Introduction
Representative democracies depend on citizens’ willingness to run for political office. Who should run for office – and in particular, what character traits they should have – is far from obvious. According to Aristotle, these office-seeking citizens should be virtuous and possess traits like temperance, kindness, and humility (In: Ten Brinke et al., Reference Ten Brinke2016). In contrast, Machiavelli argued that politics requires force, fraud, and strategic violence (ibid). These different perspectives present the two opposing ends of honesty-humility, a core dimension in the HEXACO model of human personality (Lee and Ashton, Reference Lee and Ashton2014). In this paper, we explore whether and how this dimension is associated with office-seeking ambition and the likelihood of being recruited for office. This question has important consequences for representative democracy: research has shown that citizens prefer politicians high on honesty-humility (Aichholzer and Willmann, Reference Aichholzer and Willmann2020). Exposure to candidates with ‘dark’ traits antithetical to honesty and humility is associated with increased political cynicism, disenchantment with politics, and affective polarization (Nai and Maier, Reference Nai and Maier2023). Yet so far, we know relatively little about whether citizens’ honesty-humility is linked to their political ambition, and even less about this trait’s relationship with the concrete decision to run for political office (but see Schumacher and Zettler, Reference Schumacher and Zettler2019). Are the politically ambitious – and those who act on their ambitions – more like the ideal politician sketched by Aristotle or by Machiavelli?
While political scientists have traditionally focused on other explanations of nascent political ambition, such as demographic background and political interest (e.g., Fox and Lawless, Reference Fox and Lawless2004, Reference Fox and Lawless2005, Reference Fox and Lawless2010; Maestas et al., Reference Maestas2006), there is growing attention on the personality of citizens who step forward and, to a much lesser extent, those who run for office. We build on this growing interest by offering the first cross-national study of how personality traits relate to both nascent political ambition and recruitment outcomes. Our study addresses three key gaps.
First, studies that rely on personality inventories capturing all human personality domains almost exclusively focus on the Big Five personality model (Allen and Cutts, Reference Allen and Cutts2018; Dynes, Hassell, and Miles, Reference Dynes, Hassell and Miles2019; Scott and Medeiros, Reference Scott and Medeiros2020), which does not include honesty-humility – a dimension uniquely captured by the six-factor HEXACO model that we use. This trait reflects a tendency to avoid manipulating others for personal gain, rule-breaking, and status seeking (Ashton, Lee, and De Vries, Reference Ashton, Lee and De Vries2014). It is the strongest predictor of fair and altruistic behavior (Hilbig et al., Reference Hilbig2015) and ethical decision-making (Ashton and Lee, Reference Ashton and Lee2008), and the only consistent negative predictor of cheating (Heck et al., Reference Heck2018). Given these normative consequences, we argue that a comprehensive exploration of the personality roots of interest in entering politics must also include the virtue-related honesty-humility dimension. This is echoed by previous studies reporting positive correlations between the Dark Triad traits of narcissism, Machiavellianism, and psychopathy and nascent ambition (Blais and Pruysers, Reference Blais and Pruysers2017; Peterson and Palmer, Reference Peterson and Palmer2021, Reference Peterson and Palmer2022). These traits are (partly) correlated to honesty-humility. However, the Dark Triad focuses on several dark traits in isolation, raising the question of how important virtue-related traits are – in this research captured by honesty-humility – compared to traits less clearly related to virtue (e.g., extraversion) in predicting an individual’s nascent ambition.
Second, even though one study has already established a negative correlation between honesty-humility and nascent ambition among Canadian citizens (Blais, Pruysers, and Chen Reference Blais, Pruysers and Chen2019), we extend this work in several important ways. Analogous to the Dark Triad studies cited above, this research is geographically limited to North America, where first-past-the-post electoral systems may attract more self-promoting or competitive personalities. Hence, it remains unclear whether the same pattern holds in party-list systems where party leaders mostly stand in the spotlight and compete. Moreover, existing evidence on the Dark Triad and nascent ambition is, to a large extent, obtained from student samples (Blais and Pruysers, Reference Blais and Pruysers2017; Peterson and Palmer, Reference Peterson and Palmer2022). However, university students’ personality traits differ from the general population (e.g., Cooper, McCord, and Socha, Reference Cooper, McCord and Socha2010). Hence, it is important to assert that the negative correlation between honesty-humility and nascent ambition also emerges in very different political systems, using samples representative of the population.
Third, while personality’s role in shaping nascent ambition has received growing attention, less is known about how it influences political recruitment – like being asked to and actually running for office. We know that dispositional empathy and narcissism are positively related to running for office among US citizens (Clifford, Kirkland, and Simas Reference Clifford, Kirkland and Simas2019; Sendinc and Hatemi Reference Sendinc and Hatemi2023). However, it is unclear whether these findings extend to honesty-humility and other political systems and how important honesty-humility is compared to other personality traits. We unpack the recruitment funnel at the individual level, studying the personality antecedents of both nascent ambition and recruitment in the same study.
We collected a novel cross-national dataset from surveys conducted in Canada, Denmark, Israel, the Netherlands, and Switzerland in 2022 (N = 11610), examining how citizens’ HEXACO traits relate to four outcomes: thinking about running for office, feeling qualified, being asked to run, and having run. Across all outcomes, honesty-humility consistently shows a negative association – and it is the only personality trait systematically linked to both nascent ambition and recruitment. This suggests that the malevolent trait of low honesty-humility plays a central role in political recruitment and self-selection across very diverse political systems. These findings raise concerns about the kinds of individuals drawn into politics and the implications for democratic representation.
Theory and hypotheses
Personality traits and the HEXACO model
Personality refers to relatively stable individual differences in patterns of thinking, feeling, and behaving that influence how people respond to their social world (Roberts, Reference Roberts2009). These traits are shaped by both biological and environmental factors and tend to remain stable throughout the life course (e.g., Briley and Tucker-Drob, Reference Briley and Tucker-Drob2014). Personality psychologists have developed various frameworks for assessing individual differences in personality, ranging from models that focus on specific traits – such as the Dark Triad (e.g., narcissism) discussed below – to more comprehensive models capturing the full spectrum of individual differences. Among the latter, the Big Five is the most widely known model, proposing that human personality varies across five core dimensions: openness to experience, conscientiousness, extraversion, agreeableness, and neuroticism (Costa Jr and McCrae, Reference Costa and McCrae1992). Over the past two decades, the HEXACO model (Ashton and Lee, Reference Ashton and Lee2007) has gained prominence. It posits that the main dimensions on which people differ are honesty-humility (H), emotionality (E), extraversion (X), agreeableness (A) conscientiousness (C) and openness to experience (O). Like the Big Five, HEXACO is derived from lexical analysis and includes the same five traits, though its definitions of agreeableness and emotionality slightly differ from Big Five agreeableness and neuroticism.Footnote 1 Crucially, however, it adds a sixth dimension – honesty-humility (Lee and Ashton, Reference Lee and Ashton2014) – which makes it particularly relevant for examining virtue-related traits of (aspiring) political candidates.
More broadly, our study contributes to the political psychology literature that has successfully used personality traits to predict key political outcomes, including ideological preferences (e.g., Gerber et al., Reference Gerber2010), voting behavior (e.g., Bakker, Rooduijn, and Schumacher, Reference Bakker, Rooduijn and Schumacher2016), and political participation (e.g., Mondak et al., Reference Mondak2010). Particularly relevant to our focus is the growing body of research showing that elected officials systematically differ from the general population in terms of personality (e.g., Schumacher and Zettler, Reference Schumacher and Zettler2019; Weinberg, Reference Weinberg2021). This raises important questions about a potential personality-based selection funnel into political office.
Honesty-humility and the dark triad
Much of the existing literature on nascent political ambition that we further review below centers on the Dark Triad traits – narcissism, Machiavellianism, and psychopathy (e.g., Blais, Pruysers, and Chen, Reference Blais, Pruysers and Chen2019; Peterson and Palmer, Reference Peterson and Palmer2022). Meta-analytic evidence shows that the shared core of these traits overlaps substantially with the low pole of honesty-humility in the HEXACO model used in our study (Hodson et al., Reference Hodson2018).
While we acknowledge this conceptual proximity, focusing on honesty-humility and the HEXACO model provides several advantages. First, honesty-humility offers a more parsimonious and theoretically coherent framework. It is a single personality trait, consisting of four underlying facets: sincerity, fairness, modesty, and greed avoidance. The Dark Triad, in turn, consists of three distinct constructs (Ashton and Lee, Reference Ashton and Lee2007). Second, unlike the Dark Triad, honesty-humility offers a bipolar structure, capturing not just socially aversive traits but also positive dispositions that may be equally relevant in understanding who chooses to enter politics. Third, compared to the Dark Triad, honesty-humility is part of a larger structural model capturing the entire personality domain (Hodson et al., Reference Hodson2018, 127). This will allow us to assess the relevance of honesty-humility as compared to other dimensions of human personality like extraversion. Importantly, HEXACO’s dimensional structure has been validated across many cultures (e.g., Ashton et al., Reference Ashton2004).
Extant research on personality and ambition
Research on personality and political ambition can be grouped into two main strands. The first relies on comprehensive personality frameworks to explain political ambition domains (e.g., Allen and Cutts, Reference Allen and Cutts2018; Dynes, Hassell, and Miles, Reference Dynes, Hassell and Miles2019; Scott and Medeiros, Reference Scott and Medeiros2020). Yet, with one notable exception (Blais, Pruysers, and Chen Reference Blais, Pruysers and Chen2019), these studies focus on the Big Five model, which does not contain honesty-humility.
The second strand does focus on specific virtue-related personality traits, mostly the Dark Triad, showing that these traits are associated with higher nascent political ambition in both student and adult populations in the U.S. and Canada (Blais and Pruysers Reference Blais and Pruysers2017; Peterson and Palmer Reference Peterson and Palmer2022). The positive relationship between Machiavellianism and narcissism and nascent ambition finds widespread empirical support (Blais and Pruysers, Reference Blais and Pruysers2017; Peterson and Palmer, Reference Peterson and Palmer2021, Reference Peterson and Palmer2022). Some studies also report that psychopathy correlates with nascent ambition (Blais, Pruysers, and Chen, Reference Blais, Pruysers and Chen2019; Peterson and Palmer, Reference Peterson and Palmer2021). Traits such as empathy have also been found to correlate positively with political ambition (Clifford, Kirkland, and Simas Reference Clifford, Kirkland and Simas2019). Yet, these studies focus on traits in isolation, thereby not capturing the entire human personality domain. This raises the question of how important virtue-related traits are – in this research captured by honesty-humility – compared to traits less clearly related to virtue. To our best knowledge, only one prior study has delved into this, revealing a negative correlation between honesty-humility and nascent ambition within a sample of Canadian citizens (Blais, Pruysers, and Chen Reference Blais, Pruysers and Chen2019). We examine whether this result extends to different countries with different political systems.
Finally, the psychological antecedents of actual candidacy remain understudied. Dispositional empathy and narcissism are positively related to running for office among US citizens (Clifford, Kirkland, and Simas Reference Clifford, Kirkland and Simas2019; Sendinc and Hatemi Reference Sendinc and Hatemi2023). However, can these results be generalized outside of the US? Also, these studies focus only on these specific traits, which raises the question of how important virtue versus non-virtue-related traits are in the recruitment funnel. Schumacher and Zettler (Reference Schumacher and Zettler2019) – so far the only candidate recruitment study using the HEXACO model – found that candidates for the Danish parliament self-report higher honesty-humility than the general population. It, however, remains unclear whether this pattern reflects self-selection (nascent ambition) or recruitment. We endeavor to uncover these different aspects of the recruitment process, relying on the comprehensive HEXACO personality model.
Theoretical framework: situation-trait-activation
Much of the research on personality and political ambition remains inductive (e.g., Dietrich et al., Reference Dietrich2012; Blais and Pruysers, Reference Blais and Pruysers2017; Scott and Medeiros, Reference Scott and Medeiros2020) or loosely links trait descriptions to the demands of political work. Allen and Cuts (Reference Allen and Cutts2018, p. 78), for instance, argue that ‘people high in extraversion [.] are outgoing and enjoy social interaction and [.] therefore […] the plethora of interpersonal encounters involved in running for political office will not deter them’. This reasoning implicitly links personality traits to characteristics of the political environment, but without a formal theoretical model.
To fill this void, we rely on perspectives proposing that both personality and the environment affect political behavior (Mondak et al., Reference Mondak2010; Arceneaux et al., Reference Arceneaux2025). Specifically, we utilize the situation-trait-activation theory developed to understand the rise of leaders within organizations (De Vries, Reference De Vries2018), a theory that applies, but is certainly not exclusive, to political organizations such as parties. This theory consists of two complementary mechanisms: situation-activation and trait-activation. Situation-activation refers to individuals being drawn to environments they perceive as compatible with their personality traits. In our context, this helps explain nascent ambition – the initial interest in political office. Trait-activation, in turn, refers to how specific situations or environments provide cues as to which latent personality traits an individual should express. Trait-activation also implies that political parties (and other organizations responsible for recruiting candidates) may select or recruit individuals who possess traits aligned with what they view as necessary for political success. Thus, our framework captures two stages of the recruitment funnel: individuals with certain traits self-select into politics (situation-activation), but whether they are recruited also depends on the traits deemed relevant by recruiters (trait-activation).
Our framework also aligns with the functional matching paradigm, which posits that individuals are more likely to be selected – and to succeed – when their traits match the perceived demands of the role (Tett and Burnett, Reference Tett and Burnett2003).
Hypotheses
Below, we link situation-activation to nascent ambition and trait-activation to candidate recruitment. For recruitment, we argue that a candidate’s honesty-humility poses an intuitive dilemma to recruiters, resulting in two competing sets of hypotheses about being asked to and actually running.
We begin with perhaps the more straightforward aspect of the link between honesty-humility and office holding, which is its relation to nascent ambition. Politics is often characterized as a domain of competition, conflict, and manipulation (Peterson and Palmer Reference Peterson and Palmer2022). From a situation-activation perspective, such an environment may particularly attract those low on honesty-humility. To recap, this trait comprises four facets: sincerity, fairness, greed avoidance, and modesty (Ashton and Lee, Reference Ashton and Lee2007). First, individuals low in sincerity are more comfortable with manipulation and self-preservation strategies (Ashton, Lee, and De Vries, Reference Ashton, Lee and De Vries2014). This could make activities like campaigning more attractive, where impression management is often key. Second, low fairness reflects a willingness to exploit others or society at large (ibid.). This may also involve grey areas of fairness, like selectively revealing information, bending procedural roles, or supporting allies over more qualified candidates. Such individuals may be drawn to politics precisely because political settings often contain such opportunities. Third, low greed avoidance aligns with the pursuit of power, status, and material gain (ibid.). Politics offers prominent rewards – power, visibility, and sometimes financial benefits – that may be particularly attractive to such individuals. Fourth, low modesty marks an inflated self-confidence and sense of entitlement (ibid.). Since nascent ambition often includes self-assessed qualifications and a belief in one’s potential to hold office (Fox and Lawless, Reference Fox and Lawless2005), low modesty may directly reinforce the perception that one is suited to political leadership. Last, the different facets also work in concert, where, for instance, manipulation and exploitation (low sincerity and fairness) are justified by an individual’s feelings of entitlement (low modesty) (Ashton and Lee, Reference Ashton and Lee2007).
Based on situation-activation, we may thus expect that individuals low on honesty-humility will be more attracted to a political career, implying higher scores on the two nascent ambition dimensions, i.e., having thought about running and deeming themselves qualified to run (see Fox and Lawless, Reference Fox and Lawless2005). This negative relationship between honesty-humility and nascent ambition is expressed in H1.1.
Honesty-Humility Hypothesis (H1.1): Higher honesty-humility is related to a lower likelihood that citizens have thought about running for a political office (H1a) and that they deem themselves qualified to run (H1b).
Turning to candidate recruitment, our data cannot distinguish between three distinct mechanisms: recruiter intent, individuals’ efforts at self-promotion, and – in case of candidacy – the propensity to accept invitations. Still, we interpret the pipeline to political recruitment as shaped by all three. Hence, certain personalities may be more likely to self-promote and accept invitations, but recruiters may (consciously or not) also have their own preferences for particular personalities.
Regarding the role of recruiters, we shift from situation-activation to trait-activation. As said, political recruiters may evaluate whether individuals possess the personality traits needed to successfully run for office (Tett and Burnett Reference Tett and Burnett2003; De Vries Reference De Vries2018). However, how being asked and actually running relates to honesty-humility is still poorly understood. Hence, we formulate two competing hypotheses: H.1.2 and H.1.3. High honesty-humility can be considered a character strength related to honesty, altruism, and justice (Lenzi, Reference Lenzi2023). Hence, those excelling in civic virtue could be perceived as better suited to advance the common good. Consequently, they may be asked the most to run for office by political parties or other organizations responsible for recruiting candidates.
Turning to parties as gatekeepers more specifically, given the correlation between low honesty-humility and unethical behavior (Ashton and Lee, Reference Ashton and Lee2008; De Vries et al., Reference De Vries2017), they have good reasons to avoid recruiting those low on this trait by not asking them to run and not selecting them to run if they step forward. Voters prefer politicians higher on honesty-humility than themselves (Aichholzer and Willmann, Reference Aichholzer and Willmann2020). Other research has also shown that voters generally find candidates less palatable if they score higher on the Dark Core, reflecting a candidate’s average score across the Dark Triad traits (Nai and Maier, Reference Nai and Maier2023). Moreover, the related concept of integrity was found to be an important marker of candidate quality (Mondak, Reference Mondak1995; Franchino and Zucchini, Reference Franchino and Zucchini2015). Awareness of this – whether implicit or explicit – should incentivize parties to seek candidates high on honesty-humility. They could use signaling (e.g., emphasize the societal relevance of political work), screening (e.g., integrity tests, recruiting from their rank and file), and commitment devices (e.g., loyalty pledges) to select such individuals (Ceva and Ferretti, Reference Ceva and Ferretti2021). Hence, even though those lower on honesty-humility may have more ambition (H1.1), based on this reasoning, people higher on honesty-humility might eventually be asked and selected to run for office.
Honesty-Humility Hypothesis (H1.2): Higher honesty-humility is related to a higher likelihood that citizens have been asked to run (H1c.1) and actually ran for a political office (H1d.1).
All of the above notwithstanding, people low on honesty-humility might still be seen as stereotypically more fit for office. First, low honesty-humility is associated with facets such as low sincerity and low modesty, which could predispose candidate recruiters observing such individuals to assume – and voice – that they will do well in political life: they may be perceived as better able to deal with the conflict and manipulation inherent to politics and to shine in campaigns (also see Peterson and Palmer, Reference Peterson and Palmer2021). Second, low humility – and especially low levels of modesty, one of its constituent facets – mirror self-confidence, and, similar to the argument outlined in Fox and Lawless (Reference Fox and Lawless2014), can also reinforce validation of one’s leadership qualities and precipitate encouragement to run by others. Third, despite the socially undesirable qualities associated with low honesty-humility, those involved in candidate recruitment might nevertheless see such traits as indicative of potentially effective (albeit lacking in scruples) future politicians, who might be more likely to serve the party well. This implies that trait-activation cues may not always function in a normatively desirable way: environments may reinforce or reward traits like low honesty-humility. Suggestive evidence on this is found in the literature documenting how men are far more frequently encouraged to run for office by party operatives compared to equally qualified women, often owing to reliance on gendered stereotypes of fitness for office that map directly onto those encompassing honesty-humility traits (Niven, Reference Niven1998; Crowder-Meyer, Reference Crowder-Meyer2013).
Finally, specifically relating to actually running for office, those low on honesty-humility may more favorably respond to invitations to run for office, either because they are more likely to espouse narcissistic tendencies (correlated with low honesty-humility) or because they are attracted to environments that enable or even encourage manipulative and dishonest conduct (also see Preece, Stoddard, and Fisher, Reference Preece, Stoddard and Fisher2016, for related types of differential responsiveness to recruitment messages; Pruysers and Blais, Reference Pruysers and Blais2017, Reference Pruysers and Blais2019). This alternative line of reasoning is supported by a study from the US reporting that individuals who self-report higher levels of grandiose narcissism – a trait partly correlated to honesty-humility – are more likely to run for office (Sendinc and Hatemi, Reference Sendinc and Hatemi2023). Hence, our competing hypothesis (H1.3) is as follows:
Honesty-Humility Hypothesis (H1.3): Higher honesty-humility is related to a lower likelihood that citizens have been encouraged to run (H1c.2) and actually ran for a political office (H1d.2).
These hypotheses form our study’s core. However, since our instrument measures additional traits as part of a conceptual whole, we also formulate hypotheses for three other personality traits where prior research supports directional expectations.
Starting with emotionality, which captures fearfulness and anxiety, the logic of situation-activation suggests that individuals high on this trait will find politics – an unpredictable and high-pressure environment (Weinberg, Reference Weinberg and Weinberg2012) – unappealing. Extant research confirms a negative correlation between emotionality and nascent ambition (Blais, Pruysers, and Chen, Reference Blais, Pruysers and Chen2019). Research on neuroticism, a closely related Big Five trait, also generally shows a negative association with nascent ambition (Allen and Cutts, Reference Allen and Cutts2018; Scott and Medeiros, Reference Scott and Medeiros2020; but see Dynes, Hassell, and Miles, Reference Dynes, Hassell and Miles2019) and other forms of political participation (Bromme, Rothmund, and Azevedo, Reference Bromme, Rothmund and Azevedo2022).
As regards recruitment, emotionality has a negative premium among voters (Aichholzer and Willmann, Reference Aichholzer and Willmann2020), making it less likely that parties or peers will encourage them or select them to run. In terms of trait-activation, political environments do not seem to offer cues that support or reward emotionality. Prior research also reveals that these people are less likely to respond to recruitment appeals (Pruysers and Blais, Reference Pruysers and Blais2019).
Emotionality Hypothesis (H2): Higher emotionality is related to a lower likelihood that citizens have thought about running (H2a), that they deem themselves qualified to run (H2b), that they have been encouraged to run (H2c), and that they actually ran for a political office (H2d).
Turning to extraversion, activities like campaigning and interacting with voters, mass media, and other public officials are more likely to attract the energetic and socially bold (situation-activation). This is echoed by empirical evidence of extraversion positively correlating with nascent ambition (Blais and Pruysers, Reference Blais and Pruysers2017; Allen and Cutts, Reference Allen and Cutts2018; Blais, Pruysers, and Chen, Reference Blais, Pruysers and Chen2019; Dynes, Hassell, and Miles, Reference Dynes, Hassell and Miles2019; Scott and Medeiros, Reference Scott and Medeiros2020) and other types of political participation (Bromme, Rothmund, and Azevedo, Reference Bromme, Rothmund and Azevedo2022). Voters also prefer extraverted candidates (Aichholzer and Willmann, Reference Aichholzer and Willmann2020), suggesting that recruiters may hold a preference for extraverted people (trait-activation).
Extraversion Hypothesis (H3): Higher extraversion is related to a higher likelihood that citizens have thought about running (H3a), that they deem themselves qualified to run (H3b), that they have been encouraged to run (H3c), and that they actually ran for a political office (H3d).
Last, people high on openness tend to seek novelty, intellectual stimulation, and new experiences (Ashton, Lee, and De Vries, Reference Ashton, Lee and De Vries2014). From a situation-activation perspective, politics – characterized by complexity and variety – may be particularly attractive to them. Empirical studies generally support a positive relationship between openness and nascent ambition (also see Allen and Cutts Reference Allen and Cutts2018; Blais and Pruysers Reference Blais and Pruysers2017; Scott and Medeiros Reference Scott and Medeiros2020; Dynes, Hassell, and Miles Reference Dynes, Hassell and Miles2019; but see Blais, Pruysers, and Chen Reference Blais, Pruysers and Chen2019) or engagement in other types of political activities (Bromme, Rothmund, and Azevedo, Reference Bromme, Rothmund and Azevedo2022). Regarding recruitment, voters tend to prefer politicians who are higher than themselves on openness (Aichholzer and Willmann, Reference Aichholzer and Willmann2020). Political environments may therefore provide trait-relevant cues that both invite and reward the expression of openness. Consequently, those high on this trait may also be perceived as suited for it and thus more likely to be encouraged or recruited (trait-activation).
Openness Hypothesis (H4): Higher openness to experience is related to a higher likelihood that citizens have thought about running (H4a), that they deem themselves qualified to run (H4b), that they have been encouraged to run (H4c), and that they actually ran for a political office (H4d).
Regarding the remaining traits, agreeableness and conscientiousness, the link with our dependent variables is less clear-cut. Agreeable people – gentle, comforting, and sympathetic – may be deterred by the incivility and conflict in politics (Allen and Cutts, Reference Allen and Cutts2018; Dynes, Hassell, and Miles, Reference Dynes, Hassell and Miles2019). Some studies indeed support that agreeableness negatively correlates with nascent ambition (Allen and Cutts, Reference Allen and Cutts2018; Dynes, Hassell, and Miles, Reference Dynes, Hassell and Miles2019; but see Blais, Pruysers, and Chen, Reference Blais, Pruysers and Chen2019; Scott and Medeiros, Reference Scott and Medeiros2020). Conversely, political roles also require collaboration and compromise (Flick Witzig and Vatter, Reference Flick Witzig and Vatter2024). Agreeable people might find this more enjoyable and be deemed better up to this task. These counteracting logics could explain why several studies report null findings regarding the association between agreeableness and nascent ambition (Blais and Pruysers, Reference Blais and Pruysers2017; Blais, Pruysers, and Chen, Reference Blais, Pruysers and Chen2019).
Formulating unequivocal expectations on conscientiousness, nascent ambition, and political recruitment is equally difficult. Conscientious individuals tend to have a strong sense of purpose, discipline, and long-term planning. These qualities may align with certain features of political work, such as the pursuit of policy goals. Simultaneously, however, conscientious people exhibit high risk aversion. Given the unpredictability of political careers, public scrutiny, and the likelihood of electoral failure, conscientious individuals may perceive politics as an excessively risky environment. These contrasting expectations are mirrored in empirical findings: some studies report a negative correlation with political ambition (Allen and Cutts, Reference Allen and Cutts2018; Dynes, Hassell, and Miles, Reference Dynes, Hassell and Miles2019), others find the opposite (Blais, Pruysers, and Chen, Reference Blais, Pruysers and Chen2019), or no significant relationship at all (Blais and Pruysers, Reference Blais and Pruysers2017; Scott and Medeiros, Reference Scott and Medeiros2020).
Given these mixed findings, we do not advance hypotheses for either agreeableness or conscientiousness. The data will reveal how these traits relate to nascent ambition and recruitment.
Data and methods
Data
To test our hypotheses, we conducted online surveys between February and May 2022 as part of the POLPOP project.Footnote 2 Within this larger project, five countries – Canada (N = 2312), Denmark (N = 2311), Israel (N = 2745), the Netherlands (N = 1942), and Switzerland (N = 2300) – fielded personality questions. These countries differ in their type of democracy (majoritarian versus proportional representation systems), emphasis placed on individual candidates (district competition versus party list), and degree of inter-party competition (Lijphart, Reference Lijphart1985). This variation may shape the types of personalities politics attracts, consistent with situation-trait-activation theory. For example, recent research suggests that Switzerland’s consensual democracy values agreeableness (Flick Witzig and Vatter, Reference Flick Witzig and Vatter2024). While the number of countries is too small to formally test hypotheses on institutional effects, the aforementioned study does suggest that testing our hypotheses across different national contexts is needed to explore potential heterogeneity in personality effects (also see Weinschenk, Reference Weinschenk2017). Simultaneously, some traits – especially honesty-humility – may operate similarly across systems, given the competitive and strategic nature of politics in general.
Survey respondents were recruited through the sample provider Dynata, using online non-probability samples. This approach offers practical advantages: cost-efficiency, timely cross-national fielding, and respondent diversity. Prior research suggests that quota-based non-probability samples can yield results comparable to probability-based samples in political behavior research (Ansolabehere and Schaffner, Reference Ansolabehere and Schaffner2014). Quotas were set for gender, age, and education. Since some groups (i.e., those with lower educational attainment and older individuals) were still underrepresented in our sample, throughout we apply probability weights on age, gender, education, and party choice in the latest elections to accurately approximate the electorates in the countries studied. As further detailed in the online Supporting Information (SI), due to missing data on individual personality items (see Section 3) and other independent variables like income (Section 2.2), the observation numbers in our core models (see notes in Figure 2) are somewhat lower than the original N by country reported at the top of this section. In the SI’s Section 3, we also provide other relevant details on the sample (response rates, fraudulent responses, etcetera).

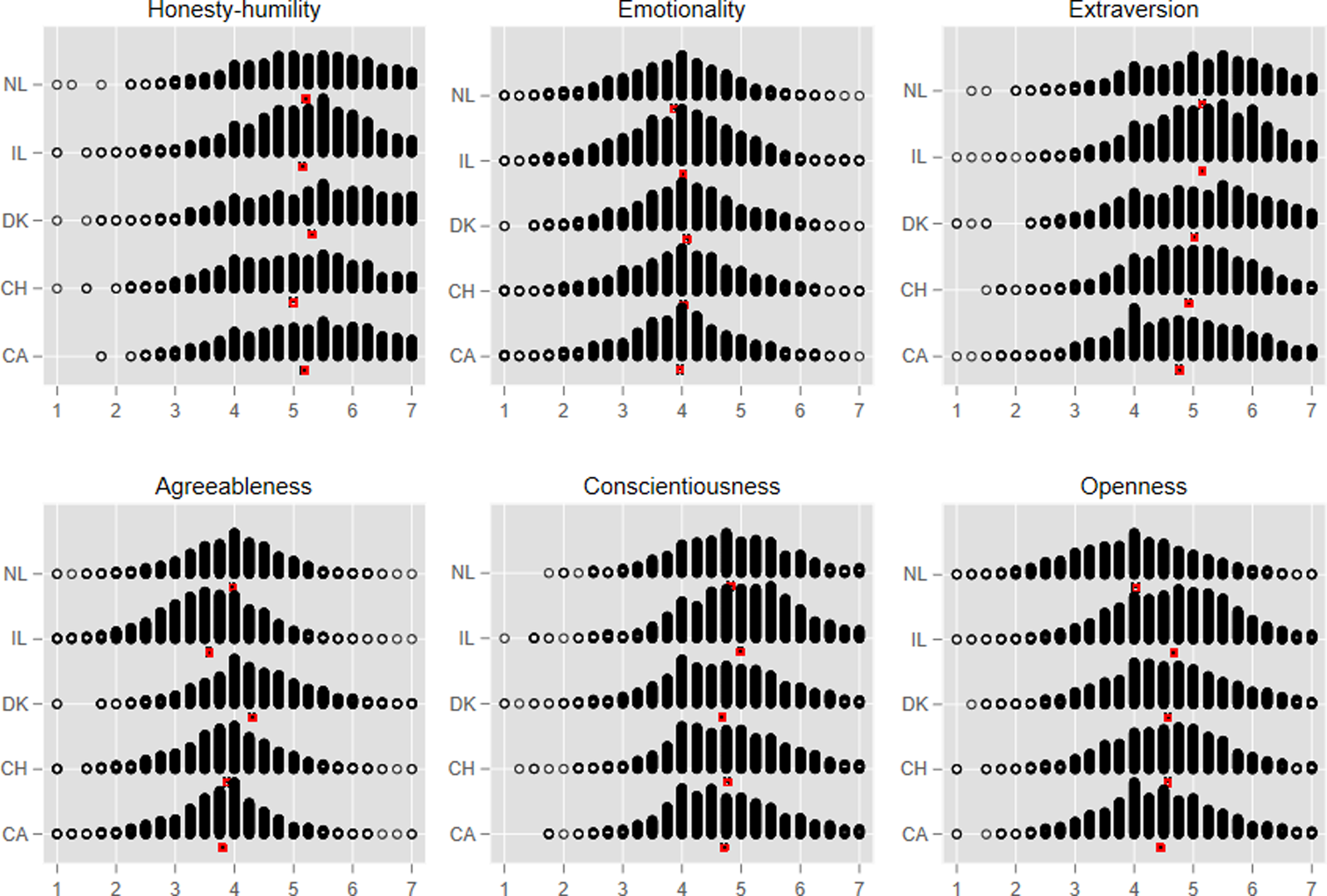
Figure 1. Distribution of HEXACO personality traits across countries.
Notes: The red dots below the distributions denote the average. NL = Netherlands, IL = Israel, DK = Denmark, CH = Switzerland, CA = Canada.

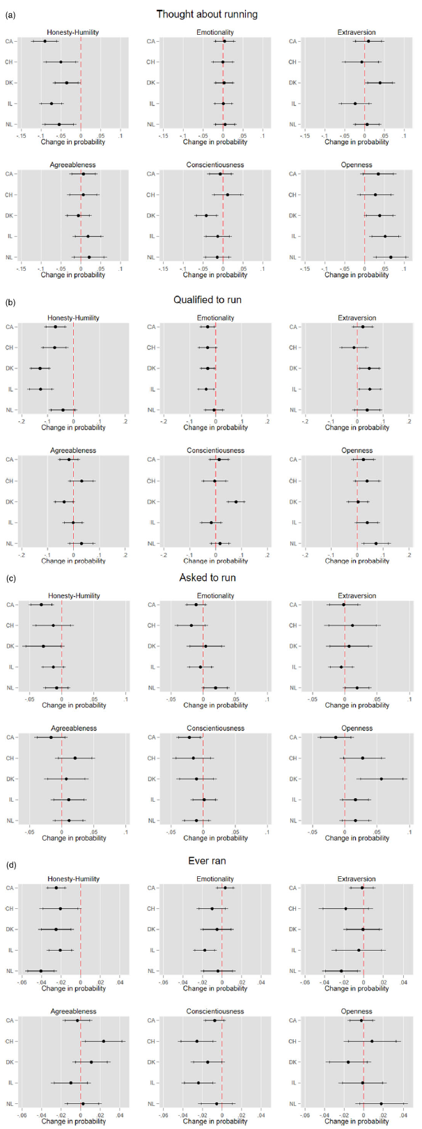
Figure 2. Evaluating the effects from the logistic regressions.
Notes: Values represent the change in the predicted probability of the outcome when a continuous independent variable increases along its interquartile range. For nominal variables (i.e., gender and foreign-born), we depict the difference in predicted probability when comparing the focal category against the reference category. Country fixed effects were included. 90% (inside brackets) and 95% (outside brackets) CI. Estimates based on the logistic regressions displayed in Table A4 of the SI. N is 7958, 7959, 7958, and 8483.
Variables
Our first dependent variable captures whether someone ever thought about running for political office (1. Never, 2. It crossed my mind, 3. Many times). Given the small number in the top category (225 cases, 2.25 percent), like the state-of-the-art (e.g., Blais and Pruysers, Reference Blais and Pruysers2017; Blais, Pruysers, and Chen, Reference Blais, Pruysers and Chen2019), we recoded this into a binary variable (1. Many times, or it crossed my mind; 0. Never). Our second dependent variable captures whether respondents deem themselves qualified to run. Originally measured on a four-point scale (1. Very qualified, 2. Qualified, 3. Somewhat qualified, 4. Not at all qualified), following extant research (e.g., Blais, Pruysers, and Chen, Reference Blais, Pruysers and Chen2019), we recoded it into a binary variable: those that deem themselves at least somewhat qualified (categories 1–3) versus those who do not (category 4). These two dependent variables reflect the two dimensions of nascent ambition (Fox and Lawless, Reference Fox and Lawless2005; Blais, Pruysers, and Chen, Reference Blais, Pruysers and Chen2019). Although binary coding is standard, we confirm in the SI (Section 2.1) that results are robust using the original scales.
Our remaining two dependent variables relate to political recruitment: whether respondents have ever been asked to run (1 = Yes, 0 = No) and actually ran for office (1 = Yes, 0 = No). With 599 and 773 positive cases, respectively, we meet the threshold of ten positive events per predictor (e.g., Vittinghoff and McCulloch, Reference Vittinghoff and McCulloch2007).
Our main independent variables constitute the HEXACO personality traits. To preserve survey space, we had to rely on the Brief HEXACO Inventory (BHI), consisting of 24 items: 4 per HEXACO domain (De Vries, Reference De Vries2013; also see Schumacher and Zettler, Reference Schumacher and Zettler2019). Though it takes only 2–3 minutes to complete, its alpha reliability is relatively low, as with most short personality measures. In Section 1.2 of the SI, we indeed report lower alpha reliabilities than Blais and Pruysers (Reference Blais and Pruysers2017), who relied on the 192-item HEXACO-PI in their nascent ambition study. That said, the validity loss is only modest because of its relatively high test-retest reliability, self-other agreement, and convergent validity with full-length measures (De Vries, Reference De Vries2013). Respondents had to indicate on a scale ranging from 1 (strongly disagree) to 7 (strongly agree) whether they agreed with a particular item. We reversed the scales for statements where agreement entails lower scores on a HEXACO trait. In the SI (Section 1.2), we list the 24 items. Confirmatory factor analysis reveals all items to have a positive factor loading. We calculated the respondents’ mean score over the four items belonging to each HEXACO domain.Footnote 3
Figure 1 displays the distribution of the HEXACO traits across countries. As should be, all traits are roughly normally distributed (Ashton and Lee, Reference Ashton and Lee2009). The slight left skew in honesty-humility may indicate some social desirability bias (Dunlop et al., Reference Dunlop2020). Nonetheless, the mean is only slightly higher than that of the arguably less virtue-related trait of extraversion (5.1 vs. 5), and the distribution remains approximately normal. We therefore find no evidence of serious bias – consistent with previous research showing that in an anonymous research context like ours, respondents provide trustful answers to honesty-humility inventories (Zettler et al., Reference Zettler2015).
We also include controls. First, given the observed gender gap in politics, where women are less likely to have nascent ambition (Fox and Lawless, Reference Fox and Lawless2005), less likely to be recruited to run for office (Fox and Lawless, Reference Fox and Lawless2010), and less likely to positively respond to any recruitment efforts (Preece and Stoddard, Reference Preece and Stoddard2015), we control for gender (female and non-binary versus male). Second, we control for age (e.g., Peterson and Palmer, Reference Peterson and Palmer2022). To gauge possible non-linear effects, we also include its square. Third, we consider whether the respondent was born in the country sampled (1. Yes, 0. No). Fourth, we control for income (recoded to ten deciles) (e.g., Fox and Lawless, Reference Fox and Lawless2005; Blais, Pruysers, and Chen, Reference Blais, Pruysers and Chen2019; Peterson and Palmer, Reference Peterson and Palmer2022). Fifth, we consider education (1. Primary, 2. Secondary, 3. Higher non-university, 4. University), as it is related to political participation (e.g., Persson, Reference Persson2015; Blais, Pruysers, and Chen, Reference Blais, Pruysers and Chen2019). Sixth, we control for political interest (ranging from 1. Not at all interested to 5. Very much interested) (e.g., Fox and Lawless, Reference Fox and Lawless2005; Blais, Pruysers, and Chen, Reference Blais, Pruysers and Chen2019). Seventh, we include the respondents’ ideological extremity (Peterson and Palmer, Reference Peterson and Palmer2022). Here, we subtracted the respondents’ self-placements (1. Left, 10. Right) from the scale’s midpoint. We adopted these controls based on nascent ambition studies. How they influence our other dependent variables remains an open question.
Estimation
All dependent variables are binary, so we specify logistic regressions. To account for country differences in political ambition and recruitment, we include country fixed effects. We also cluster the standard errors at the level of countries, as respondents from the same country might not be considered independent observations.
Results
How do HEXACO traits relate to nascent ambition and recruitment to political office? The SI’s Table A4 (Section 1.3) presents logistic regression results. Figure 2 visualizes these by showing the effect on the dependent variables in case of interquartile range (IQR) increase (i.e., from its 25th to its 75th percentile) in our continuous independent variables. For nominal variables, we simply show the difference in the predicted probability when a focal category is compared to a reference category (e.g., female versus male).
Starting with our core honesty-humility hypotheses (H1), remarkably, we consistently find that higher honesty-humility negatively correlates with each of our dependent variables. Thus, individuals lower in honesty-humility are more likely to consider running, feel more qualified, are more often asked, and actually run for office more. Hence, H1.1 and H1.3 are confirmed, but not H1.2. In terms of magnitude, an IQR increase in honesty-humility (i.e., from 4.5 to 6 on a seven-point scale) corresponds to a 6 percent decrease in the chance of having thought about running, a 9 percent decrease in the chance of feeling qualified to run, a 2 percent decrease in the chance of having been asked to run, and finally, a 3 percent decrease in the chance of actually having run. As shown by the confidence intervals, all effects are statistically significant (p < .05).
First, our findings suggest patterns observed in North America – where lower honesty-humility (Blais, Pruysers, and Chen, Reference Blais, Pruysers and Chen2019) and related Dark Triad traits are linked to higher nascent ambition (Peterson and Palmer, Reference Peterson and Palmer2021) – generalize across diverse political systems. Furthermore, the underrepresentation of honesty-humility among the politically ambitious is mirrored in parties’ recruitment efforts. While the IQR effects on being asked and having run appear relatively modest (2 and 3 percent, respectively), they reflect only a shift from 4.5 to 6 on the 7-point honesty-humility scale. Figure 3 illustrates the predicted probabilities across the full trait range, showing more substantial differences: the propensity that someone thought about running decreases from 38 (for lowest honesty-humility) to 13 percent (for highest honesty-humility), while feeling qualified even decreases from 65 (for lowest honesty-humility) to 29 percent (for highest honesty-humility). As for recruitment, the propensity of being asked decreases from 14 (for the lowest honesty-humility) to 6 percent (for the highest honesty-humility). And the chance of actually running is reduced from 21 (for the lowest honesty-humility) to 2 percent (for the highest honesty-humility). These effects on recruitment, then, are also substantial.Footnote 4

Figure 3. Predicted probabilities of honesty-humility.
Notes: Values represent the predicted probability of the outcome when honesty-humility increases along its range. 95% CI. Estimates are based on the logistic regressions displayed in Table A4 of the SI.
Turning to the other personality traits, an IQR increase in emotionality (from 4.5 to 6) is associated with a significant decrease in respondents’ feeling qualified to run (H2b), though it has no effect on other outcomes. This differs from Blais et al. (Reference Blais, Pruysers and Chen2019), who found a negative link with having thought about running, but not with self-perceived qualification. Still, since both are nascent ambition dimensions, our results broadly align with this and prior research showing that Big Five neuroticism (a trait very similar to HEXACO emotionality) correlates with decreases in nascent ambition (Allen and Cutts, Reference Allen and Cutts2018; Dynes, Hassell, and Miles, Reference Dynes, Hassell and Miles2019; Scott and Medeiros, Reference Scott and Medeiros2020).
Next, an extraversion increase along its IQR (from 4.25 to 5.75) correlates with a significant increase in citizens feeling qualified to run (H3b), but not with having thought about running (H3a). This is the reverse of what research typically finds (Blais and Pruysers, Reference Blais and Pruysers2017; Allen and Cutts, Reference Allen and Cutts2018; Blais, Pruysers, and Chen, Reference Blais, Pruysers and Chen2019; Dynes, Hassell, and Miles, Reference Dynes, Hassell and Miles2019). More unexpectedly, the IQR increase in extraversion is associated with a significant 2 percent decrease in actually having run (p < .05). One would expect extraversion to benefit political work. Yet, as further discussed below, our data likely reflects many candidacies for lower-level offices, where traits like extraversion may matter less due to limited public and media exposure.
Last, our findings on openness align more with extant research: it is positively associated with increases in having thought about running (H4a) (also see Blais and Pruysers, Reference Blais and Pruysers2017; Allen and Cutts, Reference Allen and Cutts2018; Dynes, Hassell, and Miles, Reference Dynes, Hassell and Miles2019; Scott and Medeiros, Reference Scott and Medeiros2020), feeling qualified to run (H4b), and having been asked to run (H4c). However, the relationship with actually running fails to reach statistical significance (H4d).
Among traits without specific hypotheses: contrary to earlier HEXACO studies that found no effect (Blais and Pruysers, Reference Blais and Pruysers2017; Blais, Pruysers, and Chen, Reference Blais, Pruysers and Chen2019), more agreeable citizens are more likely to have thought about running for office, been asked, and actually run (p < .10). This contrasts with Big Five research showing negative associations with nascent ambition (Allen and Cutts, Reference Allen and Cutts2018; Dynes, Hassell, and Miles, Reference Dynes, Hassell and Miles2019). One possible explanation lies in trait composition: unlike its Big Five counterpart, HEXACO agreeableness includes anger, which is part of neuroticism in the Big Five model (Ashton and Lee, Reference Ashton and Lee2007). Thus, parties may favor candidates who manage anger well, and such individuals may also have higher ambition.
Conscientiousness, in turn, is related to decreases in being asked and actually running. This may reflect risk aversion and discomfort with political unpredictability often seen in conscientious individuals (Dynes, Hassell, and Miles, Reference Dynes, Hassell and Miles2019).
Regarding the controls, we replicate the well-documented gender gap in political ambition (Fox and Lawless, Reference Fox and Lawless2005): women are significantly less likely than men to have thought about or feel qualified to run: 7 percent and 13 percent, respectively. Consistent with Fox and Lawless (Reference Fox and Lawless2010), women are also less likely to have been asked to run (3 percentage points) and to have actually run (2 percentage points). Inconsistent with previous studies (e.g., Blais, Pruysers, and Chen, Reference Blais, Pruysers and Chen2019), our results highlight a clear education gap in political ambition and recruitment. Finally, and unsurprisingly, political interest is a consistent positive predictor across all outcomes.
Additional analyses
We conducted several additional tests. First, we examined the association between the HEXACO traits and our four dependent variables by country. As shown in Figure 4A, the negative relationship between honesty-humility and having thought about running is significant in each country. Figure 4B shows that the negative relationship with feeling qualified is significant in all countries but the Netherlands (even though the relationship is substantively similar). Figure 4C shows consistent negative correlations with being asked to run, though effects are insignificant in most countries. Given the rarity of these events (e.g., only 64 respondents in Canada were ever asked to run), we replicated the analysis using rare event models (Figure A1, SI), which show the association becomes significant in four out of five countries. Figure 4D shows that actually running for office is significantly and negatively associated with honesty-humility in all five countries – an effect that holds in rare-event models as well. These findings strikingly demonstrate that honesty-humility consistently predicts lower ambition and recruitment across diverse political systems. This cannot be said about most of the other personality traits. Only openness also has a relatively consistent relationship with our outcome variables.

Figure 4. Evaluating the effects within countries.
Notes: Values represent the change in the predicted probability of the outcome when a personality trait increases along its interquartile range. 90% (inside brackets) and 95% (outside brackets) CI. NL = Netherlands, IL = Israel, DK = Denmark, CH = Switzerland, CA = Canada.
Second, we examined possible curvilinear effects on personality traits, focusing mostly on the possibility of a U-shaped association between honesty-humility and ambition, where both individuals low and high on honesty-humility would be more politically ambitious or more likely recruited than those with middle values of the trait. Figure 5 shows that this is not the case: the negative effect of honesty-humility on the propensity of having run diminishes at higher levels of honesty-humility, suggesting that running for office is specifically predicted by individuals having very low levels of honesty-humility. Additional analyses (Figures A2–A6, SI) suggest that other traits may also have nonlinear effects on some outcomes.

Figure 5. Testing for curvilinear effects.
Notes: Values represent the predicted probability of the outcome when honesty-humility increases along its range. 95% CI.
For more information on these and other robustness checks, see the SI.
Conclusion and discussion
Based on novel data collected in five countries, we demonstrate that honesty-humility is associated with propensity decreases that citizens have considered, feel qualified for, were asked for, and actually ran for a political office. Together, these dependent variables uncover several essential mechanisms behind the candidate recruitment process. Assuming that ambitious individuals will put themselves in a better position to be recruited, our findings could imply that citizens with lower levels of honesty-humility are more likely to step forward as candidates due to their higher levels of nascent ambition and that they are more likely to be recruited by political parties.
This carries significant scientific weight. First, we demonstrate the generalizability of prior North American research linking virtue-related traits and nascent ambition (Blais and Pruysers, Reference Blais and Pruysers2017; Blais, Pruysers, and Chen, Reference Blais, Pruysers and Chen2019; Peterson and Palmer, Reference Peterson and Palmer2022). We show that similar patterns hold for countries with very different political systems. Second, we are the first to show that citizens lower in honesty-humility are not only more ambitious but also more likely to be asked and to actually run for office. While recent evidence links candidacy to narcissism in the US (Sendinc and Hatemi, Reference Sendinc and Hatemi2023), we extend this to the broader trait of honesty-humility, which, alongside its modesty facet correlated with narcissism (Howard and Van Zandt, Reference Howard and Van Zandt2020), also contains sincerity, fairness, and greed avoidance. Our results thus paint an even darker picture of the personalities drawn into political life. Overall, by applying a personality model that spans the full human trait domain, we show that both ambition and recruitment are rooted in the malevolent trait of low honesty-humility and much less in other dimensions of human personality – a pattern robust across political systems.
Despite these contributions, our study also has limitations, opening avenues for future research. First, we should be cautious in making causal claims. Associations between personality traits, on the one hand, and nascent ambition and recruitment, on the other hand, can point to three causal mechanisms: (1) certain personality traits foster/hinder political ambition and recruitment; (2) political ambition and recruitment impact political candidates’ personality; (3) a mediator variable not accounted for explains both the personality and political ambition. Even though the stability of personality traits over time has been debated (Costa Jr., McCrae, and Löckenhoff 2019), a vast majority of studies demonstrates a high stability indeed. Recently, Briley and Tucker-Drob (Reference Briley and Tucker-Drob2014) have argued, based on longitudinal twin and sibling studies, that genetic influences on personality traits show increasing stability up to approximately age 30; thereafter, they become perfectly stable. Since candidates older than 30 are still overrepresented among political candidates (Roberts and Wolak, Reference Roberts and Wolak2023), we deem it more plausible that personality traits predict political ambition and recruitment rather than vice versa. Still, panel designs, for instance, based on a sample of politically ambitious citizens, would be better equipped to show whether and how personality traits predict political recruitment over time. Such a design would also allow exploring if and to what extent engagement in politics changes personality traits.
Second, while our hypotheses were grounded in situation-trait-activation theory, we could not directly observe how perceptions regarding the demands of political work mediate or moderate the relationship between personality and ambition or recruitment (for a discussion, see Mondak et al., Reference Mondak2010; Arceneaux et al., Reference Arceneaux2025). Future research – particularly using experimental designs – could address this gap. For instance, recruiters could be asked to evaluate different candidates where the treatments highlight different aspects of political work. Such a design could also answer why we find that citizens lower on honesty-humility are more likely to be recruited. Is this because recruiters actually prefer them, or is this also due to other reasons, like less honest and humble citizens being able to place themselves in a better position to be recruited? Alternative explanations may include recruiters’ inability to detect these traits or that citizens low on honesty-humility respond more favorably to recruitment appeals. These questions beg further research.
Third, we lacked survey space to ask which office respondents ran for and whether they were elected. Not knowing which office makes it more difficult to compare our results with Schumacher and Zettler (Reference Schumacher and Zettler2019), who report high self-declared honesty-humility among a pooled sample containing both elected and non-elected candidates for the Danish national parliament. Our contrasting result may reflect differences in survey mode: elite surveys are prone to social desirability bias (Bundi et al., Reference Bundi2018), the method used by Schumacher and Zettler (Reference Schumacher and Zettler2019), while anonymous, low-demand settings like ours typically elicit more honest responses to virtue-related items (Zettler et al., Reference Zettler2015). Still, without knowing the level of office, we assume most respondents ran for lower-level positions, as the likelihood of national candidacy is much smaller. In the SI (Section 2.5), we show that citizen candidates in our sample are less educated than national MPs in the five countries studied, reinforcing the notion that our findings mostly reflect subnational political participation. Therefore, an alternative explanation for the paradox with the Danish study could be that candidates low on honesty-humility may have a higher presence in lower-level politics, but that they are eventually deselected on their way up to the national parliament.
Are our empirical findings good or bad news for democracy? The answer to this normative question depends upon the political philosophy and democratic theory used as a reference. A neo-Aristotelian approach will emphasize ‘virtue ethics’ (e.g., Nussbaum, Reference Nussbaum2019): if a political community wishes to promote the good life, those excelling in civic virtue should be elected into office. That honesty-humility negatively correlates with political ambition and running for office may thus be interpreted as strongly disappointing from a virtue-ethics perspective. This may encourage rethinking current policies of democratic civic education. Public institutions like schools, associations, or political parties and their youth wings could act to cultivate citizens’ virtuous dispositions and to improve the character of those who run for office.
Whereas the virtue-ethics framework emphasizes the need for virtuous persons in public office, the liberal democratic approach emphasizes the importance of accountable institutions. For instance, the ‘ethics of office accountability’ (Ceva and Ferretti, Reference Ceva and Ferretti2021) urges looking at how institutional processes can strengthen people’s normative commitments to the public interest. According to this perspective, scouting more virtuous personalities would not necessarily be needed. Concrete tools – the efficacy of which merits separate investigation – include commitment mechanisms like asking candidates for office to sign loyalty pledges. As monitoring devices, one can think of codes of ethical conduct, developing internal audit procedures or channels for whistleblowing, introducing a register of lobbyists, etc. (Ceva and Ferretti, Reference Ceva and Ferretti2021). Still, even in institutionalized settings like those with strong party discipline, individual traits like honesty-humility may continue to shape informal behavior, influence internal norms, or surface in instances of misconduct or scandal. Individual agency also remains an important factor in the creation of party institutions.
In sum, we do not offer a definitive answer as to whether individual vices should be addressed by improving the virtue of those in office or by developing institutions constraining those low on virtue. We leave this question open for future normative studies. Given that citizens prefer politicians higher in honesty-humility (Aichholzer and Willmann, Reference Aichholzer and Willmann2020), that exposure to ‘dark’ politicians fosters political cynicism (Nai and Maier, Reference Nai and Maier2023), and that dark traits are linked to unethical behavior in office (Watts et al., Reference Watts2013), a debate on potential cures is clearly warranted.
Supplementary material
The supplementary material for this article can be found at https://doi.org/10.1017/S1475676525100224.
Data availability statement
The data and code necessary to replicate the analyses presented in the manuscript and Supporting Information (SI) have been submitted to the European Journal of Political Research.
Acknowledgements
A previous draft has been presented at the 2023 ‘Politicologenetmaal’ (Annual Political Science Workshops of the Low Countries) in Leuven, Belgium. We thank the participants in this event as well as the three anonymous reviewers for their insightful comments. Finally, we would like to express our gratitude to the ‘Antwerp team’ for their excellent coordination of the POLPOP project, the larger international collaboration of which the data used in this paper is part (see footnote 2).
Funding statement
The survey data analyzed in this paper is part of the project ‘How politicians evaluate public opinion (POLEVPOP)’, colloquially known as ‘POLPOL II’ and supported by an ERC Advanced Grant (agreement ID: 101018105), and hosted by the University of Antwerp.
Marc van de Wardt’s research project ‘SURVIVOR’. Uncovering the selection process of political elites in Europe is supported by a Vidi research grant from The Dutch Research Council NWO (grant number: VI.Vidi.221R.037).
Support for the Danish data collection/research was provided by the Danish Council for Independent Research (DFF) (Project No. 0133-00034B). Open access funding provided by Vrije Universiteit Amsterdam
Competing interests
The authors declare no competing interests.
Ethics approval statement
Ethical approval for conducting the citizen survey was obtained from the Ethics Committee for the Social Sciences and Humanities from the University of Antwerp on 21 February 2022 (approval number: SHW_22_032). The University of Antwerp coordinated data collection in all the different countries. As the data collection was anonymous, this posed no problems regarding data protection or ethical considerations.
Permission to reproduce material from other sources
Not applicable.