Hostname: page-component-7dd5485656-6kn8j Total loading time: 0 Render date: 2025-10-29T10:01:38.518Z Has data issue: false hasContentIssue false

HEDGEHOGS IN LEHMER’S PROBLEM

Published online by Cambridge University Press:  07 September 2021

JAN-WILLEM M. VAN ITTERSUM
Affiliation:
Mathematisch Instituut, Universiteit Utrecht, Postbus 80.010, 3508 TA Utrecht, Netherlands and Max-Planck-Institut für Mathematik, Vivatsgasse 7, 53111 Bonn, Germany e-mail: j.w.m.vanittersum@uu.nl
BEREND RINGELING
Affiliation:
Department of Mathematics, IMAPP, Radboud University, PO Box 9010, 6500 GL Nijmegen, Netherlands e-mail: b.ringeling@math.ru.nl
WADIM ZUDILIN*
Affiliation:
Department of Mathematics, IMAPP, Radboud University, PO Box 9010, 6500 GL Nijmegen, Netherlands
Rights & Permissions [Opens in a new window]

Abstract

Motivated by a famous question of Lehmer about the Mahler measure, we study and solve its analytic analogue.

Information

Type
Research Article
Creative Commons
Creative Common License - CCCreative Common License - BY
This is an Open Access article, distributed under the terms of the Creative Commons Attribution licence (http://creativecommons.org/licenses/by/4.0/), which permits unrestricted re-use, distribution, and reproduction in any medium, provided the original work is properly cited.
Copyright
© Australian Mathematical Publishing Association Inc. 2021

1. Introduction

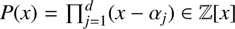
Several deep arithmetic questions are known about polynomials with integer coefficients. One of them raised by Lehmer in the 1930s asks, for a monic irreducible polynomial $P(x)=\prod _{j=1}^d(x-\alpha _j)\in \mathbb Z[x]$ , whether the quantity ${\mathrm M}(P(x))=\prod _{j=1}^d\max \{1,|\alpha _j|\}$ can be made arbitrarily close to but greater than 1. The characteristic ${\mathrm M}(P(x))$ is known as the Mahler measure [Reference Brunault and Zudilin1]; in spite of the name coined after Mahler’s work in the 1960s, many results about it are rather classical. One of them, due to Kronecker, says that ${\mathrm M}(P(x))=1$ if and only if $P(x)=x$ or the polynomial is cyclotomic, that is, all its zeros are roots of unity.

A related question, usually considered as a satellite to Lehmer’s problem, about the so-called house of a nonzero algebraic integer $\alpha $ defined through its minimal polynomial $P(x)\in \mathbb Z[x]$ as , was posed by Schinzel and Zassenhaus in the 1960s and answered only recently by Dimitrov [Reference Dimitrov2]. He proved that for any nonzero algebraic integer $\alpha $ which is not a root of unity; the latter option clearly corresponds to .

Dimitrov’s ingenious argument transforms the arithmetic problem into an analytic one. In this note we discuss the potential of Dimitrov’s approach to Lehmer’s problem.

2. Principal results

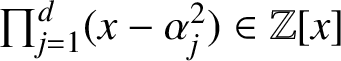
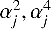
Consider a monic irreducible noncyclotomic polynomial $P(x)=\prod _{j=1}^d(x-\alpha _j)$ in $\mathbb Z[x]$ of degree $d>1$ and assume that the polynomial $\prod _{j=1}^d(x-\alpha _j^2)\in \mathbb Z[x]$ is irreducible as well. (Otherwise the Mahler measure of $P(x)$ is bounded from below through the measures of irreducible factors of the latter polynomial.) As in [Reference Dimitrov2], Dimitrov’s cyclotomicity criterion together with Kronecker’s rationality criterion and a theorem of Pólya imply that the hedgehog

$$ \begin{align*}K=K(\beta_1,\dots,\beta_n)=\bigcup_{k=1}^n[0,\beta_j] =\bigcup_{j=1}^d[0,\alpha_j^2]\cup\bigcup_{j=1}^d[0,\alpha_j^4], \end{align*} $$

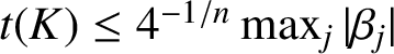
whose spines originate from the origin and end up at $\alpha _j^2,\alpha _j^4$ for $j=1,\dots ,d$ , has (logarithmic) capacity (or transfinite diameter) $t(K)$ at least 1. Then Dubinin’s theorem [Reference Dubinin3] applies, which claims that $t(K)\le 4^{-1/n}\max _j|\beta _j|$ (with equality attained if and only if the hedgehog K is rotationally symmetric), and produces the estimate for since $n\le 2d$ .

When dealing with Lehmer’s problem instead, one becomes interested in estimating the ‘Mahler measure of the hedgehog’, namely the quantity $\prod _{j=1}^n\max \{1,|\beta _j|\}$ , because any nontrivial (bounded away from 1) absolute estimate for it would imply a nontrivial estimate for the Mahler measure of $P(x)$ . In this setting, Dubinin’s theorem only implies the estimate $\prod _{j=1}^n\max \{1,|\beta _j|\}\ge 4^{1/n}$ for a hedgehog of capacity at least 1, which depends on n. The Mahler measure of the rotationally symmetric hedgehog on n spines, which is optimal in Dubinin’s result, is equal to 4 (thus, independent of n), which certainly loses out to the Mahler measure $1.91445008\dots $ of the ‘Lehmer hedgehog’ attached to the polynomial $x^{10}+x^9-x^7-x^6-x^5-x^4-x^3+x+1$ but also to the measure $3.07959562\dots $ of the hedgehog constructed on Smyth’s polynomial $x^3-x-1$ . The following question arises in a natural way.

Question 1. What is the minimum of $\prod _{j=1}^n\max \{1,|\beta _j|\}$ taken over all hedgehogs $K=K(\beta _1,\dots ,\beta _n)$ of capacity at least $1$ ?

Notice that answering this question for hedgehogs of capacity exactly $1$ is sufficient, since the capacity satisfies $t(K_1)\le t(K_2)$ for any compact sets $K_1\subset K_2$ in $\mathbb C$ .

In order to approach Question 1 we use a different construction of hedgehogs outlined in Eremenko’s post on the question in [Reference Lev5] with details set out in [Reference Schmidt6]. Any hedgehog $K=K(\beta _1,\dots ,\beta _n)$ of capacity precisely $1$ is in a bijective correspondence (up to rotation!) with the set of points $z_1,\dots ,z_n$ on the unit circle with prescribed positive real weights $r_1,\dots ,r_n$ satisfying $r_1+\dots +r_n=1$ . Namely, the mapping

$$ \begin{align*}F(z)=\prod_{k=1}^n((z-z_k)(z^{-1}-\overline z_k))^{r_k} \end{align*} $$

is a Riemann mapping of the complement of the closed unit disk to the complement $\hat {\mathbb C}\setminus K$ of hedgehog. It is not easy to write down the corresponding $\beta _j$ explicitly, but for their absolute values we get

$$ \begin{align*}|\beta_j|=\max_{z\in[z_{j-1},z_j]}|F(z)| =\max_{z\in[z_{j-1},z_j]}\prod_{k=1}^n|z-z_k|^{2r_k} \quad\text{for}\; j=1,\dots,n, \end{align*} $$

where we conventionally take $z_0=z_n$ and understand $[z_{j-1},z_j]$ as arcs of the unit circle. This means that if $C\ge 1$ is the minimum of

$$ \begin{align*}\prod_{j=1}^n\max\bigg\{1,\max_{z\in[z_{j-1},z_j]}\prod_{k=1}^n|z-z_k|^{r_k}\bigg\} \end{align*} $$

taken over all n and all possible weighted configurations $z_1,\dots ,z_n$ , then $C^2$ is the minimum in Question 1.

Furthermore, in the spirit of [Reference Konyagin and Lev4] observe that from continuity considerations it suffices to compute the required minimum C for rational positive weights $r_1,\dots ,r_n$ . Assuming the latter and writing $r_j=a_j/m$ for positive integers $a_1,\dots ,a_n$ and $m=a_1+\dots +a_n$ , we look for the mth root of the minimum of

$$ \begin{align*}\prod_{j=1}^n\max\bigg\{1,\max_{z\in[z_{j-1},z_j]}\prod_{k=1}^n|z-z_k|^{a_k}\bigg\} =\prod_{j=1}^m\max\bigg\{1,\max_{z\in[z_{j-1}',z_j']}\prod_{k=1}^m|z-z_k'|\bigg\}, \end{align*} $$

where $z_1',z_2',\dots ,z_m'$ is the multi-set

$$ \begin{align*}\underbrace{z_1,\dots,z_1}_{a_1 \;\text{times}}, \; \underbrace{z_2,\dots,z_2}_{a_2 \;\text{times}}, \; \dots, \; \underbrace{z_n,\dots,z_n}_{a_n \;\text{times}} \end{align*} $$

with prescribed weights all equal to 1. This means that it is enough to compute the minimum for the case of equal weights, $r_1=\dots =r_n=1/n$ , and we may give the following alternative formulation of Question 1.

Question 2. What is the minimum $C_n$ of

$$ \begin{align*}\prod_{j=1}^n\max\bigg\{1,\max_{z\in[z_{j-1},z_j]}\prod_{k=1}^n|z-z_k|\bigg\}^{1/n} \end{align*} $$

taken over all configurations of points $z_1,\dots ,z_n$ on the unit circle $|z|=1$ ? The points are not required to be distinct and $[z_{j-1},z_j]$ is understood as the corresponding arc of the circle, $z_0$ is identified with $z_n$ .

Though there is no explicit requirement on the order of precedence, the minimum corresponds to the successive locations of $z_1,\dots ,z_n$ on the circle.

A comparison with Dubinin’s result suggests that good candidates for the minima in Question 2 may originate from configurations in which all factors in the defining product but one are equal to $1$ . In our answer to the question we show that this is essentially the case by computing the related minima $C_n^*$ explicitly.

Theorem 3. For the quantity $C_n$ we have the inequality $C_n\le C_n^*$ , where $C_n^*=(T_n(2^{1/n}))^{1/n}$ and

$$ \begin{align*}T_n(x) =\sum_{k=0}^{\lfloor n/2\rfloor}\binom{n}{2k}(x^2-1)^kx^{n-2k} \end{align*} $$

denotes the nth Chebyshev polynomial of the first kind.

Theorem 4. For the quantity $C_n^*$ in Theorem 3 we have the asymptotic expansion

$$ \begin{align*}C_n^*=1 + \nu - \frac14\nu^3 + \frac5{96}\nu^5 - \frac1{128}\nu^7 + O(\nu^9) \end{align*} $$

in terms of $\nu =\sqrt {(\log 4)/n}$ , as $n\to \infty $ . In particular, $(C_n^*)^{\sqrt n}\to e^{\sqrt {\log 4}}$ and $C_n^*\to 1$ as $n\to \infty $ .

Thus, our results imply that the minimum in Question 1 is equal to $1$ , meaning that an analogue of Lehmer’s problem in an analytic setting is trivial. This has no consequences for Lehmer’s problem itself, as we are not aware of a recipe to cook up polynomials in $\mathbb Z[x]$ from optimal (or near optimal) configurations of $z_1,\dots ,z_n$ on the unit circle.

3. Proofs

Proof of Theorem 3

We look for a configuration of the points $z_1,\dots ,z_n$ on the unit circle such that the maximum of $|Q(z)|$ , where $Q(z)=(z-z_1)\dotsb (z-z_n)$ , on all the arcs $[z_{j-1},z_j]$ but one is equal to $1$ :

$$ \begin{align*}\max_{z\in[z_{j-1},z_j]}|Q(z)|=|Q(z_j^*)|=1 \quad\text{for}\; z_j^*\in(z_{j-1},z_j), \quad\text{where}\; j=2,\dots,n. \end{align*} $$

At the same time, the kth Chebyshev polynomial $T_k(x)=2^{k-1}x^k+\dotsb $ is known to satisfy $|T_k(x)|\le 1$ on the interval $-1\le x\le 1$ , with all the extrema on the interval being either $-1$ or $1$ . Note that $T_k(x)$ has k distinct real zeros on the open interval $-1<x<1$ and satisfies $T_k(1)=(-1)^kT_k(-1)=1$ . Therefore, for $n=2k$ even,

$$ \begin{align*} Q(z)=z^k\,T_k\bigg(2^{1/k}\bigg(\frac{z+z^{-1}}2-1\bigg)+1\bigg), \end{align*} $$

we get a monic polynomial of degree n with the desired properties; its zeros $z_1,\dots ,z_n$ ordered in pairs, so that $z_{n-j}=\overline z_j=z_j^{-1}$ for $j=1,\dots ,k$ , correspond to the real zeros $2^{1/k}((z_j+z_j^{-1})/2-1)+1$ of the polynomial $T_k(x)$ on the interval $-1<x<1$ . Then

$$ \begin{align*} \max_{z\in[z_n,z_1]}|Q(z)|=\max_{|z|=1}|Q(z)|=|Q(-1)| =|T_k(1-2^{1+1/k})|=T_k(2^{1+1/k}-1) =T_{2k}(2^{1/(2k)}), \end{align*} $$

where the duplication formula $T_k(2x^2-1)=T_{2k}(x)$ was applied.

The duplication formula in fact allows one to write the very same polynomial $Q(z)$ in the form

$$ \begin{align*}Q(z)=\pm (-z)^{n/2}\, T_n(2^{1/n - 1} {\textstyle\sqrt{2 - (z+z^{-1})}}\,), \end{align*} $$

and this formula gives the desired polynomial, monic and of degree n, for n of any parity. If we set $k=\lfloor (n+1)/2\rfloor $ , the zeros $z_1,\dots ,z_n$ of $Q(z)$ pair as before, that is, $z_{n-j}=\overline z_j=z_j^{-1}$ for $j=1,\dots ,k$ , with the two zeros merging into one, $z_{(n+1)/2}=1$ for $j=k$ when n is odd, so that $2^{1/n - 1} \sqrt {2- \smash [b]{(z_j+z_j^{-1})}}$ for $j=1,\dots ,k$ are precisely the k real zeros of the polynomial $T_n(x)$ on the interval $0\le x<1$ . This leads to the estimate

$$ \begin{align*}\max_{z\in[z_n,z_1]}|Q(z)|=\max_{|z|=1}|Q(z)|=|Q(-1)|=T_n(2^{1/n}) \end{align*} $$

for both even and odd values of n.

Finally, we remark that the uniqueness of $Q(z)$ , up to rotation, follows from the extremal properties of the Chebyshev polynomials.

Proof of Theorem 4

For this part we cast the Chebyshev polynomial $T_n(x)$ in the form

$$ \begin{align*}T_n(x) =\frac{(x+\sqrt{x^2-1})^n+(x-\sqrt{x^2-1})^n}2 =\frac{x^n}2\cdot \textstyle((1+\sqrt{1-x^{-2}})^n+(1-\sqrt{1-x^{-2}})^n) \end{align*} $$

leading to

$$ \begin{align*}T_n(2^{1/n}) =\textstyle(1+\sqrt{1-e^{-\nu^2}})^n+(1-\sqrt{1-e^{-\nu^2}})^n \end{align*} $$

in the notation $\nu =\sqrt {(\log 4)/n}$ . Since

$$ \begin{align*} {\textstyle\sqrt{1-e^{-\nu^2}}} &=\bigg(\sum_{k=1}^\infty\frac{(-1)^{k-1}\nu^{2k}}{k!}\bigg)^{\! 1/2} =\nu\bigg(1+\sum_{k=2}^\infty\frac{(-1)^{k-1}\nu^{2k-2}}{k!}\bigg)^{\! 1/2} \\ &=\nu\cdot\bigg(1 - \frac14\nu^2 + \frac5{96}\nu^4 - \frac1{128}\nu^6 + \frac{79}{92160}\nu^8 - \frac3{40960}\nu^{10}+O(\nu^{12})\bigg), \end{align*} $$

we conclude that the term $(1-\sqrt {1-e^{-\nu ^2}})^n=O(\varepsilon ^n)$ for any choice of positive $\varepsilon <1$ , hence

$$ \begin{align*} (T_n(2^{1/n}))^{1/n} =(1+\textstyle\sqrt{1-e^{-\nu^2}})\cdot(1+O(\varepsilon^n)), \end{align*} $$

and the required asymptotics follows.

4. Speculations

Dimitrov’s estimate $t(K)\ge 1$ for the capacity of the hedgehog $K=K(\beta _1,\dots ,\beta _n)$ assigned to a polynomial in $\mathbb Z[x]$ is not necessarily sharp, and one would rather expect to have $t(K)\ge t$ for some $t>1$ . By replacing the polynomial in the proof of Theorem 3 with

$$ \begin{align*}Q(z)=\pm (-z)^{n/2}\, T_n(2^{1/n - 1}t {\textstyle\sqrt{2 - (z+z^{-1})}}\,) \end{align*} $$

and assuming (or, better, believing!) that the corresponding minimum in Question 2 is indeed attained in the case when all but one of the factors are equal to 1, we conclude that the minimum is equal to $(T_n(2^{1/n}t))^{\! 1/n}$ . The asymptotics of the Chebyshev polynomials then converts this result into the answer

$$ \begin{align*}\inf_{\substack{n=1,2,\dots\\ K = K(\beta_1, \dots, \beta_n)\\ t(K) \ge t}}\prod_{j=1}^n\max\{1,|\beta_j|\} \ge t+\textstyle\sqrt{t^2-1} \end{align*} $$

to the related version of Question 1. This is slightly better, when $t>1$ , than the trivial estimate of the infimum by t from below.

In another direction, one may try to associate hedgehogs K to polynomials in a different (more involved!) way, to achieve some divisibility properties for the Hankel determinants $A_k$ that appear in the estimation $t(K)\ge \limsup _{k\to \infty }|A_k|^{1/k^2}$ of the capacity on the basis of Pólya’s theorem. Such an approach has the potential to lead to some partial (‘Dobrowolski-type’) resolutions of Lehmer’s problem. Notice, however, that the bound for $t(K)$ in Pólya’s theorem is not sharp: numerically, the Hankel determinants $A_k=\det _{0\le i,j<k}(a_{i+j})$ constructed on (Dimitrov’s) irrational series

for Smyth’s polynomial $x^3-x-1=(x-\alpha _1)(x-\alpha _2)(x-\alpha _3)$ satisfy $|A_k|\le C^k$ for some $C<2.5$ and all $k\le 150$ , so that it is likely that $\limsup _{k\to \infty }|A_k|^{1/k^2}=1$ in this case.

Acknowledgement

The third author thanks Yuri Bilu and Laurent Habsieger for inspirational conversations on the Lehmer and Schinzel–Zassenhaus problems.

Footnotes

To Gunther Cornelissen, with warm wishes, on the occasion of reaching the age (for the first time!) that can be written as a sum of two positive squares in two different ways. Niet elke egel is stekelig!

The work of the second author is supported by a Dutch Research Council (NWO) grant OCENW.KLEIN.006.

References

Brunault, F. and Zudilin, W., Many Variations of Mahler Measures: A Lasting Symphony , Australian Mathematical Society Lecture Series, 28 (Cambridge University Press, Cambridge, 2020).Google Scholar
Dimitrov, V., ‘A proof of the Schinzel–Zassenhaus conjecture on polynomials’, Preprint, 2019.Google Scholar
Dubinin, V. N., ‘On the change in harmonic measure under symmetrization’, Mat. Sb. 52(1) (1985), 267273.CrossRefGoogle Scholar
Konyagin, S. V. and Lev, V. F., ‘On the maximum value of polynomials with given degree and number of roots’, Chebyshevskiǐ Sb. 3(2(4)) (2002), 165170.Google Scholar
Lev, V. F., ‘The maximum of a polynomial on the unit circle’, MathOverflow, 2011, https://mathoverflow.net/q/64099.Google Scholar
Schmidt, H., ‘Explicit Riemann mappings for hedgehogs’, Preprint, 2020.Google Scholar