Introduction
The number of people with intellectual disability (ID) who reach older age is increasing (Haveman, Reference Haveman2004; Coppus, Reference Coppus2013; Dieckmann et al. Reference Dieckmann, Giovis and Offergeld2015). Moreover, the ageing process starts at a younger age among people with ID (WHO, 2000), and they show signs of frailty earlier than the general population (Evenhuis et al. Reference Evenhuis, Hermans, Hilgenkamp, Bastiaanse and Echteld2012). A few studies that have focused on psychiatric diagnoses among older people with ID suggest that old age increases the risk of overall psychiatric morbidity, dementia, anxiety disorder and depression (Cooper, Reference Cooper1997a, Reference Cooperb; Deb et al. Reference Deb, Thomas and Bright2001). In wider and/or younger age groups, people with ID may have a higher risk for psychiatric disorders than the general population (Bhaumik et al. Reference Bhaumik, Tyrer, McGrother and Ganghadaran2008; Nettelbladt et al. Reference Nettelbladt, Goth, Bogren and Mattisson2009; Yoo et al. Reference Yoo, Valdovinos and Schroeder2012). If this can be extrapolated into older age groups is uncertain.
An accurate psychiatric diagnosis for a person with ID can be difficult to make, due to e.g. communication difficulties, physical health issues (Bhaumik et al. Reference Bhaumik, Tyrer, McGrother and Ganghadaran2008), diagnostic overshadowing (Reiss & Szyszko, Reference Reiss and Szyszko1983) and lack of assessment tools adapted for people with ID (Alexander & Cooray, Reference Alexander and Cooray2003; Moreland et al. Reference Moreland, Hendy and Brown2008; Hermans & Evenhuis, Reference Hermans and Evenhuis2010). This is most likely true for all psychiatric diagnoses for which there are no objective markers, i.e. with disorders due to alcohol or substance use as the only exception. Due to this, a large part of psychiatric morbidity in people with ID may be hidden (Salvador-Carulla et al. Reference Salvador-Carulla, Rodriguez-Blazquez, de Molina, Perez-Marin and Velazquez2000), and it has been suggested that people with ID do not receive the services that their health conditions require (Ouellette-Kuntz et al. Reference Ouellette-Kuntz, Garcin, Lewis, Minnes, Martin and Holden2005).
Having one psychiatric disorder seems to be a risk factor for more psychiatric disorders among people with ID (Goldberg et al. Reference Goldberg, Gitta and Puddephatt1995; Lidher et al. Reference Lidher, Martin, Jayaprakash and Roy2005; Bakken et al. Reference Bakken, Helverschou, Eilertsen, Heggelund, Myrbakk and Martinsen2010). Some psychiatric disorders have also been suggested to be associated with higher risk of physical disorders (e.g. Moss & Patel, Reference Moss and Patel1997; Cooper, Reference Cooper1999). Further, psychiatric disorders such as schizophrenia-spectrum psychoses appear to be more debilitating among people with ID (Bouras et al. Reference Bouras, Martin, Leese, Vanstraelen, Holt, Thomas, Hindler and Boardman2004). Thus, failure to correctly diagnose psychiatric disorders in people with ID may have severe consequences for the individual.
By assessing patterns of psychiatric diagnoses in older people with ID, and comparing these to those in the general population, important knowledge can be made available to policy makers, health organizations and service providers. This knowledge may then provide the basis for improvements in support and service for ageing people with ID.
The aim of the present study was to describe the occurrence of psychiatric diagnoses in a specialist care setting in older people with ID in relation to those found in the same age group in the general population.
Material and methods
This was a register-based study investigating psychiatric diagnoses among older people with ID in comparison with same-aged people from the general population. The study cohorts were defined using national registers, and outcome data were collected from national registers.
Study population
In Sweden, people with an ID or autism spectrum disorder (ASD) can apply for services according to the Act Concerning Support and Service for People with Certain Functional Impairments (Swedish abbreviation: LSS) (SFS 1993:387, 1993). People with a diagnosis of ID or ASD are eligible to apply for support through a case manager in the municipality. All support provided by the municipality is documented in the LSS-register, which is managed by the Swedish National Board of Health and Welfare, a government agency under the Ministry of Health and Social Affairs.
In the present study, we used LSS support as a proxy for ID. Through the LSS-register, all people with at least one form of support, aged 55 years and above in 2012 were identified (ID cohort). In addition, they had to be alive at the end of that year. A one-to-one sex and age-matched control cohort from the general population (gPop cohort) was established by Statistics Sweden using the Swedish population register. People included in the ID cohort could not be included in the gPop cohort also. However, people with ID but without LSS support were not excluded from the gPop cohort.
Outcomes
The Swedish National Patient Register (NPR) is also managed by the Swedish National Board of Health and Welfare. It contains information about all in- and outpatient specialist care in Sweden. However, it does not contain information about visits to primary health care. For inpatient care, registration in the NPR is made at the date of discharge, and for outpatient care it is made at the date of the visit. For each registration, one primary and up to 21 secondary diagnoses are listed, coded according to the 10th revision of the International Classification of Disease (ICD-10).
Information on psychiatric diagnoses during the study period was obtained from the NPR for 2002–2012. The mean age at the start of data collection (i.e. 1 January 2002) was 53 years (range 44–85 years). These were categorised as attention deficit/hyperactivity disorder (ADHD) and equivalents, psychotic disorders, affective disorders, anxiety disorders, personality disorders, alcohol/substance-abuse-related disorders, dementia or other psychiatric disorders (Table 1). Each person was categorised as having none or at least one diagnosis in each diagnostic category during the study period, and the date of the first record of each diagnosis for each person was noted. We did not differentiate between primary and secondary diagnoses. Thus, a secondary diagnosis of e.g. dementia would classify an individual as having at least one dementia diagnosis even if the primary diagnosis for that visit was another psychiatric diagnosis.
Table 1. Diagnostic category definition and number of people in a general population sample (gPop, n = 7936) and among people with intellectual disability (ID, n = 7936) with at least one diagnosis and at least one primary diagnosis, respectively, during 2002–2012

Numbers are not given for cells where there are less than five observations.
Statistics
To compare the number of people with at least one of each respective category of psychiatric diagnoses in the ID cohort to the corresponding number in the gPop cohort, we estimated odds ratios (ORs) with 95% confidence intervals (CIs) using logistic regression. In order to illustrate possible age-effects, we performed age stratified analyses, using the 5-year age categories. Moreover, we investigated age effects within the ID cohort by comparing each age group to the youngest one. Statistical interaction was evaluated by introducing an interaction term (e.g. cohort*age group) to the logistic regression model, and trends were assessed by treating the category variable as a continuous factor.
In order to evaluate using the LSS register as a proxy for ID, we performed sensitivity analyses on sub-cohorts of people with known diagnosis of either ID or ASD. Through diagnoses available from the NPR, we were able to identify 1145 men and 1002 women who had at least one diagnosis of ID (F7 in ICD-10) during 2002–2012. Moreover, we identified 242 men and 156 women who had at least one diagnosis of ASD (F84, excluding F84.1 and F84.5, in ICD-10). The overlap was 209 individuals. Analyses were made comparing psychiatric diagnoses among those with ASD only to those with ID only or ASD in combination with ID. Also, as people with ID may be difficult to diagnose with respect to psychiatric disorders, we performed sensitivity analyses including only diagnoses recorded at psychiatric clinics, i.e. by psychiatric specialists.
Analyses were only performed if each of the two compared group comprised at least five observations. A two-tailed p-value of 0.05 was considered statistically significant. All analyses were performed in IBM SPSS Statistics 23.
Results
Each cohort comprised 7936 people, whereof 45% were women. The percentage of women increased over the age categories, with 43% among those aged 55–59 years (total n = 2559 in each cohort), 44% among those aged 60–64 years (n = 2097), 46% among those aged 65–69 years (n = 1636), 48% among those aged 70–74 years (n = 839) and 53% among those aged 75+ years (n = 805).
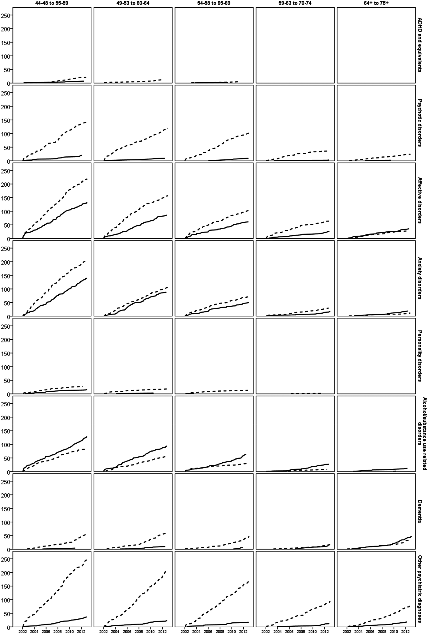
Figure 1 describes the cumulative number of people with a recorded diagnosis during the study period, by cohort, age group and diagnostic category. The rightmost end of each line corresponds to the number of people for whom each diagnosis was recorded at least once during the study period, which is also given in Table 2. Increased ORs for the ID cohort were found for all diagnostic categories except alcohol/substance-abuse-related disorders. The ORs that indicated increased odds for the ID cohort ranged from 1.36 (anxiety disorders) to 10.4 (psychotic disorders). Sensitivity analyses including only diagnoses recorded in psychiatric care increased the OR for dementia by 60% (from 2.71 to 4.34), for ‘other psychiatric diagnosis’ by 29% (from 8.02 to 10.32), for any psychiatric diagnosis by 24% (from 1.84 to 2.28), and for anxiety disorders by 16% (from 1.36 to 1.58). For all other diagnostic categories, the results remained similar (less than 15% change; ORs not shown).

Fig. 1. Cumulative number of people with diagnoses within different diagnostic categories during 2002–2012 in a cohort of 7936 people with ID (broken lines) and a same-sized sample from the general population, one-to-one matched by age and sex (gPop, solid lines).
Table 2. Number of people with at least one diagnosis in different psychiatric diagnostic categories during 2002–2012, among people with intellectual disability (ID) and a one-to-one age- and sex-matched sample from the general population (gPop)

NC, not calculated as at least one cell contains less than five observations.
Comparisons of ID v. gPop are done using logistic regression, thus estimating OR with 95% confidence intervals. p values relate to the possible interaction between age group and ID. Statistically significant results are marked in bold.
a Attention deficit/hyperactive disorder.
b Originally presented in Axmon et al. (Reference Axmon, Karlsson and Ahlström2016).
c Subgroup analyses including only diagnoses recorded in specialist care.
When stratifying by age group, the results were consistent with those found for the whole cohorts for ADHD as well as psychotic, affective, anxiety, personality and ‘other’ psychiatric disorders. However, for alcohol/substance-abuse-related disorders, the OR for the ID cohort v. the gPop cohort decreased, such that it moved away from the null, with increasing age. Moreover, for dementia and any psychiatric disorder, the OR for the ID cohort v. the gPop cohort decreased towards the null with age.
Within the ID cohort, the oldest age group had lower odds than the youngest age group of psychotic, affective, and anxiety disorders, as well as of dementia and any psychiatric diagnosis (Table 3). No such effect was found for ‘other’ psychiatric diagnoses. We could not perform the corresponding analyses for ADHD, personality disorders, or alcohol/substance-abuse-related disorders as the number with recorded diagnoses in the oldest age group was too low. However, the results from the two middle age groups suggested that the odds of diagnoses of ADHD or alcohol/substance-abuse-related disorders also increased with age. In the sensitivity analyses, those with ASD only had lower odds of receiving psychiatric diagnoses than those with ID only or those with ID in combination with ASD, with exception of diagnoses of ADHD (Table 4). However, statistical significance was achieved only for affective disorders, ‘other psychiatric diagnoses’ (only in comparison with ID and ASD in combination), and ‘any’ psychiatric diagnosis.
Table 3. Number of people identified through the LSS register with at least one diagnosis in different psychiatric diagnostic categories in inpatient or specialist outpatient care during 2002–2012, grouped according to age in 2002

NC, not calculated as at least one cell contains less than five observations.
Comparisons of age groups are done using logistic regression with the youngest age group as referent group, thus estimating odds ratios (ORs) with 95% confidence intervals (CIs). Statistically significant results are marked in bold.
Table 4. Number of people identified through the LSS register with at least one diagnosis in different psychiatric diagnostic categories in inpatient or specialist outpatient care during 2002–2012, grouped according to diagnosis of intellectual disability (ID, F7 in ICD-10) and autism spectrum disorder (ASD, F84, excluding F84.1 and F84.5, in ICD-10)

Statistically significant results are marked in bold.
Discussion
Older people with ID had higher odds than their counterparts in the general population to have at least one psychiatric diagnosis recorded in inpatient or outpatient specialist care. The largest discrepancy between the two cohorts was for psychotic disorders, of which people with ID had more than ten times the odds of having a diagnosis recorded during the 11-year study period. The only diagnostic category for which a higher odds was found in the general population was alcohol/substance-abuse-related disorders.
The ID cohort is an administratively identified group of people with ID in Sweden, using the LSS-register. The people in this group were 55 years and older in 2012, and thereby belong to the group of people with ID who received services before the LSS Act (SFS 1993:387, 1993) was passed in 1993. Prior to this, people who had a diagnosis of ID were more or less automatically registered for service based on their diagnosis, and not as in the current act, after applying for support. Therefore, the cohort can be expected to fairly well cover the group of ageing people with ID in Sweden. Nevertheless, the register does not contain information on the diagnosis that was the basis for the provision of services (i.e. ID or ASD). Thereby we cannot distinguish those who have ID only or ID in combination with ASD from those who have ASD only. Sensitivity analyses showed that those with ASD only had lower odds than those with ID only or ID in combination with ASD to have different psychiatric diagnoses recorded in the NPR. Thus, the higher the fraction of people with ASD only in the ID cohort, the more likely we would be to underestimate the effect of having ID.
It is important not to confuse psychiatric diagnoses with psychiatric disorders. Whereas a disorder relates to the actual state of health of a person, a diagnosis is merely a proxy thereof. If it is more likely that a disorder will go undiagnosed than it is that a diagnosis is not linked to a disorder in a person, the number of diagnoses will tend to underestimate the true numbers, especially in non-chronic disorders. The opposite is true if diagnoses are given without an underlying disorder, e.g. if a behaviour resulting from environmental stressors is misinterpreted as symptoms of a psychiatric disorder.
The numbers provided in this study are prevalences for the study period. For chronic disorders, these prevalences may be used as estimates of point prevalence at the study end, and may therefore be compared with point prevalences presented in other studies. However, for non-chronic disorders, such comparisons are not meaningful.
Diagnosing psychiatric disorders in people with ID may be difficult, as the patient must not only recognise the symptoms but also be able to communicate them, which is not always the case, especially among those with severe or profound ID. Diagnosing is further complicated by diagnostic overshadowing (Reiss & Szyszko, Reference Reiss and Szyszko1983), i.e. when professionals attribute the symptoms of the psychiatric disorder to the ID, and masking, i.e. when the clinical characteristics of the psychiatric disorder are considered secondary to the ID. As a consequence of these diagnostic challenges, a large part of psychiatric morbidity in people with ID is hidden (Salvador-Carulla et al. Reference Salvador-Carulla, Rodriguez-Blazquez, de Molina, Perez-Marin and Velazquez2000), which may lead to an undercount in health care among people with ID. For some psychiatric disorders, assessment tools are available, at least for people with mild or moderate ID (Mindham & Espie, Reference Mindham and Espie2003; Deb et al. Reference Deb, Hare, Prior and Bhaumik2007; Antonacci & Attiah, Reference Antonacci and Attiah2008; Perez-Achiaga et al. Reference Perez-Achiaga, Nelson and Hassiotis2009; Havercamp & Scott, Reference Havercamp and Scott2015). For others, researchers have called for further development and evaluation of diagnostic systems for people with ID (Alexander & Cooray, Reference Alexander and Cooray2003; Moreland et al. Reference Moreland, Hendy and Brown2008; Hermans & Evenhuis, Reference Hermans and Evenhuis2010). This is important to be aware of when comparing the occurrence of psychiatric diagnoses among people with ID to groups with more communicative skills, such as the general population.
There are different systems to classify psychiatric disorders among people with ID. Diagnoses in the Swedish NPR, on which the present study is based, are classified according to the ICD-10. However, diagnoses may also be made according to e.g. the Diagnostic and Statistical Manual of Mental Disorders (DSM) or the Diagnostic Criteria for psychiatric disorders for use with adults with Learning Disabilities/mental retardation (DC-LD). These are not identical with respect to diagnostic criteria, and so diagnoses may differ between them. Differences between diagnostic criteria have been found both in the general population (Erkinjuntti et al. Reference Erkinjuntti, Ostbye, Steenhuis and Hachinski1997; Cheniaux et al. Reference Cheniaux, Landeira-Fernandez and Versiani2009; Nilsson et al. Reference Nilsson, Ostling, Waern, Karlsson, Sigstrom, Guo and Skoog2012) and among people with ID (Cooper et al. Reference Cooper, Smiley, Morrison, Williamson and Allan2007b; Mantry et al. Reference Mantry, Cooper, Smiley, Morrison, Allan, Williamson, Finlayson and Jackson2008; Melville et al. Reference Melville, Cooper, Morrison, Smiley, Allan, Jackson, Finlayson and Mantry2008; Strydom et al. Reference Strydom, Livingston, King and Hassiotis2008). If a diagnostic system is more or less likely to diagnose a person with ID than one from the general population, the potential risk of having the diagnosis associated with having ID would not be correctly estimated.
The training and experience of the professional making the diagnosis may also contribute to differences in diagnoses between groups. In order to investigate whether this may be an issue in the present study, we performed sensitivity analyses including only diagnoses recorded in psychiatric care. In the sensitivity analyses, ORs associated with ID increased for dementia, anxiety disorders, ‘other’ psychiatric disorders and any psychiatric disorder. If psychiatric diagnoses made in psychiatric care are more correct than diagnoses recorded in somatic care, this implies that these disorders may go undiagnosed if the person with ID is treated only in somatic clinics.
Over the 11-year study period, people with ID had three times higher odds than those in the general population to have at least one psychiatric diagnosis recorded in inpatient or outpatient specialist care. Previous studies have investigated prevalence of psychiatric diagnoses among adults up to 64 years of age and with mild or moderate ID, using diagnoses according to the ICD-10 (Deb et al. Reference Deb, Thomas and Bright2001; Schutzwohl et al. Reference Schutzwohl, Koch, Koslowski, Puschner, Voss, Salize, Pfennig and Vogel2016). When comparing these prevalences to those found in the general population, neither of them found an increased prevalence associated with ID. In studies including people older than 65 years and without restrictions regarding severity of ID, different patterns have been found. Cooper et al. (Reference Cooper, Smiley, Morrison, Williamson and Allan2007b) found a higher prevalence among people with ID than what was found in the general population in the UK when diagnosing according to the DC-LD, but not when using ICD-10 or DSM-IV. Nettelbladt et al. (Reference Nettelbladt, Goth, Bogren and Mattisson2009) found a 34% increased (based on cumulative incidence) for psychiatric diagnoses according to DSM-IV among people with ID compared with those without. Also, Cooper et al. (Reference Cooper, McLean, Guthrie, McConnachie, Mercer, Sullivan and Morrison2015) found that the prevalence of psychiatric diagnoses according to the READ code were twice as high among people with ID as among those without ID. The effect found in the present study is slightly larger than that found in these studies. This discrepancy may be explained by the differences in age distributions in the three studies, as old age, at least up until 75 years, has been found to be associated with higher rates of psychiatric morbidity among people with ID (Cooper, Reference Cooper1997b; Cooper et al. Reference Cooper, McLean, Guthrie, McConnachie, Mercer, Sullivan and Morrison2015). Differences in diagnostic criteria are also likely to account for some of the discrepancy, as is differences in the outcome measures (e.g. prevalence v. incidence).
The percentage of people with ID who had at least one psychiatric diagnosis during the study period decreased with age. Even though life expectancy is increasing among people with ID, it is still shorter than in the general population. Thus, the decrease in diagnoses among the oldest in the ID cohort may, at least partly, be due to a survival bias, i.e. that the oldest age group is healthier simply because those who had severe disorders would not have been included in the present study (as being alive was an inclusion criteria).
The largest OR for people with ID compared with those in the general population in the present study was found for diagnoses of psychotic disorders. This is well in line with previous studies investigating people with and without ID, where a considerable increase in overall psychotic disorders and schizophrenia specifically has been found for people with ID, regardless of which diagnostic system was used (Deb et al. Reference Deb, Thomas and Bright2001; Cooper et al. Reference Cooper, Smiley, Morrison, Allan, Williamson, Finlayson, Jackson and Mantry2007a, Reference Cooper, McLean, Guthrie, McConnachie, Mercer, Sullivan and Morrison2015; Gentile et al. Reference Gentile, Gillig, Stinson and Jensen2014; Howlett et al. Reference Howlett, Florio, Xu and Trollor2015; Carey et al. Reference Carey, Shah, Hosking, DeWilde, Harris, Beighton and Cook2016).
The 74% increased odds for diagnoses of affective disorders among people with ID in the present study is similar to what has been found in other community-based populations (Deb et al. Reference Deb, Thomas and Bright2001) and administratively defined cohorts (Howlett et al. Reference Howlett, Florio, Xu and Trollor2015). However, Carey et al. (Reference Carey, Shah, Hosking, DeWilde, Harris, Beighton and Cook2016) found an almost sevenfold increased prevalence of affective disorders among people with ID in comparison with the general population when studying data from primary care. The different results may in part be explained by the use of different diagnostic systems or different outcome measures. However, it may also by that although people with ID may have increased risk of affective disorders, they are not likely to receive specialist care for this type of psychiatric diagnosis.
We found diagnoses of anxiety disorders to be more common among people with ID than in the general population, which is in line with some (Gentile et al. Reference Gentile, Gillig, Stinson and Jensen2014; Carey et al. Reference Carey, Shah, Hosking, DeWilde, Harris, Beighton and Cook2016), but not all (Deb et al. Reference Deb, Thomas and Bright2001; Hermans et al. Reference Hermans, Beekman and Evenhuis2013; Howlett et al. Reference Howlett, Florio, Xu and Trollor2015), previous studies. One explanation to the different results found may be the use of different diagnoses systems or outcome measures. However, there are also other factors that may account for at least part of the discrepancy. The rate of anxiety disorders increases with age among people with ID (Cooper, Reference Cooper1997a; Hermans et al. Reference Hermans, Beekman and Evenhuis2013), but decreases with age in the general population (Ramsawh et al. Reference Ramsawh, Raffa, Edelen, Rende and Keller2009; Blay & Marinho, Reference Blay and Marinho2012). Thus, the ratio of anxiety disorders among people with ID and the general population should increase with age. This could explain the discrepancy in results between the present study and that by Deb et al. (Reference Deb, Thomas and Bright2001) and Howlett et al. (Reference Howlett, Florio, Xu and Trollor2015), as the people in these studies were younger than those in the present. The study population in (Hermans et al. (Reference Hermans, Beekman and Evenhuis2013) had, however, a similar age distribution as our study group. A drawback of that study was the use of a standardised interview not adapted to people with ID, which may underestimate the true prevalence of anxiety disorders in the group of people with ID.
Although several studies have investigated personality disorders among criminal offenders with ID, not much research has been published on this dual diagnosis in a more general ID population. The limited evidence available suggests that people with ID are at a greater risk for diagnoses of personality disorders (Pridding & Procter, Reference Pridding and Procter2008; Howlett et al. Reference Howlett, Florio, Xu and Trollor2015). The increase in diagnoses of personality disorders in the present study is thereby in agreement with and adds important information to the knowledge base regarding personality disorders among people with ID.
People with ID seem to be more sensitive than the general population to developing a substance-abuse-related disorder (McGillicuddy & Blane, Reference McGillicuddy and Blane1999; Chapman & Wu, Reference Chapman and Wu2012; van Duijvenbode et al. Reference van Duijvenbode, VanderNagel, Didden, Engels, Buitelaar, Kiewik and de Jong2015). In the present study, only two percent of those with ID had a diagnosis of alcohol/substance-abuse-related disorders. This is at the low end of previously published results (Cooper et al. Reference Cooper, McLean, Guthrie, McConnachie, Mercer, Sullivan and Morrison2015; van Duijvenbode et al. Reference van Duijvenbode, VanderNagel, Didden, Engels, Buitelaar, Kiewik and de Jong2015). As substance abuse is not necessarily a chronic state, the 11-year prevalence would be expected to be higher than point prevalences. Differences in the definition and selection of ID-group, study design, age groups studied, living conditions, severity of ID and definition of substance use may contribute to the variation in numbers. We found an almost threefold increase in odds of dementia diagnosis associated with having ID. Cooper et al. (Reference Cooper, McLean, Guthrie, McConnachie, Mercer, Sullivan and Morrison2015) and Carey et al. (Reference Carey, Shah, Hosking, DeWilde, Harris, Beighton and Cook2016) both used primary care data to identify people with ID as well as diagnosis of dementia according to READ code. In both studies, about a fourth of the group of people with ID were aged 55 years, or older, and both studies found a large increase in risk of dementia among those with ID compared with the general population. However, Gentile et al. (Reference Gentile, Gillig, Stinson and Jensen2014) who let a psychiatrist diagnose all participants, found lower prevalence of dementia among people with ID compared with the population prevalence when using data from outpatient clinics. As the authors do not provide the age of the participants, age differences may be a possible explanation for the discrepancy with other studies. Another explanation may be that people with ID and dementia are more often treated in primary care, or that different diagnostic systems identify dementia differently in people with ID.
In the present study, ADHD was the least frequent psychiatric diagnosis among people with ID, with less than one percent of the cohort getting a diagnosis during the study period. As people in this age group are unlikely to ‘lose’ their ADHD diagnosis, this number may be used as a prevalence estimate. Compared with other studies, it is a low one (Fox & Wade, Reference Fox and Wade1998; La Malfa et al. Reference La Malfa, Lassi, Bertelli, Pallanti and Albertini2008). This may partly be explained by differences in age distributions, and that primary care is not included in the present study. However, it cannot be ruled out that ADHD is underdiagnosed among older people with ID in Sweden.
The co-existence of ID and psychiatric disorders does not only have a negative impact on the individual, but also places a burden on the health care system and family members. Therefore, further research into the understanding of diagnosis and treatment of such disorders in this vulnerable group of people is vital.
Acknowledgements
We would like to acknowledge the cooperation of the FUB, The Swedish National Association for People with Intellectual Disability.
Financial Support
This work was funded by Forte, the Swedish Research Council for Health, Working Life and Welfare no. 2014–4753.
Conflict of Interest
None.
Ethical Standards
The authors assert that all procedures contributing to this work comply with the ethical standards of the relevant national and institutional committees on human experimentation and with the Helsinki Declaration of 1975, as revised in 2008. Ethical approval was obtained from the Regional Ethical Review Board in Lund (diary no 2013/15). The National Board of Health and Welfare as well as Statistics Sweden performed separate secrecy reviews in 2014 before providing access to the data. Analyses were performed using anonymised datasets.
Availability of Data and Materials
The data in the present study contain sensitive information on a very vulnerable group, i.e. people with ID. Even though the data are anonymised, it contains enough details to enable identification of single individuals. Therefore, in order to approve the study, the Regional Ethical Review Board in Lund made considerable restrictions regarding access to the data. This means we will not be able to provide other researchers with our data. However, as our database is compiled by register data only, other researchers may contact Statistics Sweden and the Swedish National Board of Health and Welfare to get access to the different registers included, and thereby recreate the database.




