the month, and the turnout in the previous election. Figure 5a shows regressions for all elections (n = 1,089), those held at the end of the month (n = 238), and major elections (excluding municipal elections held at the end of month (n = 51). Figures 5b and 5c show marginal effects of LMAS on elections held during the last week of the month since 1960/1970, separately for elections taking place in contexts with below- and above-average long-term unemployment rates and ratios of incomes to GDP, respectively (n = 201/162). German electoral turnout dataset (compiled by author). Markers are point estimates, vertical lines 95% confidence intervals.
By implication of the theoretical models, we would expect a stronger (i.e., more negative) effect of LMAS in areas where more people live in poverty and in areas where the income distribution is more unequal. In order to capture poverty at the local (state) level, I use the unemployment rate. Even though I argued that the unemployed do not necessarily suffer more from short-term financial difficulties, contexts of high unemployment typically go along with a depression of wages at the lower end of the income spectrum (Blanchflower and Oswald Reference Blanchflower and Oswald1994). This measure therefore approximates the income situation among the working poor. Income inequality is measured with the ratio of salaries to total GDP. This ratio captures the extent to which wealth goes to the employed as compared with capital owners (cf. Chetty et al. Reference Chetty, Grusky, Hell, Hendren, Manduca and Narang2017). The two indicators can be calculated for the 11 states of the former West Germany for the period since 1960 and 1970 and for the whole of Germany since 1990 (Statistische Ämter der Länder 2019). Figures 5b and 5c show the effect of financial hardship on turnout for observations below and above the sample average for these indicators.
As expected, financial difficulties appear to have more negative effects in states and years where unemployment was high and a relatively low share of the wealth went to employees. Correspondingly, low unemployment and a relatively high ratio of salaries to GDP are associated with weaker effects. This analysis is merely suggestive because differences between the heterogeneous effects fail to reach statistical significance and the ecological analysis does not allow conclusive identification of the causes underlying these finding (Kramer Reference Kramer1983). This said, the observed pattern is consistent with an interpretation that LMAS-induced economic hardship may be at the root of the effects we observe—and that these effects are reinforced in contexts of high income inequality.
Mechanisms
What mechanisms link financial hardship to lower political participation? Above I pointed to two plausible channels: Negative psychology, including reduced political interest and efficacy, especially among people feeling relatively deprived, and reduced social contact. The ALLBUS and ESS surveys include a range of questions that help capture these mechanisms. For the sake of clarity of presentation, I summarize groups of items into five scales by standardizing and averaging. Unfortunately, only the ALLBUS Survey includes measures for both mechanisms and turnout intentions, and many items (on psychological well-being and efficacy) are included only in two of the rounds. These data limitations precluded formal causal mediation tests (cf. Imai and Yamamoto Reference Imai and Yamamoto2013). Instead, I restrict myself to presenting the results from a regression of the indicators for the various mechanisms on the LMAS instrument.Footnote 18
The analysis presented in Figure 6 supports the idea that financial hardship affects voting largely through its negative effects on psychological well-being and political efficacy. Respondents faced with financial distress lack energy and feel sad, restless, and imbalanced at higher rates. Putatively as a consequence—and as a consequence of feelings of alienation with the political elites—individuals perceive politics as too complicated for them to understand and as something beyond their influence. By contrast, acute financial hardship does not consistently seem to affect political interest or patterns of sociability: The direction of the effect of LMAS is inconsistent across datasets and not statistically significant at conventional levels. The analysis provides support for theoretical ideas from the resource and power models. Even though these models originally were conceived to explain the effect of structural poverty and inequality, these ideas also seem well suited to explaining the consequences of acute financial difficulties.

Figure 6. Causal Effect of LMAS-Induced Financial Hardship on Mechanisms
Note: Figure 6 plots the coefficients for regressions of the indices for potential mechanisms connecting financial hardship with lower turnout intentions on the indicator for LMAS. Markers are point estimates, horizontal lines 95% confidence intervals. Results for the individual components of the indices plus further results are shown in Figure 8A in the Appendix. ALLBUS 1984–2016 and ESS 2002–2017 data.
Qualitative Evidence
Data from the semistructured interviews allow us to gain a yet deeper understanding of the causal process connecting the experience of financial hardship with political participation. The interviews centered on two themes: (a) respondents’ experience of poverty, income shocks, and methods of coping and (b) respondents’ political attitudes, past and current forms of political engagement, and attitudes to formal political processes, especially elections. When speaking about how they experience poverty, respondents regularly described a pressure to reduce spending, especially towards the end of the month, when money runs out—a situation that compels them to reduce their social contacts as well. For instance, a retired bookkeeper now living off a meager pension, stated, “Towards the end of the month, money gets tight. The last 10 days of the month, you often have to do with 30 Euros. On those days, I shouldn’t go out and meet people, because that always costs.” Most respondents did not perceive a clear regularity as to when money runs out beyond an end-of-month effect, but one respondent said she closely watches the calendar to see if her money arrives before the end of the actual month (i.e., in a short month). She then tries to control her spending so to retain enough for the remaining days of that month and the whole of the following month. However, she also admitted that such rationing is extremely tough. “You always have a list of things that you desperately need, like washing powder or other little things. Then when the money arrives early, you start buying these things. Of course, this means the money goes faster. You start the month, and your budget’s already down.”
How does this type of financial hardship relate to political behavior—and to the theoretical models discussed? In other words, how do individuals understand their situation—and how does this understanding relate to the resource, power, and mobilization models? Roughly speaking, responses focusing on the hardship and limitations experienced as a result of poverty provide support for the resource model. Resigned complaints about inequality and the inability to change things would provide support for the elite-power model. And displays of anger and rage coupled with accounts of political activism speak to the mobilization model. Just as with the quantitative evidence, in the in-depth interviews the mobilization model received relatively little support. In only one case was a respondent ostensively spurred into political action by her situation. This respondent, a 58-year-old baker, had abstained from voting for years, but had finally cast her vote again in 2017, when she found her anger represented by Germany’s newly-founded right-wing populist party, the AfD.
However, such feelings were rare. Instead, most respondents perceived politics as something from a realm entirely foreign to their lived reality—something done by the rich to serve the rich, echoing arguments made in the elite-power model. In the words of one respondent, “it is clear that politics is made for those on top and maybe the middle class—but no one pays attention to the bottom 20%.” Others were even more cynical and believed that politicians outright conspired against the poor. “It’s all a puppet show,” one interviewee stated. “Those on top are just pretending to do something for those at the bottom, but in reality they are only out to serve their own interests.” A similar thought was expressed by another respondent, who believed that “everything has already been agreed upon before elections are even called.” These feelings of alienation were shared even by respondents who volunteered with the NCP. Even these politically engaged individuals followed politics only insofar as it dealt with social issues—otherwise, they felt a great distance to political elites, who “give themselves big pay rises, but have lost touch what matters to the local people,” as put by a 45-year-old software developer who had slipped into poverty after a divorce.
A lack of money also prevented engagement for very practical reasons. Unable to afford tickets for public transport, and anxious not to get caught fare-dodging, one respondent chose to stay away from political events—despite her keen interest in current affairs and willingness to engage. Another respondent, who sometimes takes part in discussion forums to report on his poverty, recounted his fear of being asked “to have lunch together,” not knowing whether the conversation partner would pick up the bill—something he was unable to afford himself. As a consequence, he would often pass up opportunities to air his views in person and thus lacked the influence that a better-off person could easily gain.
As would be expected from the resource model and the related work in psychology and economics, another recurrent topic in interviews was psychological difficulties. Many respondents reported to regularly feel down and depressed. An unemployed butcher, for example, mentioned how “the days when I can’t see my children [who live elsewhere] really put a downer on things. I sit at home, twiddle my thumbs.” This situation also caused the respondent to lose interest in the outside world. He had not been formally participating in politics for years. Similar themes were taken up by the majority of respondents. Respondents reported how, towards the end of the month, they would often choose to stay home alone to avoid spending money. At such times, they would even avoid having a coffee with a friend—simply because they could not afford it. This also meant that they would not engage in the discussions about politics they sometimes had with their friends. Respondents reported feeling bored and unmotivated, spending their time watching TV or browsing the internet, and waiting for the next payment to arrive. Those interviewees volunteering with the NCP reported that their engagement sometimes helped them to “get out of the hole they were in,” as one respondent put it, confirming the important role of institutional embeddedness in mediating the relationship between financial hardship and political engagement. Having pre-arranged meetings gave them the motivation to leave the house, and the fact that expenses were usually covered meant that they could do so without worrying about unnecessary spending.
Overall, the qualitative data is consistent with insights derived from the theory and quantitative tests above, demonstrating the value of the resource and power models for describing the effects of acute financial difficulties on the poor. By reducing psychological well-being and increasing feelings of alienation, financial hardship leaves all but those deeply embedded in institutional structures isolated and unable to take part in politics.
Conclusion
Understanding the exact relationship between poverty and political behavior has long been of interest to political scientists. Contributing to this debate, this work substantiates a negative causal effect of acute financial hardship, lasting merely a few days at a time, on political participation. Theoretically, this effect was expected, as short-term financial duress plausibly has similar consequences to those derived by the resource and power models for structural poverty—namely psychological problems, reduced social contacts, a reduced sense of political efficacy, and a heightened sense of relative deprivation. The empirical results confirm the theoretical expectations: Among the poor, acute income shortages cause reduced levels of political participation. In particular, turnout intentions and actual turnout are negatively affected, especially for the already poor. Effect sizes are considerable—about 4 to 5 percentage points. Qualitative findings confirm the debilitating effect of short-term financial duress.
By lowering turnout, acute financial hardship has immediate negative consequences for the political representation of the poor. This is all the more important considering how common poverty is. As shown by studies in the United States and Europe, at most 60% of the poor population is long-term poor (Bane and Ellwood Reference Bane and Ellwood1986; Fouarge and Layte Reference Fouarge and Layte2005). The remaining poor are a diverse set of people who slip in and out of poverty. The population affected by the engagement-depressing effects of short-term financial difficulties is therefore likely to be much larger and more diverse than official figures on poverty may suggest. These findings are of added importance in the light of research documenting the habit-forming nature of voting. Voting in prior elections has been shown to have a strong and causal effect on turnout in subsequent elections (Dinas Reference Dinas2012; Gerber, Green, and Shachar Reference Gerber, Green and Shachar2003). In other words, small events can have long-term, cumulative effects. Even one-off events such as a short spell of unemployment early in life or a rainy election day can have downstream consequences, permanently reducing political participation among those affected (Emmenegger, Marx, and Schraff Reference Emmenegger, Marx and Schraff2016; Fujiwara, Meng, and Vogl Reference Fujiwara, Meng and Vogl2016). This article shows that the same may hold true for acute financial hardship.
The present study lends itself to various extensions. For one, it has demonstrated that the effect of acute financial hardship is not uniform across all groups of society. Future work could examine heterogeneity along additional dimensions such as gender and race. For another, the method used to isolate acute financial hardship may be applied to other areas of research. One such area is the effects on noninstitutionalized forms of political participation (cf. Marien, Hooghe, and Quintelier Reference Marien, Hooghe and Quintelier2010). Future work could link the LMAS instrument to events databases recording protest behavior or the signing of petitions, for examples. Other areas that could be studied are electoral outcomes (party votes) and the social consequences of financial duress, including substance abuse and suicide (Case and Deaton Reference Case and Deaton2020). In contexts such as the United States, where payroll frequencies are higher (rendering the present identification strategy inapplicable), analogous instruments could be constructed to study the effects of financial hardship. For example, economists studying consumption behavior have used quasi-random variation in the frequency at which retired couples receive paychecks (Berniell Reference Berniell2018). More generally, this article provides additional motivation for the systematic study of the effects of short-term fluctuations of income and other drivers of political behavior—an endeavor that so far has often been hampered by a lack of temporally disaggregate data.
Fifty years ago, Verba and Nie (Reference Verba and Nie1972) demonstrated the poor’s systematic exclusion from the democratic process and called for the reduction of poverty to ensure their equal representation. The findings presented in this article support this conclusion. After all, acute financial duress has detrimental effects only among the already poor, especially if they live in contexts of high inequality. Reducing structural poverty and inequalities would, as a consequence, also temper the effects of short-term income shocks. Beyond providing yet more support for such long-term goals, this article also draws attention to the potential effectiveness of short-term measures, particularly on election day and in other periods when important political decisions are taken. If, as was shown, day-to-day variations in financial hardship can systematically reduce turnout and other forms of participation, then actors interested in enfranchising the poor should do more to reduce acute financial duress during such periods. Such measures could range from subsidies for transport on election day to additional mobilization efforts or avoiding scheduling elections for times of financial squeeze in the first place.
Supplementary Materials
To view supplementary material for this article, please visit http://dx.doi.org/10.1017/S0003055421000551.
Data Availability Statement
Replication data for this article are available at the American Political Science Review Dataverse: https://doi.org/10.7910/DVN/ZCEQPS.
Acknowledgments
I would like to thank Valentin Aichele, Paul Bauer, Bernd Beber, Manuel Bosancianu, Elias Dinas, Peter Dinesen, Henning Finseraas, Aina Gallego, Johanna Gereke, Heiko Giebler, Anselm Hager, Macartan Humphreys, Arndt Leininger, Peter Loewen, Daniel Meierrieks, Ines Michalowski, Rune Sloothuis, Jennifer Shore, Susanne Veit, Kelly Zhang, and the participants at research seminars at Gothenburg University, WZB, Bocconi University, and MZES Mannheim for their helpful feedback. I am grateful to my interviewees who generously shared their experiences with me and to three anonymous reviewers for their very constructive criticism. The German Federal Bank in Frankfurt, IAB in Nuremberg, and GESIS Cologne facilitated access to restricted micro-data. Lilia Götz, Gizem Ünsal, and Jegor Wolowikow provided excellent research assistance.






Comments
No Comments have been published for this article.