Hostname: page-component-7dd5485656-jtdwj Total loading time: 0 Render date: 2025-10-28T17:49:05.470Z Has data issue: false hasContentIssue false

DISTRIBUTION OF GALOIS GROUPS OF MAXIMAL UNRAMIFIED 2-EXTENSIONS OVER IMAGINARY QUADRATIC FIELDS

Published online by Cambridge University Press:  09 July 2018

SOSUKE SASAKI*
Affiliation:
Department of Pure and Applied Mathematics, Graduate School of Fundamental Science and Engineering, Waseda University, 3-4-1 Okubo, Shinjuku-ku, Tokyo, Japan email sosuke_s5@asagi.waseda.jp
Rights & Permissions [Opens in a new window]

Abstract

Let $k$ be an imaginary quadratic field with $\operatorname{Cl}_{2}(k)\simeq V_{4}$. It is known that the length of the Hilbert $2$-class field tower is at least $2$. Gerth (On 2-class field towers for quadratic number fields with$2$-class group of type$(2,2)$, Glasgow Math. J. 40(1) (1998), 63–69) calculated the density of $k$ where the length of the tower is $1$; that is, the maximal unramified $2$-extension is a $V_{4}$-extension. In this paper, we shall extend this result for generalized quaternion, dihedral, and semidihedral extensions of small degrees.

Information

Type
Article
Copyright
© 2018 Foundation Nagoya Mathematical Journal  

1 Introduction

Let $k$ be an imaginary quadratic field. We denote by $\operatorname{Cl}_{2}(k)$ the Sylow $2$ -subgroup of the class group of $k$ , and by $G_{2}(k)$ the Galois group of the maximal unramified $2$ -extension of $k$ .

Consider the $2$ -class field tower

$$\begin{eqnarray}k=k^{0}\subseteq k^{1}\subseteq k^{2}\subseteq k^{3}\subseteq \cdots\end{eqnarray}$$

where $k^{i+1}$ is the Hilbert $2$ -class field of $k^{i}$ . It is easily seen that, for $i<j$ , $k^{j}/k^{i}$ is Galois and $\operatorname{Gal}(k^{j}/k^{i+1})$ is the derived subgroup of $\operatorname{Gal}(k^{j}/k^{i})$ .

We shall consider the case of $\operatorname{Cl}_{2}(k)\simeq \operatorname{Gal}(k^{1}/k)\simeq V_{4}$ , the Klein four group. It is well-known [Reference Furtwängler4, Reference Taussky17] in the group theory that all the finite $2$ -groups whose abelianization is isomorphic to $V_{4}$ are:

  1. (i) $V_{4}$ itself;

  2. (ii) $Q_{2^{n}}~(n\geqslant 3)$ , the (generalized) quaternion group of order $2^{n}$ ;

  3. (iii) $D_{2^{n}}~(n\geqslant 3)$ , the dihedral group of order $2^{n}$ ;

  4. (iv) $\mathit{SD}_{2^{n}}~(n\geqslant 4)$ , the semidihedral group of order $2^{n}$ .

Moreover, the derived subgroups of these groups are cyclic. Hence, we find that $\operatorname{Gal}(k^{2}/k)$ is isomorphic to one of these groups and $\operatorname{Gal}(k^{2}/k^{1})$ is cyclic. In addition, it is known that a group with cyclic abelianization is itself cyclic, so that $k^{2}=k^{3}=\cdots \,$ . This means $G_{2}(k)=\operatorname{Gal}(k^{2}/k)$ , and it is isomorphic to $V_{4},Q_{2^{n}},D_{2^{n}}$ , or $\mathit{SD}_{2^{n}}$ .

We want to know the distribution of $k$ with $G_{2}(k)$ isomorphic to each group.

Definition.

Let $A,B$ be subsets of $\mathbb{N}$ . Here $0\notin \mathbb{N}$ . If the limit

$$\begin{eqnarray}\lim _{x\rightarrow \infty }\frac{\#\{\,m\in A\mid m\leqslant x\,\}}{\#\{\,m\in B\mid m\leqslant x\,\}}\end{eqnarray}$$

exists, we call it the relative density of $A$ with respect to $B$ , and denote it by $\unicode[STIX]{x1D6FF}(A/B)$ .

Let

$$\begin{eqnarray}A(G)=\{\,m\in \mathbb{N}:\text{square-free}\mid G_{2}(\mathbb{Q}(\sqrt{-m}))\simeq G\,\}\end{eqnarray}$$

and we consider the densities $\unicode[STIX]{x1D6FF}(A(G)/B)$ for $G=V_{4},Q_{2^{n}},D_{2^{n}}$ , and $\mathit{SD}_{2^{n}}$ with appropriate set $B$ . Here we take

$$\begin{eqnarray}B(V_{4})=\{\,m\in \mathbb{N}:\text{square-free}\mid \operatorname{Cl}_{2}(\mathbb{Q}(\sqrt{-m}))\simeq V_{4}\,\}.\end{eqnarray}$$

The density of $k$ such that the $2$ -class field tower terminates at $k^{1}$ is known by Gerth [Reference Gerth6]:

Theorem 1. (Gerth)

$$\begin{eqnarray}\unicode[STIX]{x1D6FF}(A(V_{4})/B(V_{4}))={\textstyle \frac{1}{7}}.\end{eqnarray}$$

In Section 3, we shall extend this theorem for $Q_{2^{n}},D_{2^{n}}$ , and $\mathit{SD}_{2^{n}}$ . For this purpose, we need to extend the Chebotarev density theorem for products of prime numbers. Accordingly, we shall produce a “multivariable” version of the Chebotarev density theorem as our main theorem. We shall prove this theorem by assuming the generalized Riemann hypothesis and using the effective version of the Chebotarev density theorem.

We shall use following notations:

  1. (i) $\operatorname{Cl}_{2}(k)$ is the Sylow $2$ -subgroup of the class group of $k$ , and $\operatorname{Cl}_{2}^{+}(k)$ is that of the narrow class group of $k$ ;

  2. (ii) $h_{2}(k)$ and $h_{2}^{+}(k)$ are the orders of $\operatorname{Cl}_{2}(k)$ and $\operatorname{Cl}_{2}^{+}(k)$ , respectively;

  3. (iii) $d_{k}$ is the discriminant of $k$ ;

  4. (iv) $(\cdot /\cdot )$ is the Kronecker symbol, $(\cdot /\cdot )_{4}$ is the quartic residue symbol, and $(\cdot ,\cdot /\cdot )$ is the Hilbert symbol.

2 Conditions for $G_{2}(k)\simeq G$

At first we have to know when $G_{2}(k)\simeq Q_{2^{n}},D_{2^{n}}$ , or $\mathit{SD}_{2^{n}}$ . Moreover, the conditions should be able to be written by splitting of primes in a number field because we use the Chebotarev density theorem. The conditions are known by several authors and gathered (together with other groups) in the table in [Reference Benjamin, Lemmermeyer and Snyder1]. In this section, we outline the conditions and prove them partially.

The $2$ -rank of the narrow class group of a quadratic field is obtained by the genus theory:

Proposition 1. Let $F$ be a quadratic field and let $t$ be the number of distinct prime divisors of $d_{F}$ . Then the $2$ -rank $\dim _{\mathbb{F}_{2}}\operatorname{Cl}_{2}^{+}(F)$ of $\operatorname{Cl}_{2}^{+}(F)$ equals to $t-1$ .

The $4$ -rank can also be calculated by using the Rédei–Reichardt criterion [Reference Rédei and Reichardt14]:

Proposition 2. Let $F$ be a quadratic field and $l_{1},\ldots ,l_{t}$ be all the distinct prime divisors of $d_{F}$ . We define the Rédei matrix:

where $[l_{i},d_{F}/l_{j}]\in \mathbb{F}_{2}$ is defined as

Then the $4$ -rank $\dim _{\mathbb{F}_{2}}(\operatorname{Cl}_{2}^{+}(F)^{2}/\operatorname{Cl}_{2}^{+}(F)^{4})$ of $\operatorname{Cl}_{2}^{+}(F)$ equals to $t-1-\operatorname{rank}R_{F}$ .

From Propositions 1 and 2, one can show

Proposition 3. Let $k$ be an imaginary quadratic field with odd discriminant. Then, $\operatorname{Cl}_{2}(k)\simeq V_{4}$ if and only if $k=\mathbb{Q}(\sqrt{-pqr})$ for some distinct primes $p,q,r$ such that:

  1. (i) $p\equiv q\equiv r\equiv -1~(4)$ and $(p/q)=(q/r)=(r/p)$ ; or

  2. (ii) $-p\equiv q\equiv r\equiv 1~(4)$ and at least two of $(p/q),(p/r),(q/r)$ equal to $-1$ .

The following conditions are shown by several authors, see [Reference Benjamin, Lemmermeyer and Snyder1]:

Proposition 4.

  1. (1) Let $k=\mathbb{Q}(\sqrt{-pqr})$ where $p,q$ , and $r$ are distinct primes with $p\equiv q\equiv r\equiv -1~(4)$ . Then $G_{2}(k)$ is abelian.

  2. (2) Let $k=\mathbb{Q}(\sqrt{-pqr})$ where $p,q$ , and $r$ are distinct primes with $-p\equiv q\equiv r\equiv 1~(4)$ . Then:

    1. (a) $G_{2}(k)\simeq Q_{8}$ if and only if

    2. (b) $G_{2}(k)\simeq Q_{2^{n}}~(n\geqslant 4)$ if and only if

    3. (c) $G_{2}(k)\simeq D_{2^{n}}~(n\geqslant 3)$ if and only if

    4. (d) $G_{2}(k)\simeq \mathit{SD}_{2^{n}}~(n\geqslant 4)$ if and only if, by swapping $q$ and $r$ if necessary,

Here $\mathbf{N}$ is the absolute norm and $h_{2}(m)=h_{2}(\mathbb{Q}(\sqrt{m}))$ for $m\in \mathbb{Z}$ .

This proposition is shown by Kisilevsky [Reference Kisilevsky8] except for the conditions $2^{n}=4h_{2}(qr)$ and $2^{n}=4h_{2}(-pq)$ in (2b), (2c), and (2d). We give a proof of the conditions $2^{n}=4h_{2}(qr)$ and $2^{n}=4h_{2}(-pq)$ in (2b), (2c), and (2d) because no proof is given in [Reference Benjamin, Lemmermeyer and Snyder1].

Let $k=\mathbb{Q}(\sqrt{-pqr})$ where $p,q,r$ are distinct primes with $-p\equiv q\equiv r\equiv 1~(4)$ , and assume $h_{2}(k)=4$ . Then the Hilbert $2$ -class field $k^{1}$ is $\mathbb{Q}(\sqrt{-p},\sqrt{q},\sqrt{r})$ . Let $K$ be the maximal real subfield of $k^{1}$ , that is, $K=\mathbb{Q}(\sqrt{q},\sqrt{r})$ .

Lemma 1.

$$\begin{eqnarray}h_{2}(k^{1})={\textstyle \frac{1}{2}}h_{2}(K)h_{2}(-pq)h_{2}(-pr),\end{eqnarray}$$

where $h_{2}(m)=h_{2}(\mathbb{Q}(\sqrt{m}))$ for $m\in \mathbb{Z}$ .

Proof. From the relative class number formula [Reference Washington18, Chapter 4], one has

$$\begin{eqnarray}h(k^{1})/h(K)=wQ\mathop{\prod }_{\unicode[STIX]{x1D712}:\text{odd}}\biggl(-\frac{1}{2f_{\unicode[STIX]{x1D712}}}\mathop{\sum }_{a=1}^{f_{\unicode[STIX]{x1D712}}}\unicode[STIX]{x1D712}(a)a\biggr)\end{eqnarray}$$

where the product runs over the odd Dirichlet characters of $k^{1}$ and

  1. (i) $h$ is the class number;

  2. (ii) $w$ is the number of the roots of unity in $k^{1}$ ;

  3. (iii) $Q=[U:\unicode[STIX]{x1D707}U_{K}]$ , where $U$ and $U_{K}$ are the unit groups of $k^{1}$ and $K$ , respectively, and $\unicode[STIX]{x1D707}$ is the group of the roots of unity in $k^{1}$ ;

  4. (iv) $f_{\unicode[STIX]{x1D712}}$ is the conductor of $\unicode[STIX]{x1D712}$ .

Note that one can easily show

Similarly we have

for $m=-p,-pq,-pr,-pqr$ , where $h(m)=h(\mathbb{Q}(\sqrt{m})),\,w_{m}=w_{\mathbb{Q}(\sqrt{m})}$ , and $d_{m}=d_{\mathbb{Q}(\sqrt{m})}$ . Putting these formulas together we obtain

$$\begin{eqnarray}h(k^{1})/h(K)=wQ\frac{h(-p)h(-pq)h(-pr)h(k)}{w_{p}w_{pq}w_{pr}w_{k}}.\end{eqnarray}$$

Now $h(-p)$ is odd by Proposition 1 and $h_{2}(k)=4$ . Also we know that the $2$ -parts of $w,w_{p},w_{pq},w_{pr}$ , and $w_{k}$ are $2$ since $k^{1}/\mathbb{Q}$ is unramified at $2$ .

Hence it suffices to show $Q=1$ . By [Reference Washington18, Theorem 4.12], $Q=1$ if and only if $\unicode[STIX]{x1D700}/\overline{\unicode[STIX]{x1D700}}\in \unicode[STIX]{x1D707}^{2}$ for any $\unicode[STIX]{x1D700}\in U$ , where $\overline{\unicode[STIX]{x1D700}}$ means the conjugate of $\unicode[STIX]{x1D700}$ over $K$ . Suppose $\unicode[STIX]{x1D700}/\overline{\unicode[STIX]{x1D700}}\notin \unicode[STIX]{x1D707}^{2}$ for some $\unicode[STIX]{x1D700}\in U$ . It can be easily shown that $w=2$ or $6$ . Hence, $\unicode[STIX]{x1D700}/\overline{\unicode[STIX]{x1D700}}=-1$ or $(1\pm \sqrt{-3})/2$ . We let

$$\begin{eqnarray}\unicode[STIX]{x1D6FC}=\left\{\begin{array}{@{}ll@{}}\displaystyle \unicode[STIX]{x1D700}\sqrt{-p}\quad & \displaystyle \text{if }\unicode[STIX]{x1D700}/\overline{\unicode[STIX]{x1D700}}=-1,\\ \displaystyle \unicode[STIX]{x1D700}\biggl(\frac{3\mp \sqrt{-3}}{2}\biggr)\quad & \displaystyle \text{if }\unicode[STIX]{x1D700}/\overline{\unicode[STIX]{x1D700}}=\frac{1\pm \sqrt{-3}}{2}\quad (p=3).\end{array}\right.\end{eqnarray}$$

We can check $\unicode[STIX]{x1D6FC}=\overline{\unicode[STIX]{x1D6FC}}$ so that $\unicode[STIX]{x1D6FC}\in K$ . Hence,

$$\begin{eqnarray}\unicode[STIX]{x1D6FC}^{2}=N_{k^{1}/K}(\unicode[STIX]{x1D6FC})=pN_{k^{1}/K}(\unicode[STIX]{x1D700}).\end{eqnarray}$$

Since $N_{k^{1}/K}(\unicode[STIX]{x1D700})\in U_{K}$ , this implies that $p$ ramifies in $K/\mathbb{Q}$ , which is absurd.◻

Lemma 2. The Hilbert $2$ -class fields of $K$ and of $\mathbb{Q}(\sqrt{qr})$ coincide.

Proof. Let $K^{1}$ and $\mathbb{Q}(\sqrt{qr})^{1}$ be the Hilbert $2$ -class fields of $K$ and $\mathbb{Q}(\sqrt{qr})$ , respectively. It can be shown that $K^{1}/\mathbb{Q}(\sqrt{qr})$ is Galois and $K^{1}\supseteq \mathbb{Q}(\sqrt{qr})^{1}$ . Since $K/\mathbb{Q}(\sqrt{qr})$ is unramified, so is $K^{1}/\mathbb{Q}(\sqrt{qr})$ . Hence $\mathbb{Q}(\sqrt{qr})^{1}$ is the maximal abelian subextension of $K^{1}/\mathbb{Q}(\sqrt{qr})$ , and the abelianization of $\operatorname{Gal}(K^{1}/\mathbb{Q}(\sqrt{qr}))$ is $\operatorname{Cl}_{2}(\mathbb{Q}(\sqrt{qr}))$ . On the other hand, $\operatorname{Cl}_{2}^{+}(\mathbb{Q}(\sqrt{qr}))$ is cyclic by Proposition 1; therefore $\operatorname{Cl}_{2}(\mathbb{Q}(\sqrt{qr}))$ is also cyclic. Hence, $\operatorname{Gal}(K^{1}/\mathbb{Q}(\sqrt{qr}))$ is cyclic and $K^{1}=\mathbb{Q}(\sqrt{qr})^{1}$ .◻

Proof of Proposition 4.

Now we determine $n$ . We know that

$$\begin{eqnarray}2^{n}=\#G_{2}(k)=[k^{2}:k]=h_{2}(k)h_{2}(k^{1})=4h_{2}(k^{1}).\end{eqnarray}$$

From Lemma 2 we have $h_{2}(qr)=2h_{2}(K)$ . Hence from Lemma 1,

$$\begin{eqnarray}h_{2}(k^{1})={\textstyle \frac{1}{4}}h_{2}(qr)h_{2}(-pq)h_{2}(-pr).\end{eqnarray}$$

(2b), (2c)

Since $(p/q)=(p/r)=-1$ , we get $h_{2}(-pq)=h_{2}(-pr)=2$ from Proposition 1 (see Proposition 5 below). Hence $2^{n}=4h_{2}(k^{1})=4h_{2}(qr)$ .

(2d)

Similarly, we get $h_{2}(-pr)=2$ . Since $(q/r)=-1$ , we get $h_{2}^{+}(qr)=2$ from Proposition 1. Since $h_{2}(qr)=2h_{2}(K)$ is even, we have $h_{2}(qr)=2$ . Hence $2^{n}=4h_{2}(k^{1})=4h_{2}(-pq)$ .◻

Also the following conditions are known, see [Reference Yamamoto19]:

Proposition 5. Let $p,q$ , and $r$ be distinct primes with $-p\equiv q\equiv r\equiv 1~(4)$ . Then:

  1. (1) $h_{2}(qr)=2$ and $\mathbf{N}\unicode[STIX]{x1D700}_{qr}=-1$ if and only if $(q/r)=-1$ ;

  2. (2) $h_{2}(qr)=2$ and $\mathbf{N}\unicode[STIX]{x1D700}_{qr}=1$ if and only if $(q/r)=1$ and $(q/r)_{4}(r/q)_{4}=-1$ ;

  3. (3) $h_{2}(qr)=4$ and $\mathbf{N}\unicode[STIX]{x1D700}_{qr}=-1$ if and only if $(q/r)=1$ and $(q/r)_{4}=(r/q)_{4}=-1$ ;

  4. (4) $h_{2}(-pq)=2$ if and only if $(p/q)=-1$ ;

  5. (5) $h_{2}(-pq)=4$ if and only if $(p/q)=1$ and $(-p/q)_{4}=-1$ .

3 Densities for $Q_{8},Q_{16},D_{8}$ , and $\mathit{SD}_{16}$

We want to find the densities of quadratic fields which have maximal unramified $2$ -extensions with Galois groups isomorphic to $Q_{2^{n}},D_{2^{n}}$ , or $\mathit{SD}_{2^{n}}$ . In other words, we want to calculate the densities, $\unicode[STIX]{x1D6FF}(A(G)/B(V_{4}))$ for $G=Q_{2^{n}},D_{2^{n}},\mathit{SD}_{2^{n}}$ . For this purpose, we produce a multivariable version of the Chebotarev density theorem.

For an integer $n\geqslant 0$ , we let

$$\begin{eqnarray}\displaystyle P_{n} & = & \displaystyle \{\,p_{1}\cdots p_{n}\mid p_{1},\ldots ,p_{n}:\text{distinct primes}\,\}\!;\nonumber\\ \displaystyle P_{n}(x) & = & \displaystyle \{\,m\in P_{n}\mid m\leqslant x\,\}\!.\nonumber\end{eqnarray}$$

At first we calculate $\unicode[STIX]{x1D6FF}(A(G)/P_{3})$ . Note that in our definition of $\unicode[STIX]{x1D6FF}(A/B)$ , we do not assume $A\subseteq B$ . It is known [Reference Hardy and Wright7, Theorem 437] that for $n\geqslant 1$

(1) $$\begin{eqnarray}\#P_{n}(x)\sim \frac{x(\log \log x)^{n-1}}{(n-1)!\log x}.\end{eqnarray}$$

Suppose that $F_{a}$ and ${\mathcal{C}}_{a}$ are given for each square-free positive integer $a$ , where $F_{a}$ is a number field which is Galois over $\mathbb{Q}$ , and ${\mathcal{C}}_{a}$ is a conjugacy class in ${\mathcal{G}}_{a}=\operatorname{Gal}(F_{a}/\mathbb{Q})$ . For a prime number $p$ , we let $\unicode[STIX]{x1D711}_{a}(p)=1$ when $p$ does not ramify in $F_{a}$ and

and $\unicode[STIX]{x1D711}_{a}(p)=0$ otherwise. We denote for $n\geqslant 0$ ,

$$\begin{eqnarray}\displaystyle S_{n} & = & \displaystyle \left\{\hspace{2.22198pt}p_{1}\cdots p_{n}\in P_{n}\;|\;p_{1}<\cdots <p_{n},\mathop{\prod }_{k=1}^{n}\unicode[STIX]{x1D711}_{p_{1}\cdots p_{k-1}}(p_{k})=1\hspace{2.22198pt}\right\}\!;\nonumber\\ \displaystyle S_{n}(x) & = & \displaystyle \{\,m\in S_{n}\mid m\leqslant x\,\}.\nonumber\end{eqnarray}$$

Note that the empty product means $1$ and $P_{0}=S_{0}=\{1\}$ .

Now we state our main theorem:

Theorem 2. Let $n$ be a positive integer. Assume that:

  1. (i) the Generalized Riemann Hypothesis (GRH) holds for the Dedekind zeta function of $F_{a}$ for all $a\in S_{0}\cup \cdots \cup S_{n-1}$ ;

  2. (ii) there are positive constants $c_{0}$ and $\unicode[STIX]{x1D700}$ depending only on $n$ , such that for $1\leqslant k\leqslant n-1$ and $a=p_{1}\cdots p_{k}\in S_{k}~(p_{1}<\cdots <p_{k})$ ,

    $$\begin{eqnarray}\log |d_{F_{a}}|\leqslant \frac{c_{0}\sqrt{p_{k}}}{(\log p_{k})^{1+\unicode[STIX]{x1D700}}}\qquad \text{and}\qquad [F_{a}:\mathbb{Q}]\leqslant \frac{c_{0}\sqrt{p_{k}}}{(\log p_{k})^{2+\unicode[STIX]{x1D700}}};\end{eqnarray}$$
  3. (iii) for $1\leqslant k\leqslant n$ , there is a rational number $\unicode[STIX]{x1D6FF}_{k}$ such that for any $a\in S_{k-1}$ ,

    $$\begin{eqnarray}\frac{\#{\mathcal{C}}_{a}}{\#{\mathcal{G}}_{a}}=\unicode[STIX]{x1D6FF}_{k}.\end{eqnarray}$$

Then

$$\begin{eqnarray}\unicode[STIX]{x1D6FF}(S_{n}/P_{n})=\unicode[STIX]{x1D6FF}_{1}\cdots \unicode[STIX]{x1D6FF}_{n}.\end{eqnarray}$$

The proof of this theorem is given in the next section.

Now we shall calculate $\unicode[STIX]{x1D6FF}(A(G)/B(V_{4}))$ by using the theorem. Here we only calculate $\unicode[STIX]{x1D6FF}(A(D_{8})/B(V_{4}))$ . From Propositions 4 and 5, we know that $\mathbb{Q}(\sqrt{-m})$ has odd discriminant and $m\in A(D_{8})$ , if and only if, $m=pqr$ such that $p,q$ , and $r$ are distinct primes with $-p\equiv q\equiv r\equiv 1~(4)$ and

Let

$$\begin{eqnarray}\displaystyle A_{1} & = & \displaystyle \{\,pqr\in A(D_{8})\cap P_{3}\mid p<q<r,\,-p\equiv q\equiv r\equiv 1~(4)\,\}\!;\nonumber\\ \displaystyle A_{2} & = & \displaystyle \{\,pqr\in A(D_{8})\cap P_{3}\mid q<p<r,\,-p\equiv q\equiv r\equiv 1~(4)\,\}\!;\nonumber\\ \displaystyle A_{3} & = & \displaystyle \{\,pqr\in A(D_{8})\cap P_{3}\mid q<r<p,\,-p\equiv q\equiv r\equiv 1~(4)\,\}\!;\nonumber\\ \displaystyle A_{4} & = & \displaystyle \{\,m\in A(D_{8})\mid m\not \equiv -1~(4)\,\}.\nonumber\end{eqnarray}$$

Then clearly these are disjoint, and we know

$$\begin{eqnarray}A_{1}\cup A_{2}\cup A_{3}\cup A_{4}=A(D_{8})\end{eqnarray}$$

from Propositions 1 and 4. Note that if $m\in A_{4}$ then $\mathbb{Q}(\sqrt{-m})$ has even discriminant; therefore from Proposition 1, we can easily show that $m\in P_{2}$ or $m/2\in P_{2}$ . But we know $\unicode[STIX]{x1D6FF}(P_{2}/P_{3})=0$ from (1), which yields $\unicode[STIX]{x1D6FF}(A_{4}/P_{3})=0$ . Hence,

$$\begin{eqnarray}\unicode[STIX]{x1D6FF}(A(D_{8})/P_{3})=\unicode[STIX]{x1D6FF}(A_{1}/P_{3})+\unicode[STIX]{x1D6FF}(A_{2}/P_{3})+\unicode[STIX]{x1D6FF}(A_{3}/P_{3}).\end{eqnarray}$$

Now we see $\unicode[STIX]{x1D6FF}(A_{1}/P_{3})$ . We put:

  1. (i) $F_{1}=\mathbb{Q}(\sqrt{-1}),{\mathcal{C}}_{1}=\{j\},\unicode[STIX]{x1D6FF}_{1}=\frac{1}{2}$ where  corresponds to $\mathbb{Q}$ ;

  2. (ii) $F_{p}=\mathbb{Q}(\sqrt{-1},\sqrt{p}),{\mathcal{C}}_{p}=\{\unicode[STIX]{x1D70E}\},\unicode[STIX]{x1D6FF}_{2}=\frac{1}{4}$ for primes $p\equiv -1~(4)$ , where  corresponds to $\mathbb{Q}(\sqrt{-1})$ ;

  3. (iii) $F_{pq}=\mathbb{Q}(\sqrt{-1},\sqrt{p},\sqrt{q},\sqrt{\unicode[STIX]{x1D700}_{q}}),{\mathcal{C}}_{pq}=\{\unicode[STIX]{x1D70F}\},\unicode[STIX]{x1D6FF}_{3}=\frac{1}{16}$ for primes $p<q,\,-p\equiv q\equiv 1~(4)$ , where $\unicode[STIX]{x1D700}_{q}$ is the fundamental unit of $\mathbb{Q}(\sqrt{q})$ , and  corresponds to $\mathbb{Q}(\sqrt{-1},\sqrt{q},\sqrt{p\unicode[STIX]{x1D700}_{q}})$ .

Assume that GRH holds for these fields. $F_{a}$ and ${\mathcal{C}}_{a}$ are unused for the other integers $a$ , so we may let them be anything.

Then we show $S_{3}=A_{1}$ . As is well-known that

$$\begin{eqnarray}\displaystyle \unicode[STIX]{x1D711}_{1}(p)=1 & \;\Longleftrightarrow \; & \displaystyle p\equiv 3~(4)\quad (\forall p:\text{prime});\nonumber\\ \displaystyle \unicode[STIX]{x1D711}_{p}(q)=1 & \;\Longleftrightarrow \; & \displaystyle q\equiv 1~(4)\text{ and }(p/q)=-1\quad (\forall p,q:\text{primes},p\equiv 3~(4)).\nonumber\end{eqnarray}$$

Now we consider $F_{pq}$ . Assume $p<q$ and $-p\equiv q\equiv 1~(4)$ . By Scholz’s reciprocity law [Reference Lemmermeyer12, Proposition 5.8], if $q\equiv r\equiv 1~(4)$ and $(q/r)=1$ ,

We know that

$$\begin{eqnarray}\displaystyle (p/r)=-1 & \;\Longleftrightarrow \; & \displaystyle r\text{ is inert in }\mathbb{Q}(\sqrt{p})/\mathbb{Q};\nonumber\\ \displaystyle (q/r)=+1 & \;\Longleftrightarrow \; & \displaystyle r\text{ splits in }\mathbb{Q}(\sqrt{q})/\mathbb{Q};\nonumber\\ \displaystyle (\unicode[STIX]{x1D700}_{q}/r)=-1 & \;\Longleftrightarrow \; & \displaystyle \text{the primes above }r\text{ are inert in }\mathbb{Q}(\sqrt{q},\sqrt{\unicode[STIX]{x1D700}_{q}})/\mathbb{Q}(\sqrt{q}).\nonumber\end{eqnarray}$$

$F_{pq}$ includes these fields. It is straightforward to show that $-(p/r)=(q/r)=-(\unicode[STIX]{x1D700}_{q}/r)=1$ if and only if the decomposition group of any prime ideal of $F_{pq}$ above $r$ is $\mathbb{Q}(\sqrt{-1},\sqrt{q},\sqrt{p\unicode[STIX]{x1D700}_{q}})$ . Hence, we have

$$\begin{eqnarray}\displaystyle \unicode[STIX]{x1D711}_{pq}(r)=1 & \;\Longleftrightarrow \; & \displaystyle r\equiv 1~(4)\text{ and }-(p/r)=(q/r)=-(q/r)_{4}(r/q)_{4}=1.\nonumber\\ \displaystyle & & \displaystyle (\forall p,q,r:\text{primes},p<q,-p\equiv q\equiv 1~(4))\nonumber\end{eqnarray}$$

Therefore, for any primes $p<q<r$ we get

$$\begin{eqnarray}\unicode[STIX]{x1D711}_{1}(p)\unicode[STIX]{x1D711}_{p}(q)\unicode[STIX]{x1D711}_{pq}(r)=1\;\Longleftrightarrow \;-p\equiv q\equiv r\equiv 1~(4)\text{ and }pqr\in A(D_{8}).\end{eqnarray}$$

This means $S_{3}=A_{1}$ by definition.

Finally, we estimate the discriminant of $F_{a}$ . Clearly $|d_{F_{1}}|=4$ . Now $\mathbb{Q}(\sqrt{-1})$ and $\mathbb{Q}(\sqrt{-p})$ are linearly disjoint over $\mathbb{Q}$ , and their discriminants are coprime. This yields [Reference Lang11, Chapter III, Proposition 17]

$$\begin{eqnarray}d_{F_{p}}=d_{\mathbb{Q}(\sqrt{-1})}^{2}d_{\mathbb{ Q}(\sqrt{-p})}^{2}=16p^{2}.\end{eqnarray}$$

For $F_{pq}$ , we first let $L=\mathbb{Q}(\sqrt{-1},\sqrt{-p},\sqrt{q})$ and we deduce as above

$$\begin{eqnarray}d_{L}=d_{\mathbb{Q}(\sqrt{-1})}^{4}d_{\mathbb{ Q}(\sqrt{-p})}^{4}d_{\mathbb{ Q}(\sqrt{q})}^{4}=2^{8}p^{4}q^{4}.\end{eqnarray}$$

Then we use the formula:

$$\begin{eqnarray}d_{F_{pq}}\mathbb{Z}=N_{L/\mathbb{Q}}(\mathfrak{d}_{F_{pq}/L})\cdot d_{L}^{[F_{pq}:L]}\mathbb{Z}\end{eqnarray}$$

where $\mathfrak{d}_{F_{pq}/L}$ is the relative discriminant. Also we use the fact that $\mathfrak{d}_{F_{pq}/L}$ divides the discriminant of the minimal polynomial of $\sqrt{\unicode[STIX]{x1D700}_{q}}$ over $L$ in ${\mathcal{O}}_{L}$ , the ring of integers in $L$ . Hence, we have

$$\begin{eqnarray}\displaystyle & \displaystyle \mathfrak{d}_{F_{pq}/L}\mid 4\unicode[STIX]{x1D700}_{q}{\mathcal{O}}_{L}=4{\mathcal{O}}_{L}; & \displaystyle \nonumber\\ \displaystyle & \displaystyle \therefore ~N_{L/\mathbb{Q}}(\mathfrak{d}_{F_{pq}/L})\mid 4^{8}\mathbb{Z}; & \displaystyle \nonumber\\ \displaystyle & \displaystyle \therefore ~d_{F_{pq}}\mid 4^{8}\cdot (2^{8}p^{4}q^{4})^{2}=2^{32}p^{8}q^{8}. & \displaystyle \nonumber\end{eqnarray}$$

In any cases, $F_{a}$ satisfies the discriminant condition of Theorem 2. For the facts about discriminants used above, see [Reference Fröhlich and Taylor3, Section III.2].

At this time we can apply Theorem 2, which yields

$$\begin{eqnarray}\unicode[STIX]{x1D6FF}(A_{1}/P_{3})=\unicode[STIX]{x1D6FF}(S_{3}/P_{3})=\unicode[STIX]{x1D6FF}_{1}\unicode[STIX]{x1D6FF}_{2}\unicode[STIX]{x1D6FF}_{3}={\textstyle \frac{1}{128}}.\end{eqnarray}$$

Similarly as above, we can also deduce $\unicode[STIX]{x1D6FF}(A_{2}/P_{3})=1/128$ by using

$$\begin{eqnarray}F_{1}=\mathbb{Q}(\sqrt{-1}),\qquad F_{q}=\mathbb{Q}(\sqrt{-1},\sqrt{q}),\qquad F_{qp}=\mathbb{Q}(\sqrt{-1},\sqrt{p},\sqrt{q},\sqrt{\unicode[STIX]{x1D700}_{q}}),\end{eqnarray}$$

and $\unicode[STIX]{x1D6FF}(A_{3}/P_{3})=1/128$ by using

$$\begin{eqnarray}F_{1}=\mathbb{Q}(\sqrt{-1}),\qquad F_{q}=\mathbb{Q}(\sqrt{-1},\sqrt{q},\sqrt{\unicode[STIX]{x1D700}_{q}}),\qquad F_{qr}=\mathbb{Q}(\sqrt{-1},\sqrt{q},\sqrt{r}).\end{eqnarray}$$

Therefore, we have

$$\begin{eqnarray}\unicode[STIX]{x1D6FF}(A(D_{8})/P_{3})={\textstyle \frac{3}{128}}.\end{eqnarray}$$

It is known in [Reference Gerth6] that $\unicode[STIX]{x1D6FF}(B(V_{4})/P_{3})=7/32$ ; hence, we conclude

$$\begin{eqnarray}\unicode[STIX]{x1D6FF}(A(D_{8})/B(V_{4}))={\textstyle \frac{3}{28}}.\end{eqnarray}$$

Also we can calculate densities for $Q_{8},Q_{16}$ , and $\mathit{SD}_{16}$ in the same way. One can easily find the appropriate $F_{a}$ and ${\mathcal{C}}_{a}$ by using the following fact: If $q,r$ are odd primes with $r\equiv 1~(4)$ and $(q/r)=1$ then

$$\begin{eqnarray}\displaystyle (q/r)_{4}=-1 & \;\Longleftrightarrow \; & \displaystyle \text{the primes above }q\text{ are inert in }\mathbb{Q}(\unicode[STIX]{x1D701}_{r})_{4}/\mathbb{Q}(\sqrt{r});\nonumber\\ \displaystyle (q/r)_{4}=-1 & \;\Longleftrightarrow \; & \displaystyle \text{the primes above }r\text{ are inert in }\mathbb{Q}(\sqrt[4]{q})/\mathbb{Q}(\sqrt{q}),\nonumber\end{eqnarray}$$

where $\mathbb{Q}(\unicode[STIX]{x1D701}_{r})_{4}$ is the quartic subfield of the $r$ th cyclotomic field.

Theorem 3. The results in Table 1 hold.

Table 1. Densities.

Note that if the condition for $m\in A(G)$ can be written by using only quadratic residue symbols, we do not need GRH since we can use the same way as Gerth.

4 Proof of Theorem 2

The following argument is basically from Gerth [Reference Gerth5]. However, we cannot use the same way to estimate error terms because the quartic residue symbol $(p/\cdot )_{4}$ cannot be considered as Dirichlet characters. Hence, we shall use the effective Chebotarev density theorem.

In what follows, we use the following notations:

  1. (i) $\sum _{a<p\leqslant b}$ means a single summation on $p$ only over primes.

  2. (ii) For a multivariable function $f$ , $O(f)$ means a term whose absolute value is always at most $c|f|$ for some constant $c$ depending only on $n$ and $\unicode[STIX]{x1D700}$ .

We shall use the following formulas [Reference Koch.9, Section 27.1], [Reference Hardy and Wright7, Chapter XXII]:

(2) $$\begin{eqnarray}\displaystyle & \displaystyle \mathop{\sum }_{p\leqslant y}1=\frac{y}{\log y}+O\biggl(\frac{y}{(\log y)^{2}}\biggr); & \displaystyle\end{eqnarray}$$
(3) $$\begin{eqnarray}\displaystyle & \displaystyle \mathop{\sum }_{p\leqslant y}\frac{1}{p}=\log \log y+O(1); & \displaystyle\end{eqnarray}$$
(4) $$\begin{eqnarray}\displaystyle & \displaystyle \mathop{\sum }_{p\leqslant y}\frac{\log p}{p}=\log y+O(1). & \displaystyle\end{eqnarray}$$

We may assume $n\geqslant 2$ . It suffices to show

$$\begin{eqnarray}\#S_{n}(x)=\unicode[STIX]{x1D6FF}_{1}\cdots \unicode[STIX]{x1D6FF}_{n}\#P_{n}(x)+o(\#P_{n}(x)).\end{eqnarray}$$

As in [Reference Gerth5], we write

$$\begin{eqnarray}\displaystyle \#S_{n}(x) & = & \displaystyle \mathop{\sum }_{1<p_{1}\leqslant x^{1/n}}\unicode[STIX]{x1D711}_{1}(p_{1})\mathop{\sum }_{p_{1}<p_{2}\leqslant (x/p_{1})^{1/(n-1)}}\unicode[STIX]{x1D711}_{p_{1}}(p_{2})\cdots \nonumber\\ \displaystyle & & \displaystyle \mathop{\sum }_{p_{n-2}<p_{n-1}\leqslant (x/(p_{1}\cdots p_{n-2}))^{1/2}}\unicode[STIX]{x1D711}_{p_{1}\cdots p_{n-2}}(p_{n-1})\nonumber\\ \displaystyle & & \displaystyle \times \,\mathop{\sum }_{p_{n-1}<p_{n}\leqslant x/(p_{1}\cdots p_{n-1})}\unicode[STIX]{x1D711}_{p_{1}\cdots p_{n-1}}(p_{n}).\nonumber\end{eqnarray}$$

Note that if $p_{1},\ldots ,p_{k}$ are in each interval, one has

$$\begin{eqnarray}x^{1/n}\leqslant \biggl(\frac{x}{p_{1}\cdots p_{k}}\biggr)^{1/(n-k)}.\end{eqnarray}$$

In particular,

(5) $$\begin{eqnarray}\frac{1}{\log (x/p_{1}\cdots p_{k})}=O\biggl(\frac{1}{\log x}\biggr).\end{eqnarray}$$

An elementary calculation shows

(6) $$\begin{eqnarray}\displaystyle \#S_{n}(x) & = & \displaystyle \mathop{\sum }_{p_{1}}\unicode[STIX]{x1D711}_{1}(p_{1})\mathop{\sum }_{p_{2}}\unicode[STIX]{x1D711}_{p_{1}}(p_{2})\cdots \mathop{\sum }_{p_{n}}\unicode[STIX]{x1D711}_{p_{1}\cdots p_{n-1}}(p_{n})\nonumber\\ \displaystyle & = & \displaystyle \mathop{\sum }_{p_{1}}\unicode[STIX]{x1D6FF}_{1}\mathop{\sum }_{p_{2}}\unicode[STIX]{x1D6FF}_{2}\cdots \mathop{\sum }_{p_{n}}\unicode[STIX]{x1D6FF}_{n}\nonumber\\ \displaystyle & & \displaystyle +\,\mathop{\sum }_{p_{1}}(\unicode[STIX]{x1D711}_{1}(p_{1})-\unicode[STIX]{x1D6FF}_{1})\mathop{\sum }_{p_{2}}\unicode[STIX]{x1D6FF}_{2}\cdots \mathop{\sum }_{p_{n}}\unicode[STIX]{x1D6FF}_{n}\nonumber\\ \displaystyle & & \displaystyle +\,\mathop{\sum }_{p_{1}}\unicode[STIX]{x1D711}_{1}(p_{1})\mathop{\sum }_{p_{2}}(\unicode[STIX]{x1D711}_{p_{1}}(p_{2})-\unicode[STIX]{x1D6FF}_{2})\cdots \mathop{\sum }_{p_{n}}\unicode[STIX]{x1D6FF}_{n}\nonumber\\ \displaystyle & & \displaystyle +\,\cdots \nonumber\\ \displaystyle & & \displaystyle +\,\mathop{\sum }_{p_{1}}\unicode[STIX]{x1D711}_{1}(p_{1})\mathop{\sum }_{p_{2}}\unicode[STIX]{x1D711}_{p_{1}}(p_{2})\cdots \mathop{\sum }_{p_{n}}(\unicode[STIX]{x1D711}_{p_{1}\cdots p_{n-1}}(p_{n})-\unicode[STIX]{x1D6FF}_{n}).\end{eqnarray}$$

The first term in the right-hand side of (6) equals to $\unicode[STIX]{x1D6FF}_{1}\cdots \unicode[STIX]{x1D6FF}_{n}\#P_{n}(x)$ . So we have to estimate the remaining terms.

We need the following estimation:

Lemma 3. Let $1\leqslant k\leqslant n$ and $a=p_{1}\cdots p_{k-1}\in P_{k-1}~(p_{1}<\cdots <p_{k-1})$ . Then for $y\geqslant p_{k-1}$ ,

$$\begin{eqnarray}\biggl|\mathop{\sum }_{p\leqslant y}(\unicode[STIX]{x1D711}_{a}(p)-\unicode[STIX]{x1D6FF}_{k})\biggr|=O\biggl(\frac{y}{(\log y)^{1+\unicode[STIX]{x1D700}}}\biggr).\end{eqnarray}$$

Proof. From the definition of $\unicode[STIX]{x1D711}_{a}$ , we know

Also we note that $\unicode[STIX]{x1D70B}(y)=\sum _{p\leqslant y}1$ is the usual prime-counting function and $\unicode[STIX]{x1D6FF}_{k}=\#{\mathcal{C}}_{a}/\#{\mathcal{G}}_{a}$ .

From the effective version of the Chebotarev density theorem [Reference Lagarias and Odlyzko10, Reference Serre15], we have

$$\begin{eqnarray}\displaystyle \unicode[STIX]{x1D70B}_{{\mathcal{C}}_{a}}(y,F_{a}/\mathbb{Q}) & = & \displaystyle \frac{\#{\mathcal{C}}_{a}}{\#{\mathcal{G}}_{a}}(\operatorname{Li}(y)+O(\sqrt{y}([F_{a}:\mathbb{Q}]\log y+\log |d_{F_{a}}|)));\nonumber\\ \displaystyle \unicode[STIX]{x1D70B}(y) & = & \displaystyle \operatorname{Li}(y)+O(\sqrt{y}\log y),\nonumber\end{eqnarray}$$

where

$$\begin{eqnarray}\operatorname{Li}(y)=\int _{2}^{y}\frac{dt}{\log t}.\end{eqnarray}$$

Note that GRH for the Dedekind zeta function of $F_{a}$ implies the usual Riemann hypothesis. Our claim follows from these equations and our assumptions for $|d_{F_{a}}|$ and $[F_{a}:\mathbb{Q}]$ .◻

We consider the last term of (6). Since $x/p_{1}\cdots p_{n-1}\geqslant p_{n-1}$ , we get

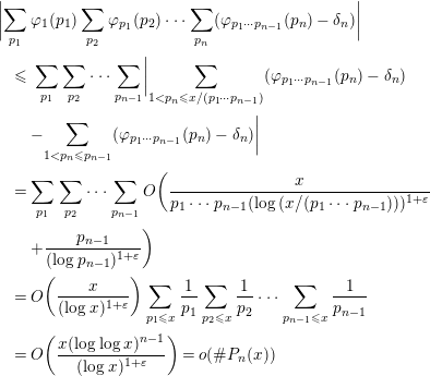
$$\begin{eqnarray}\displaystyle & & \displaystyle \biggl|\mathop{\sum }_{p_{1}}\unicode[STIX]{x1D711}_{1}(p_{1})\mathop{\sum }_{p_{2}}\unicode[STIX]{x1D711}_{p_{1}}(p_{2})\cdots \mathop{\sum }_{p_{n}}(\unicode[STIX]{x1D711}_{p_{1}\cdots p_{n-1}}(p_{n})-\unicode[STIX]{x1D6FF}_{n})\biggr|\nonumber\\ \displaystyle & & \displaystyle \quad \leqslant \,\mathop{\sum }_{p_{1}}\mathop{\sum }_{p_{2}}\cdots \mathop{\sum }_{p_{n-1}}\biggl|\mathop{\sum }_{1<p_{n}\leqslant x/(p_{1}\cdots p_{n-1})}(\unicode[STIX]{x1D711}_{p_{1}\cdots p_{n-1}}(p_{n})-\unicode[STIX]{x1D6FF}_{n})\nonumber\\ \displaystyle & & \displaystyle \qquad -\mathop{\sum }_{1<p_{n}\leqslant p_{n-1}}(\unicode[STIX]{x1D711}_{p_{1}\cdots p_{n-1}}(p_{n})-\unicode[STIX]{x1D6FF}_{n})\biggr|\nonumber\\ \displaystyle & & \displaystyle \quad =\mathop{\sum }_{p_{1}}\mathop{\sum }_{p_{2}}\cdots \mathop{\sum }_{p_{n-1}}O\biggl(\frac{x}{p_{1}\cdots p_{n-1}(\log (x/(p_{1}\cdots p_{n-1})))^{1+\unicode[STIX]{x1D700}}}\nonumber\\ \displaystyle & & \displaystyle \qquad +\frac{p_{n-1}}{(\log p_{n-1})^{1+\unicode[STIX]{x1D700}}}\biggr)\nonumber\\ \displaystyle & & \displaystyle \quad =O\biggl(\frac{x}{(\log x)^{1+\unicode[STIX]{x1D700}}}\biggr)\mathop{\sum }_{p_{1}\leqslant x}\frac{1}{p_{1}}\mathop{\sum }_{p_{2}\leqslant x}\frac{1}{p_{2}}\cdots \mathop{\sum }_{p_{n-1}\leqslant x}\frac{1}{p_{n-1}}\nonumber\\ \displaystyle & & \displaystyle \quad =O\biggl(\frac{x(\log \log x)^{n-1}}{(\log x)^{1+\unicode[STIX]{x1D700}}}\biggr)=o(\#P_{n}(x))\nonumber\end{eqnarray}$$

from Lemmas 3 and (5).

Next we see the middle terms in the right-hand side of (6). We first claim

(7) $$\begin{eqnarray}\mathop{\sum }_{p_{n-1}<p_{n}\leqslant x/(p_{1}\cdots p_{n-1})}1=\frac{x}{p_{1}\cdots p_{n-1}\log x}+O\biggl(\frac{x\log p_{n-1}}{p_{1}\cdots p_{n-1}(\log x)^{2}}\biggr).\end{eqnarray}$$

In fact, from (2) we have

$$\begin{eqnarray}\displaystyle & & \displaystyle \mathop{\sum }_{1<p_{n}\leqslant (x/(p_{1}\cdots p_{n-1}))}1=\frac{x}{p_{1}\cdots p_{n-1}\log (x/(p_{1}\cdots p_{n-1}))}\nonumber\\ \displaystyle & & \displaystyle \qquad +\,O\biggl(\frac{x}{p_{1}\cdots p_{n-1}(\log (x/(p_{1}\cdots p_{n-1})))^{2}}\biggr)\nonumber\\ \displaystyle & & \displaystyle \quad =\frac{x}{p_{1}\cdots p_{n-1}\log x}+\frac{x\log (p_{1}\cdots p_{n-1})}{p_{1}\cdots p_{n-1}\log (x/(p_{1}\cdots p_{n-1}))\log x}\nonumber\\ \displaystyle & & \displaystyle \qquad +\,O\biggl(\frac{x}{p_{1}\cdots p_{n-1}(\log x)^{2}}\biggr)\nonumber\\ \displaystyle & & \displaystyle \quad =\frac{x}{p_{1}\cdots p_{n-1}\log x}+O\biggl(\frac{x\log p_{n-1}}{p_{1}\cdots p_{n-1}(\log x)^{2}}\biggr),\nonumber\end{eqnarray}$$

and from

$$\begin{eqnarray}O\biggl(\frac{p_{n-1}}{(\log p_{n-1})^{2}}\biggr)=O\biggl(\frac{x/(p_{1}\cdots p_{n-1})}{(\log (x/(p_{1}\cdots p_{n-1})))^{2}}\biggr)=O\biggl(\frac{x}{p_{1}\cdots p_{n-1}(\log x)^{2}}\biggr)\end{eqnarray}$$

we have

$$\begin{eqnarray}\mathop{\sum }_{1<p_{n}\leqslant p_{n-1}}1=O\biggl(\frac{p_{n-1}}{\log p_{n-1}}\biggr)=O\biggl(\frac{x\log p_{n-1}}{p_{1}\cdots p_{n-1}(\log x)^{2}}\biggr).\end{eqnarray}$$

Hence, (7) follows. Then we can ignore the error term of (7) since

$$\begin{eqnarray}\displaystyle & & \displaystyle \mathop{\sum }_{p_{1}}\mathop{\sum }_{p_{2}}\cdots \mathop{\sum }_{p_{n-1}}O\biggl(\frac{x\log p_{n-1}}{p_{1}\cdots p_{n-1}(\log x)^{2}}\biggr)\nonumber\\ \displaystyle & & \displaystyle \quad =O\biggl(\frac{x}{(\log x)^{2}}\biggr)\mathop{\sum }_{p_{1}\leqslant x}\frac{1}{p_{1}}\mathop{\sum }_{p_{2}\leqslant x}\frac{1}{p_{2}}\cdots \mathop{\sum }_{p_{n-1}\leqslant x}\frac{\log p_{n-1}}{p_{n-1}}\nonumber\\ \displaystyle & = & \displaystyle O\biggl(\frac{x(\log \log x)^{n-2}}{\log x}\biggr)=o(\#P_{n}(x))\nonumber\end{eqnarray}$$

from (3) and (4). Thus, we have to estimate

(8) $$\begin{eqnarray}\displaystyle & & \displaystyle \mathop{\sum }_{p_{1}}\unicode[STIX]{x1D711}_{1}(p_{1})\cdots \mathop{\sum }_{p_{k}}(\unicode[STIX]{x1D711}_{p_{1}\cdots p_{k-1}}(p_{k})-\unicode[STIX]{x1D6FF}_{k})\mathop{\sum }_{p_{k+1}}\unicode[STIX]{x1D6FF}_{k+1}\cdots \nonumber\\ \displaystyle & & \displaystyle \quad \mathop{\sum }_{p_{n-1}}\unicode[STIX]{x1D6FF}_{n-1}\frac{\unicode[STIX]{x1D6FF}_{n}x}{p_{1}\cdots p_{n-1}\log x}\nonumber\\ \displaystyle & & \displaystyle \quad =O\biggl(\frac{x}{\log x}\biggr)\mathop{\sum }_{p_{1}}\frac{1}{p_{1}}\cdots \mathop{\sum }_{p_{k_{1}}}\frac{1}{p_{k-1}}\nonumber\\ \displaystyle & & \displaystyle \quad \biggl|\mathop{\sum }_{p_{k}}\frac{\unicode[STIX]{x1D711}_{p_{1}\cdots p_{k-1}}(p_{k})-\unicode[STIX]{x1D6FF}_{k}}{p_{k}}\mathop{\sum }_{p_{k+1}}\frac{1}{p_{k+1}}\cdots \mathop{\sum }_{p_{n-1}}\frac{1}{p_{n-1}}\biggr|\end{eqnarray}$$

for $1\leqslant k\leqslant n-1$ .We write

$$\begin{eqnarray}s_{k}=\mathop{\sum }_{p_{k}<p_{k+1}\leqslant (x/(p_{1}\cdots p_{k}))^{1/(n-k)}}\frac{1}{p_{k+1}}\cdots \mathop{\sum }_{p_{n-2}<p_{n-1}\leqslant (x/(p_{1}\cdots p_{n-2}))^{1/2}}\frac{1}{p_{n-1}}\end{eqnarray}$$

for $1\leqslant k\leqslant n-2$ and $s_{n-1}=1$ . Then we prove

(9) $$\begin{eqnarray}s_{k}=\frac{(\log \log x-\log \log p_{k})^{n-k-1}}{(n-k-1)!}+O((\log \log x)^{n-k-2})\end{eqnarray}$$

for $1\leqslant k\leqslant n-1$ . If $k=n-1$ it is obvious, and if $k=n-2$ it follows from (3) and (5). Suppose $2\leqslant k\leqslant n-2$ . Put

$$\begin{eqnarray}f_{1}(t)=\frac{(\log \log x-\log \log t)^{n-k-1}}{(n-k-1)!}.\end{eqnarray}$$

Suppose now $s_{k}=f_{1}(p_{k})+O((\log \log x)^{n-k-2})$ . Let

$$\begin{eqnarray}y=\biggl(\frac{x}{p_{1}\cdots p_{k-1}}\biggr)^{1/(n-k+1)}\end{eqnarray}$$

then from (5),

$$\begin{eqnarray}\log \log y=\log \log x+O(1),\qquad f_{1}(y)=O(1).\end{eqnarray}$$

Let $C_{1}(t)=\sum _{p\leqslant t}1/p$ . Then from (3)

$$\begin{eqnarray}C_{1}(t)=\log \log t+O(1).\end{eqnarray}$$

Next we quote Abel’s summation formula [Reference Hardy and Wright7, Theorem 421]:

Proposition 6. Let $\{{c_{m}\}}_{m\in \mathbb{N}}$ be a sequence of numbers. Put

$$\begin{eqnarray}C(t)=\mathop{\sum }_{m\leqslant t}c_{m}.\end{eqnarray}$$

Let $f(t)$ be a function which is continuously differentiable for $t\geqslant 1$ . Then

$$\begin{eqnarray}\mathop{\sum }_{x<m\leqslant y}c_{m}f(m)=C(y)f(y)-C(x)f(x)-\int _{x}^{y}C(t)f^{\prime }(t)\,dt.\end{eqnarray}$$

Using this proposition we have

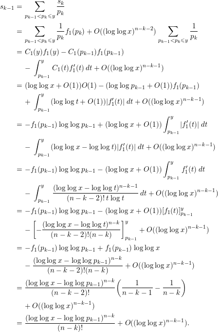
$$\begin{eqnarray}\displaystyle s_{k-1} & = & \displaystyle \mathop{\sum }_{p_{k-1}<p_{k}\leqslant y}\frac{s_{k}}{p_{k}}\nonumber\\ \displaystyle & = & \displaystyle \mathop{\sum }_{p_{k-1}<p_{k}\leqslant y}\frac{1}{p_{k}}f_{1}(p_{k})+O((\log \log x)^{n-k-2})\mathop{\sum }_{p_{k-1}<p_{k}\leqslant y}\frac{1}{p_{k}}\nonumber\\ \displaystyle & = & \displaystyle C_{1}(y)f_{1}(y)-C_{1}(p_{k-1})f_{1}(p_{k-1})\nonumber\\ \displaystyle & & \displaystyle -\,\int _{p_{k-1}}^{y}C_{1}(t)f_{1}^{\prime }(t)\,dt+O((\log \log x)^{n-k-1})\nonumber\\ \displaystyle & = & \displaystyle (\log \log x+O(1))O(1)-(\log \log p_{k-1}+O(1))f_{1}(p_{k-1})\nonumber\\ \displaystyle & & \displaystyle +\,\int _{p_{k-1}}^{y}(\log \log t+O(1))|f_{1}^{\prime }(t)|\,dt+O((\log \log x)^{n-k-1})\nonumber\\ \displaystyle & = & \displaystyle -f_{1}(p_{k-1})\log \log p_{k-1}+(\log \log x+O(1))\int _{p_{k-1}}^{y}|f_{1}^{\prime }(t)|\,dt\nonumber\\ \displaystyle & & \displaystyle -\,\int _{p_{k-1}}^{y}(\log \log x-\log \log t)|f_{1}^{\prime }(t)|\,dt+O((\log \log x)^{n-k-1})\nonumber\\ \displaystyle & = & \displaystyle -f_{1}(p_{k-1})\log \log p_{k-1}-(\log \log x+O(1))\int _{p_{k-1}}^{y}f_{1}^{\prime }(t)\,dt\nonumber\\ \displaystyle & & \displaystyle -\,\int _{p_{k-1}}^{y}\frac{(\log \log x-\log \log t)^{n-k-1}}{(n-k-2)!\,t\log t}\,dt+O((\log \log x)^{n-k-1})\nonumber\\ \displaystyle & = & \displaystyle -f_{1}(p_{k-1})\log \log p_{k-1}-(\log \log x+O(1))[f_{1}(t)]_{p_{k-1}}^{y}\nonumber\\ \displaystyle & & \displaystyle -\,\biggl[-\frac{(\log \log x-\log \log t)^{n-k}}{(n-k-2)!(n-k)}\biggr]_{p_{k-1}}^{y}+O((\log \log x)^{n-k-1})\nonumber\\ \displaystyle & = & \displaystyle -f_{1}(p_{k-1})\log \log p_{k-1}+f_{1}(p_{k-1})\log \log x\nonumber\\ \displaystyle & & \displaystyle -\,\frac{(\log \log x-\log \log p_{k-1})^{n-k}}{(n-k-2)!(n-k)}+O((\log \log x)^{n-k-1})\nonumber\\ \displaystyle & = & \displaystyle \frac{(\log \log x-\log \log p_{k-1})^{n-k}}{(n-k-2)!}\biggl(\frac{1}{n-k-1}-\frac{1}{n-k}\biggr)\nonumber\\ \displaystyle & & \displaystyle +\,O((\log \log x)^{n-k-1})\nonumber\\ \displaystyle & = & \displaystyle \frac{(\log \log x-\log \log p_{k-1})^{n-k}}{(n-k)!}+O((\log \log x)^{n-k-1}).\nonumber\end{eqnarray}$$

Hence we have proved (9) by induction.

Next we claim

(10) $$\begin{eqnarray}\mathop{\sum }_{\quad p_{k-1}<p_{k}\leqslant (x/(p_{1}\cdots p_{k-1}))^{1/(n-k+1)}}\frac{\unicode[STIX]{x1D711}_{p_{1}\cdots p_{k-1}}(p_{k})-\unicode[STIX]{x1D6FF}_{k}}{p_{k}}s_{k}=O((\log \log x)^{n-k-1})\end{eqnarray}$$

for $1\leqslant k\leqslant n-1$ . In fact, let

$$\begin{eqnarray}\displaystyle y & = & \displaystyle \biggl(\frac{x}{p_{1}\cdots p_{k-1}}\biggr)^{1/(n-k+1)};\nonumber\\ \displaystyle f_{2}(t) & = & \displaystyle \frac{(\log \log x-\log \log t)^{n-k-1}}{(n-k-1)!\,t};\nonumber\\ \displaystyle C_{2}(t) & = & \displaystyle \mathop{\sum }_{p\leqslant t}(\unicode[STIX]{x1D711}_{p_{1}\cdots p_{k-1}}(p)-\unicode[STIX]{x1D6FF}_{k}).\nonumber\end{eqnarray}$$

Then from (9) we have

$$\begin{eqnarray}\frac{s_{k}}{p_{k}}=f_{2}(p_{k})+O\biggl(\frac{(\log \log x)^{n-k-2}}{p_{k}}\biggr),\end{eqnarray}$$

and from Lemma 3,

$$\begin{eqnarray}C_{2}(t)=O\biggl(\frac{t}{(\log t)^{1+\unicode[STIX]{x1D700}}}\biggr)\end{eqnarray}$$

for $t\geqslant p_{k-1}$ . Similarly as before, by Proposition 6,

$$\begin{eqnarray}\displaystyle & & \displaystyle \mathop{\sum }_{p_{k-1}<p_{k}\leqslant y}\frac{\unicode[STIX]{x1D711}_{p_{1}\cdots p_{k-1}}(p_{k})-\unicode[STIX]{x1D6FF}_{k}}{p_{k}}s_{k}\nonumber\\ \displaystyle & & \displaystyle \quad =\mathop{\sum }_{p_{k-1}<p_{k}\leqslant y}(\unicode[STIX]{x1D711}_{p_{1}\cdots p_{k-1}}(p_{k})-\unicode[STIX]{x1D6FF}_{k})f_{2}(p_{k})+O((\log \log x)^{n-k-2})\nonumber\\ \displaystyle & & \displaystyle \qquad \times \,\mathop{\sum }_{p_{k-1}<p_{k}\leqslant y}\frac{1}{p_{k}}=C_{2}(y)f_{2}(y)-C_{2}(p_{k-1})f_{2}(p_{k-1})\nonumber\\ \displaystyle & & \displaystyle \qquad -\,\int _{p_{k-1}}^{y}C_{2}(t)f_{2}^{\prime }(t)\,dt+O((\log \log x)^{n-k-1})\nonumber\\ \displaystyle & & \displaystyle \quad =O\biggl(\frac{y}{(\log y)^{1+\unicode[STIX]{x1D700}}}\biggr)O\biggl(\frac{1}{y}\biggr)+O\biggl(\frac{p_{k-1}}{(\log p_{k-1})^{1+\unicode[STIX]{x1D700}}}\biggr)O\biggl(\frac{(\log \log x)^{n-k-1}}{p_{k-1}}\biggr)\nonumber\\ \displaystyle & & \displaystyle \qquad +\,\int _{p_{k-1}}^{y}O\biggl(\frac{t}{(\log t)^{1+\unicode[STIX]{x1D700}}}\biggr)|f_{2}^{\prime }(t)|\,dt+O((\log \log x)^{n-k-1})\nonumber\\ \displaystyle & & \displaystyle \quad =\int _{p_{k-1}}^{y}O\biggl(\frac{t}{(\log t)^{1+\unicode[STIX]{x1D700}}}\biggr)O\biggl(\frac{(\log \log x)^{n-k-1}}{t^{2}}\biggr)\,dt+O((\log \log x)^{n-k-1})\nonumber\\ \displaystyle & & \displaystyle \quad =O((\log \log x)^{n-k-1})\int _{p_{k-1}}^{y}\frac{1}{t(\log t)^{1+\unicode[STIX]{x1D700}}}\,dt+O((\log \log x)^{n-k-1})\nonumber\\ \displaystyle & & \displaystyle \quad =O((\log \log x)^{n-k-1})\biggl[-\frac{1}{(\log t)^{\unicode[STIX]{x1D700}}}\biggr]_{p_{k-1}}^{y}+O((\log \log x)^{n-k-1})\nonumber\\ \displaystyle & & \displaystyle \quad =O((\log \log x)^{n-k-1}).\nonumber\end{eqnarray}$$

Thus (10) follows.

Therefore, (8) becomes

$$\begin{eqnarray}\displaystyle & & \displaystyle O\biggl(\frac{x}{\log x}\biggr)\mathop{\sum }_{p_{1}}\frac{1}{p_{1}}\cdots \mathop{\sum }_{p_{k-1}}\frac{1}{p_{k-1}}O((\log \log x)^{n-k-1})\nonumber\\ \displaystyle & & \displaystyle \quad =O\biggl(\frac{x(\log \log x)^{n-2}}{\log x}\biggr)=o(\#P_{n}(x)).\nonumber\end{eqnarray}$$

Hence we have completed the proof.

5 Densities for the remaining groups

We cannot get the densities for the remaining groups because we do not know any conditions for them in which Theorem 2 can be applied. We want to know about the conditions $h_{2}(-pq)=2^{n},h_{2}(qr)=2^{n}$ or $\mathbf{N}\unicode[STIX]{x1D700}_{qr}=1$ in detail.

Cohn and Lagarias [Reference Cohn and Lagarias2] considered $\operatorname{Cl}_{2}(\mathbb{Q}(\sqrt{dp}))$ as $p$ varies where $d\not \equiv 2~(4)$ is an integer. They conjectured that the splitting of primes in a number field determines the structure of $\operatorname{Cl}_{2}(\mathbb{Q}(\sqrt{dp}))$ , and they also considered numerically. Here we consider $h_{2}(dp)$ and $h_{2}^{+}(dp)$ where $d$ is an odd prime discriminant.

We suggest the following conjecture:

Conjecture 1.

  1. (1) For a prime $p\equiv -1~(4)$ and an integer $n\geqslant 1$ , there are $F_{p}^{(n)}$ and ${\mathcal{C}}_{p}^{(n)}$ as in Section 3 such that for a prime $q\equiv 1~(4)$ which does not ramify in $F_{p}^{(n)}$ ,

    In addition, $\#{\mathcal{C}}_{p}^{(n)}/[F_{p}^{(n)}:\mathbb{Q}]=1/2^{n}$ . And the similar one holds for $p\equiv 1~(4)$ and $q\equiv -1~(4)$ .
  2. (2) For a prime $p\equiv 1~(4)$ and integers $m,n$ with $1\leqslant m\leqslant n\leqslant m+1$ , there are $F_{p}^{(m,n)}$ and ${\mathcal{C}}_{p}^{(m,n)}$ as in Section 3 such that for a prime $q\equiv 1~(4)$ which does not ramify in $F_{p}^{(m,n)}\!$ ,

    In addition, $\#{\mathcal{C}}_{p}^{(m,n)}/[F_{p}^{(m,n)}:\mathbb{Q}]=1/2^{m+n-1}$ .

Note that $h_{2}(pq)=h_{2}^{+}(pq)$ if and only if $\mathbf{N}\unicode[STIX]{x1D700}_{pq}=-1$ .

Stevenhagen [Reference Stevenhagen16] showed that the narrow $8$ -ranks of quadratic fields are determined by number fields. Hence the cases $n\leqslant 2$ in both 1 and 2 of Conjecture 1 are known to be true. Unfortunately however, Milovic [Reference Milovic13] gives some evidence against Conjecture 1 for $n\geqslant 3$ .

We calculated the numbers of $pq<10^{7}$ ( $p,q:$ primes) with $-p\equiv q\equiv 1~(4),h_{2}(-pq)=2^{n}$ ; and also with $p\equiv q\equiv 1~(4)$ and $h_{2}(pq)h_{2}^{+}(pq)/2=2^{n}$ for each $n\in \mathbb{N}$ (using SageMath 6.10); see Table 2. Note that both $p$ and $q$ vary.

Table 2. Numbers of $pq<10^{7}$ with $h_{2}(-pq)=2^{n}$ and with $h_{2}(pq)h_{2}^{+}(pq)/2=2^{n}$ .

Table 3. Conjectured densities.

This conjecture yields the densities for the remaining groups:

Theorem 4. Assume that Conjecture 1 holds. In addition, we assume that each $F_{p}$ in Conjecture 1 satisfies

$$\begin{eqnarray}\log |d_{F_{p}}|=O\biggl(\frac{\sqrt{p}}{(\log p)^{1+\unicode[STIX]{x1D700}}}\biggr),\qquad [F_{p}:\mathbb{Q}]=O\biggl(\frac{\sqrt{p}}{(\log p)^{2+\unicode[STIX]{x1D700}}}\biggr).\end{eqnarray}$$

Moreover we assume GRH.

Then the results in Table 3 hold.

Proof. From our assumptions, we can apply Theorem 2. We omit the details.

Note that $\unicode[STIX]{x1D6FF}(\cdot /B(V_{4}))$ is not countably additive in general. In this case, however, we can calculate the densities of $A_{Q}=\bigcup _{n=3}^{\infty }A(Q_{2^{n}})$ and $A_{D}=\bigcup _{n=3}^{\infty }A(D_{2^{n}})$ . In fact, for $N,x\in \mathbb{N}$

$$\begin{eqnarray}\mathop{\sum }_{n=3}^{N}\#A(Q_{2^{n}})(x)=\#\mathop{\bigcup }_{n=3}^{N}A(Q_{2^{n}})(x)\leqslant \#A_{Q}(x)\end{eqnarray}$$

where $A(x)=\{\,m\in A\,|\,m\leqslant x\,\}$ for $A\subseteq \mathbb{N}$ . Hence,

$$\begin{eqnarray}\mathop{\sum }_{n=3}^{N}\unicode[STIX]{x1D6FF}(A(Q_{2^{n}})/B(V_{4}))=\mathop{\sum }_{n=3}^{N}\lim _{x\rightarrow \infty }\frac{\#A(Q_{2^{n}})(x)}{\#B(V_{4})(x)}\leqslant \liminf _{x\rightarrow \infty }\frac{\#A_{Q}(x)}{\#B(V_{4})(x)}\end{eqnarray}$$

for $N\in \mathbb{N}$ . Hence,

$$\begin{eqnarray}\frac{2}{7}=\mathop{\sum }_{n=3}^{\infty }\unicode[STIX]{x1D6FF}(A(Q_{2^{n}})/B(V_{4}))\leqslant \liminf _{x\rightarrow \infty }\frac{\#A_{Q}(x)}{\#B(V_{4})(x)}.\end{eqnarray}$$

Similarly,

$$\begin{eqnarray}\frac{1}{7}\leqslant \liminf _{x\rightarrow \infty }\frac{\#A_{D}(x)}{\#B(V_{4})(x)}.\end{eqnarray}$$

On the other hand, since

$$\begin{eqnarray}\unicode[STIX]{x1D6FF}(A_{Q}\cup A_{D}/B(V_{4}))=1-\unicode[STIX]{x1D6FF}(A(V_{4})/B(V_{4}))-\unicode[STIX]{x1D6FF}\biggl(\mathop{\bigcup }_{n\geqslant 4}A(\mathit{SD}_{2^{n}})/B(V_{4})\biggr)=\frac{3}{7},\end{eqnarray}$$

we have

$$\begin{eqnarray}\displaystyle \limsup _{x\rightarrow \infty }\frac{\#A_{Q}(x)}{\#B(V_{4})(x)} & = & \displaystyle \limsup _{x\rightarrow \infty }\biggl(\frac{\#(A_{Q}(x)\cup A_{D}(x))}{\#B(V_{4})(x)}-\frac{\#A_{D}(x)}{\#B(V_{4})(x)}\biggr)\nonumber\\ \displaystyle & = & \displaystyle \lim _{x\rightarrow \infty }\frac{\#(A_{Q}(x)\cup A_{D}(x))}{\#B(V_{4})(x)}-\liminf _{x\rightarrow \infty }\frac{\#A_{D}(x)}{\#B(V_{4})(x)}\leqslant \frac{2}{7}.\nonumber\end{eqnarray}$$

Putting these together, we obtain that all these inequalities are equalities and $\liminf =\limsup$ . It is similar for $A_{D}$ .◻

References

Benjamin, E., Lemmermeyer, F. and Snyder, C., Imaginary quadratic fields k with cyclic Cl2(k 1) , J. Number Theory 67(2) (1997), 229245.Google Scholar
Cohn, H. and Lagarias, J. C., On the existence of fields governing the 2-invariants of the classgroup of Q(√dp) as p varies , Math. Comp. 41(164) (1983), 711730.Google Scholar
Fröhlich, A. and Taylor, M. J., Algebra Number Theory, Cambridge Studies in Advanced Mathematics 27 , Cambridge University Press, Cambridge, 1993.Google Scholar
Furtwängler, P., Über das Verhalten der Ideale des Grundkörpers im Klassenkörper , Monatsh. Math. 27 (1916), 115.Google Scholar
Gerth, F. III, Counting certain number fields with prescribed l-class numbers , J. Reine Angew. Math. 337 (1982), 195207.Google Scholar
Gerth, F. III, On 2-class field towers for quadratic number fields with 2-class group of type (2, 2) , Glasgow Math. J. 40(1) (1998), 6369.Google Scholar
Hardy, G. H. and Wright, E. M., An Introduction to the Theory of Numbers, 4th ed. The Clarendon Press, Oxford, 1965.Google Scholar
Kisilevsky, H., Number fields with class number congruent to 4 mod 8 and Hilbert’s theorem 94 , J. Number Theory 8(3) (1976), 271279.Google Scholar
Koch., Helmut, Introduction to Classical Mathematics. I, Mathematics and its Applications 70 , Kluwer Academic Publishers Group, Dordrecht, 1991, From the quadratic reciprocity law to the uniformization theorem, Translated and revised from the 1986 German original, Translated by John Stillwell.Google Scholar
Lagarias, J. C. and Odlyzko, A. M., “ Effective versions of the Chebotarev density theorem ”, in Algebraic number fields: L-functions and Galois properties (Proc. Sympos., Univ. Durham, Durham, 1975), Academic Press, London, 1977, 409464.Google Scholar
Lang, S., Algebraic Number Theory, 2nd ed., Graduate Texts in Mathematics 110 , Springer, New York, 1994.Google Scholar
Lemmermeyer, F., Reciprocity Laws, Springer Monographs in Mathematics, Springer, Berlin, 2000. From Euler to Eisenstein.Google Scholar
Milovic, D., On the 16-rank of class groups of ℚ(√-8p) for p ≡-1 mod 4 , Geom. Funct. Anal. 27(4) (2017), 9731016.Google Scholar
Rédei, L. and Reichardt, H., Die Anzahl der durch vier teilbaren Invarianten der Klassengruppe eines beliebigen quadratischen Zahlkörpers , J. Reine Angew. Math. 170 (1934), 6974.Google Scholar
Serre, J.-P., Quelques applications du théorème de densité de Chebotarev , Publ. Math. Inst. Hautes Études Sci. 54 (1981), 323401.Google Scholar
Stevenhagen, P., “ Ray class groups and governing fields ”, in Théorie des nombres, Publ. Math. Fac. Sci. Besançon, Univ. Franche-Comté, Besançon, 1989, 93.Google Scholar
Taussky, O., A Remark on the Class Field Tower , J. Lond. Math. Soc. (2) s1‐12(2) (1937), 8285.Google Scholar
Washington, L. C., Introduction to Cyclotomic Fields, 2nd ed., Graduate Texts in Mathematics 83 , Springer, New York, 1997.Google Scholar
Yamamoto, Y., Divisibility by 16 of class number of quadratic fields whose 2-class groups are cyclic , Osaka J. Math. 21(1) (1984), 122.Google Scholar
Figure 0

Table 1. Densities.

Figure 1

Table 2. Numbers of $pq<10^{7}$ with $h_{2}(-pq)=2^{n}$ and with $h_{2}(pq)h_{2}^{+}(pq)/2=2^{n}$.

Figure 2

Table 3. Conjectured densities.