Introduction
Quality standards are being increasingly used to analyze the functioning of different health care services, including primary care (Choi, Reference Choi2016). In Catalonia, an autonomous region of Spain, two quality indicator systems are used to assess prescribing practices in relation to the appropriate use of drugs: the Pharmaceutical Prescription Quality Index (IQF) (Catalan Ministry of health, 2016), created in 1999, and the Pharmaceutical Prescription Quality Standard (EQPF) (Catalan Ministry of Health, 2017), created in 2003.
The EQPF was designed to incentivize better prescription of drugs in primary care practice. The quality criteria and indicators are supported by scientific evidence (Gilabert-Perramon, Reference Gilabert-Perramon, López-Calahorra, Escoda-Geli and Salvadó-Trias2010) and are designed for multidisciplinary teams with the aim of increasing the use of the most cost-effective drugs and ultimately reducing the enormous variability associated with the treatment of the most common diseases dealt with in primary care.
Choice of treatment can logically influence the course or outcome of a disease (Cebrià, Reference Cebrià, Sobrequés, Rodríguez and Segura2003). The same applies to treatment adherence, which has been directly linked to doctor–patient communication (Kerasidou and Horn, Reference Kerasidou and Horn2016). Several studies (Yuguero et al., Reference Yuguero, Serna, Real, Riu and Godoy2012) have shown that patient-oriented attitudes and communication skills play an important role in improving adherence to treatment and bringing about lifestyle changes. Other studies, in turn, have evaluated the impact of the work climate and prescribing practices on quality of care (De Dios, Reference de Dios del Valle and Franco Vidal2007; Pandraud-Riguet, Reference Pandraud-Riguet, Bonnet-Zamponi, Bourcier, Buyse, Laribe-Caget, Frémont, Pautas, Verny, Hindlet and Fernandez2017; Yuguero et al., Reference Yuguero, Marsal, Esquerda and Soler-González2017b).
Empathy, which is the ability to understand another person’s feelings and thoughts and to communicate that understanding (Hojat et al., Reference Hojat, Gonella, Nasca, Mangione, Vergare and Magee2002b), has been described as a modulator of doctor–patient communication. Empathic engagement by health care professionals has been linked to multiple benefits for the patient, including better communication (Zachariae, Reference Zachariae, Pedersen, Jensen, Ehrnrooth, Rossen and von der Maase2003) and higher levels of satisfaction and treatment adherence (Kelley et al., Reference Kelley, Kraft-Todd, Schapira, Kossowsky and Riess2014). In Spain, resident programs in family and community medicine and nursing include specific training (with defined objectives) in professionalism, communication skills, and empathy (Spanish Ministry of Health, 2005).
Physician burnout (Maslach et al., Reference Maslach, Schaufeli and Leiter2001) can also affect doctor–patient communication (Medscape, 2017) and, consequently, quality of care (Shanafelt et al., Reference Shanafelt, Hasan, Drybye, Sinsky, Satele, Sloan and West2015), and it appears to be a growing problem as physicians and other health care professionals are increasingly exposed to greater workloads and social pressure (Shanafelt, Reference Shanafelt2009). Burnout has also been described in medical students (Brazeau et al., Reference Brazeau, Schroeder, Rovi and Boyd2010) and residents (Leiter et al., Reference Leiter, Hakanen, Ahola, Toppinen-Tanner, Koskinen and Väänänen2013; Kwah et al., Reference Kwah, Weintraub, Fallar and Ripp2016).
The burnout syndrome described by Maslach is measured in three dimensions: emotional exhaustion, personal accomplishment, and depersonalization (Maslach and Jackson, Reference Maslach and Jackson1981). Burned-out physicians show greater fatigue and cynicism (Portoghese et al., Reference Portoghese, Galletta, Coppola, Finco and Campagna2014), as well as a poorer understanding of their patients’ needs (West et al., Reference West, Dyrbye and Shanafelt2018), and this can have a negative impact on communication and patient management (Colville, Reference Colville2018).
Our group has undertaken several studies to analyze the impact of burnout and empathy among general practitioners (GPs) and nurses on different aspects of primary care practice (Yuguero et al., Reference Yuguero, Forné, Esquerda, Pifarré, Abadías and Viñas2017a). Moreover, this relation between empathy and burnout has also been described in other countries (Sun et al., Reference Sun, Chaitoff, Hu, Neuendorf, Manne and Rothberg2017; Pedersen et al., Reference Pedersen, Ingeman and Vedsted2018) and in other health care groups among emergency professionals (Yuguero et al., Reference Yuguero, Forné, Esquerda, Pifarré, Abadías and Viñas2017a), psychiatrists (Bentley et al., Reference Bentley, Kaplan and Mokonogho2018) and intensive care professionals (van Mol et al., Reference van Mol, Kompanje, Benoit, Bakker and Nijkamp2015). In all cases, high empathy has been described as a contributing factor of burnout prevention.
The principal goal of the present study was to investigate the association between levels of burnout and empathy among GPs and prescribing practices based on the EQPF pharmaceutical prescription quality standard. The secondary objectives are to describe this association according to gender, age, and place of work. Until now, studies linked to empathy and burnout of health professionals have been oriented toward clinical problems (West et al., Reference West, Dyrbye and Shanafelt2018), but we believe that we must look further and seek the implications in management. Our main hypothesis is that more empathic professionals, with less burnout, prescribe better. This is in reference to prescribing drugs when the patient requires them and following the scientific recommendations, and not influenced by the economic interests of the pharmaceutical industry. We also consider whether there are any differences in terms of gender or age. Regarding age, we take into account that in our country, many training activities for younger people are financed by the pharmaceutical industry and a prescription may be expected in exchange.
Materials and methods
Participants and study design
We conducted a descriptive study with volunteer participants from the Catalan health care region of Lleida, which has 22 primary care centers serving a population of approximately 366 000 people. All GPs working at these centers (205 people) were contacted by email and asked to complete surveys between May and July 2014 on burnout and empathy. The overall response rate was 52.6%. In this study, we analyze the answers provided by 108 GPs with 183 600 patients under their care. All results were anonymized to ensure confidentiality.
Instruments and variables
Burnout evaluation
Degree of burnout was measured using the Spanish version of the Maslach Burnout Inventory (MBI). This version has been validated (Maslach and Jackson, Reference Maslach and Jackson1987; Gil-Monte, Reference Gil-Monte2005), and used in previous studies (Yuguero et al., Reference Yuguero, Esquerda, Marsal and Soler-González2015; Fernández-Sanchez et al., Reference Fernández-Sánchez, Pérez-Mármol, Blásquez, Santos-Ruiz and Peralta-Ramírez2017). The MBI is used to measure stress and burnout in a work environment and contains 22 items scored on a 7-point Likert scale on which responses range from never (score of 0) to every day (score of 6). The MBI includes three subscales: emotional exhaustion (MBI-EE), depersonalization (MBI-DP), and personal accomplishment (MBI-PA). Higher scores for MBI-EE and MBI-DP indicate higher levels of burnout. The opposite, however, is true for MBI-PA, where lower scores are associated with higher burnout (Álvarez Gallego and Fernández Ríos, Reference Álvarez Gallego and Fernández Ríos2001).
The GPs were classified into low, medium, or high burnout groups based on their scores on the three subscales and the MBI as a whole. The cutoff scores used for the three subscales were as follows: <22 (low), 22–31 (medium), and >31 (high) for MBI-EE; <7 (low), 7–13 (medium), and >13 (high) for MBI-DP; and <30 (low), 30–35 (medium), and >35 (high) for MBI-PA. These are the cutoffs indicated by the authors of the original questionnaire.
Empathy evaluation
Empathy was measured using the Spanish version of the Jefferson Scale for Physician Empathy (JSPE)(Alcorta-Garza et al., Reference Alcorta-Garza, González-Guerrero and Tavitas-Herrera2005), a validated 20-item scale recognized as the gold standard for measuring medical empathy (Hojat et al., Reference Hojat, Gonnella and Nasca2002a). An example item from the scale is ‘My patients feel better when I understand their feelings’. In the JSPE, respondents indicate how strongly they agree with each item on a scale of 1–7. Higher scores indicate greater empathy.
The GPs were also divided into three groups according to their level of empathy (low, medium, or high), but in this case there were no pre-established cutoffs. The average empathy score is considered to lie around 120 (Hojat et al., Reference Hojat, Gonnella and Nasca2002a) points and we followed previous strategies of classifying empathy levels as high for mean scores plus 2 SDs and as low for mean scores minus 2 SDs.
Evaluation of drug prescribing quality
The EQPF has two sections: an overall section that very general assesses quality criteria (such as the use of new drugs), and a specific section that assesses aspects related to drug prioritization and use for certain diseases. Each section contains indirect indicators obtained from billing data for drugs dispensed by the Catalan Government (CatSalut).
For each indicator, a numerical target is scored based on the values of the best positioned GPs in all Catalonia. That is, based on the score obtained by professionals who prescribe more appropriately, the scores for evaluating all professionals are established. The achievement of each target is scored and weighted according to its relevance and difficulty. The scores for each section are added up and the total possible score for the area of family and community medicine ranges from 0 to 100. Table 1 shows the full list of indicators used in the EQPF.
Table 1. EQPF pharmaceutical prescription quality standard indicators

a Indicators column shows the global indicator for the whole EQPF, and specific indicators are related with drug prescription in specific diseases established by the Catalan Health Institute (ICS), using percentage of recommend drugs in each case.
b This column refers to the target established by the ICS to evaluate each indicator. For each indicator there are different options of achievement, that is, in the global indicator, the ICS has established as the gold standard to prescribe less than 1% of non-recommended drugs. However, professionals can obtain less than 1.2% or less than 1.5% of non-recommended drug prescriptions.
c Depending on their achievement, they will obtain different scores. If the minimum score is not achieved, 0 points are obtained. Scores obtained depend on achievement.
EQPF = Pharmaceutical Prescription Quality Standard; ARBs = angiotensin II receptor blockers; ACE = angiotensin-converting enzyme; PPIs = proton-pump inhibitors; NSAIDs = nonsteroidal anti-inflammatory drugs; COPD = chronic obstructive pulmonary disease.
The EQPF was created to evaluate the quality of prescribing practices in primary care (Amado et al., Reference Amado, Madridejos, Pérez and Puig2000) and is endorsed by the Pharmacy Commission of the Catalan Health Institute (ICS). It is subject to continuous review and its criteria and results have contributed to the creation of common Drug Therapeutic Guidelines for the entire ICS. Pharmacological prescription is electronic in Catalonia, and most prescriptions are linked to a single GP, facilitating the study of different links between patients and specific GPs (Gilabert-Perramon, Reference Gilabert-Perramon, López-Calahorra, Escoda-Geli and Salvadó-Trias2010).
We recorded individual EQPF scores for 2014 obtained by the GPs who completed the burnout and empathy surveys.
Other variables
The following sociodemographic data were recorded: age, sex, and place of work classified as urban (center located in the capital) or rural.
Data analysis
The initial analysis consisted of a descriptive study of the categorical variables and the results obtained for the MBI, JSPE, and EQPF. The reliability of the instruments was tested by calculating Cronbach’s α, which was 0.733 for the MBI and 0.748 for the JSPE. The Chi-square and Kolmogorov–Smirnov–Lilliefors tests were used to check the normal distribution of the questionnaire scores. The distributions of the variables are not distributed as a normal distribution, so we decided to use a nonparametric test. In order to analyze the association between the sociodemographic variables and JSPE, MBI, and EQPF scores, the results were grouped into three categories (low, medium, and high) following a previously described system (Yuguero et al., Reference Yuguero, Marsal, Esquerda and Soler-González2017b). Categorical data were described using absolute and relative frequencies. Numerical data were described using means and standard deviation. The Kruskal–Wallis or the Mann–Whitney nonparametric test was used depending on the number of categories. The effect of empathy (JSPE) and burnout (MBI) in the EQPF was assessed using linear regression while the effect of the other characteristics on empathy was assessed using logistic regression. Since our sample consists of volunteer doctors, there may be a certain selection bias. Our hypothesis is that the physicians evaluated could achieve a better empathy score, but we do not dare to give our opinion in the case of burnout. As the work guaranteed total anonymity, we cannot perform qualitative work on those professionals in order to look more deeply into the reasons that lead our professionals to prescribe differently. We have carried out different statistical analyses in order to evaluate the presence of other factors that may explain the results. However, we have not detected the presence of other confounding factors.
Also, a correlation analysis of Spearman’s Rho was performed and a linear regression model was adjusted. Results are shown in Table 2.
Table 2. Correlation and linear effect between EQPF and MBI and JSPE

EQPF = Pharmaceutical Prescription Quality Standard; MBI = Maslach Burnout Inventory; JSPE = Jefferson Scale for Physician Empathy
The size of the effect in Table 3 has been assessed using the crude OR with a 95% confidence interval, and relative risk (95%CI) in Tables 4 and 5.
Table 3. Professional burnout according to GPs’ empathy levels

JSPE = Jefferson Scale for Physician Empathy; MBI = Maslach Burnout Inventory
Table 4. Drug prescription according to GP empathy levels

JSPE = Jefferson Scale for Physician Empathy
Table 5. Drug prescription according to GP burnout levels

MBI = Maslach Burnout Inventory
All results are presented with 95% CIs. All analyses were performed using the SPSS (v. 15) and statistical significance was established at P < 0.05.
Results
Quality of prescription and sociodemographic variables
We obtained data on 108 GPs. The sample consisted of 69 women (63.9%) and the mean age was 49.2 years. Of these professionals, 54.65% are working in rural areas. The mean EQPF score was 55.2 points, with older GPs scoring significantly higher (P < 0.05). GPs with a high EQPF score had a mean age of 49.8 years, while those with a low score had a mean age of 46.8 years. No significant associations were observed between EQPF scores and gender or place of work.
The results for the association between empathy and burnout scores are shown in Table 3. High empathy is associated with low burnout (P < 0.05). There are no significant differences in relation with gender, age, or place of work.
Empathy and quality of prescription
Empathy scores were high for 43 GPs (39.9%) and medium or low for 65 (60.1%). GPs with high empathy scored better in the EQPF, but the differences were not significant (P = 0.072). In addition, there was a positive association between high empathy and a high EQPF score (OR = 1.02). Neither the correlation analysis nor the linear regression model displayed any statistically significant differences. Spearman’s correlation, in terms of burnout score, reveals that in addition it scores lower in the EQPF but not significantly (P = 0.474). Regarding the burnout scale, it is observed that for each point increase in the MBI scale, the EQPF descends on average 0.102 points (not significantly).
Figure 1 shows the trends for prescribing quality as a function of empathy, with an evident upward trend. Professionals with high empathy obtain higher scores in the EQPF.

Figure 1. EQPF results according to GPs’ empathy levels. Trends observed for prescribing quality according to empathy. Professionals with high empathy obtain better results in the EQPF.
The EQPF can be disaggregated by diagnoses. Three indicators, for example, are used to assess prescribing quality for hypertensive patients. The indicators used for diabetes and dyslipidemia are percentages of recommended drugs for these disorders. As can be seen in Table 4, compared with GPs with low or moderate empathy, GPs with high empathy scored higher in percentage of diuretics and percentage of recommended hypertension treatments but lower in percentage of angiotensin receptor blockers.
Burnout and quality of prescription
Just over half of the GPs (55.56%) had low burnout. There appeared to be an association, albeit without statistical significance, between burnout and prescribing quality, as the lower the level of burnout, the higher the EQPF score.
The statistical analysis of correlation and regression also shows that higher empathy increases the EQPF score (though not significantly) (see Table 2). It is also determined that a one-point increase in the empathy scale implies an increase of 0.345 points in the EQPF (almost significantly P = 0.088) (see Table 2).
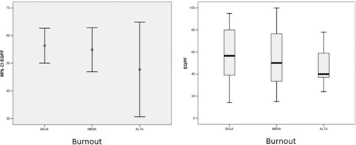
The trend for prescribing quality was less clear than empathy as a function of burnout and is shown in Figure 2. In this case, it can be seen that professionals with high burnout obtain a lower EQPF score. However, professionals with low burnout also obtain low scores.

Figure 2. EQPF results according to GPs’ burnout levels. Trends observed for prescribing quality according to burnout. Professionals with moderate burnout obtain higher results.
Figure 3 shows very visually the correlation of the two scales.

Figure 3. Spearman’s correlation between Maslach Burnout Inventory Scale, Jefferson Scale of Empathy and EQPF results.
In relation with cardiovascular prescriptions, Table 5 shows that physicians with low burnout scored higher in percentage of diuretics and percentage of recommended hypertension treatments. Statistically significant differences were observed for percentage of diuretics (to treat hypertension) but not for percentage of diabetes drugs.
Discussion
Summary
Our findings show that prescribing practices assessed using international quality indicators were significantly better among more empathic and older GPs. A nonsignificant trend toward higher quality prescribing was also noted for GPs with low burnout.
Strengths and limitations
One potential limitation of our study is our relatively small sample size. In future studies, it would be interesting to survey more GPs, including those from other health districts. This would improve the power of our study, possibly enabling us to detect significant results for both empathy and burnout. To guarantee the professionals’ anonymity, we cannot establish a qualitative method to ascertain the reasons for prescribing differently. We plan qualitative studies in the future to approach this issue in an open, multicausal perspective.
The main limitation of this study is its cross-sectional design, which prevents any investigation of causal associations. Qualitative studies to investigate the trends detected would also be very useful, as mentioned above. Another limitation of our study is related to our grouping of MBI and Jefferson scores into two categories (Low and Medium–High for burnout and High and Medium–Low for empathy), as this could affect the validity of our results. Finally, our analysis of prescribing practices was limited to three cardiovascular diseases that are particularly prevalent in our community, but we believe that similar analyses with other prevalent chronic diseases covered by the EQPF are warranted.
We believe that our findings are important. Considering the current economic situation in which health care expenditure is tightly controlled, it is important to better understand the different factors that influence prescribing practices. More empathic GPs may be more aware of the importance of rationalizing the use of drugs, while less burned-out GPs might be more motivated to help relieve strains on the health care system. This study may lead other research teams to investigate the economic situation of public health and the physicians’ implication. Finally, greater efforts should be made to favor empathic engagement and communication skills among primary care workers and to improve working and social conditions to relieve burnout.
Although one of the strengths of the work is to explore the relationship of drug prescription with empathy and burnout, it is important to note that there are many more related factors. For this reason, we believe it is very important to continue investigating all the factors that are associated with the prescription process, and to do so from different perspectives and adding other scales in the analysis, such as the Scale of Work Engagement and Burnout (Hultell and Gustavsson, Reference Hultell and Gustavsson2010). It might also be useful to explore the differences in relation to the types of drugs prescribed.
Comparison with the existing literature
The EQPF is an important indicator of the quality of health care in Catalonia. Like the healthcare quality standard (EQA) (Coma et al., Reference Coma, Ferran, Mendez, Iglesias, Fina and Medina2013), a synthetic indicator of quality of care, it is based on indicators used in the UK health system and is revised regularly. These indicators are assessed annually to monitor the performance of health care centers and staff. All drugs prescribed by GPs in the Catalan health care system are recorded electronically and available for analysis. However, despite the potential value of assessing the quality of prescribing practices in primary care (Christensen et al., Reference Christensen, Nørøxe, Moth and Fenger-Grøn2016), few studies have used these indicators.
When GPs in the Catalan health system prescribe a drug that does not meet the established suitability criteria, they receive confirmation to this effect. In addition, they can consult their performance through the centralized computer system. Apart from helping GPs to achieve the targets established by the Catalan Institute of Health, these indicators are part of a pay-for-performance system, which would presumably also affect prescribing practices beyond levels of empathy or burnout (Vila et al., Reference Vila, Ansa and Gómez2005). A study of GPs in Barcelona in 2003 found that higher levels of burnout were associated with greater pharmaceutical expenditure (Cebrià, Reference Cebrià, Sobrequés, Rodríguez and Segura2003). This is the same year in which the EQPF was established in Catalonia.
Our findings show a significant association between empathy and prescribing quality. Empathically engaged GPs obtained higher EQPF scores, and in addition, they performed significantly better when it came to prescribing recommended diuretics for the control of hypertension and antihypertensives overall. We found no significant associations for the prescription of drugs recommended for dyslipidemia and diabetes. We chose to focus on hypertension, dyslipidemia, and diabetes to facilitate comparisons with other studies (Hojat, Reference Hojat, Louis, Markham, Wender, Rabinowitz and Gonnella2011) and because they are highly prevalent in primary care and are characterized by considerable variability in prescribing practices and the constant appearance of new drugs. One recent study of primary care practice in the United States found no significant associations between prescribing practices for acute respiratory infections and empathy or burnout (Pedersen et al., Reference Pedersen, Ingeman and Vedsted2018).
Although we did not detect any statistically significant relationship between burnout and prescribing quality, we did observe a tendency toward better results among less burned-out professionals. Based on reports for Spanish GPs in 2007 (Yuguero et al., Reference Yuguero, Marsal, Buti, Esquerda and Soler-González2018), this might be explained by their greater commitment to expenditure control and the sustainability of the health system (Orton and Pereira Gray, Reference Orton and Pereira Gray2016). However, more studies are needed to investigate these trends and evaluate other factors that could affect prescribing practices.
Older GPs scored better in the EQPF. Their performance in this respect could be influenced by their greater experience, but it is also possible that they prescribe more drugs that are not penalized, perhaps because they prefer to continue working with drugs that have provided them with good results. In short, prescribing practices were better among more empathic and older GPs, and this ultimately benefits the patient (Melo et al., Reference Melo, Silva and Castro2016).
Our sample, despite being small, is representative of our region and also of our territory. Despite this, we believe that our results can be generalized to other primary care teams. The working conditions are similar throughout our territory, and we believe that it should be up to the managers of the health institutions to promote communication skills.
Implications for research and practice
Future lines of research could investigate ways to achieve improvements in the above areas, since training and techniques to enhance empathy and reduce burnout among health care professionals could improve pharmaceutical expenditure, quality of care, health outcomes, and patient quality of life. In conclusion, we believe that health institutions should be aware of the factors influencing professionals’ drug prescription and treatment adherence. By investing in promoting empathy, benefit can be obtained by reducing burnout but also involving professionals in prescription expenditure.
Ethical aspects
The study was approved by the Primary Care Research Institute (IDIAP) Clinical Research Ethics Committee. Data confidentiality and anonymity were ensured in accordance with the Spanish Data Protection Law 15/1999. All data were encoded and accessible only to the primary care information system technician who cross-referenced the data. Because the database was anonymous, the researchers were at no time able to identify the study participants.
Financial disclosures
The authors did not receive any grants for this study. However, previous research in this field was conducted with the support of the Victor Grífols Foundation.
Conflict of interest
The authors declare no conflict of interest.







